Đề tuyển sinh môn Toán năm 2021 2022 sở GD ĐT Thái Nguyên

Đề tuyển sinh môn Toán năm 2021 2022 sở GD ĐT Thái Nguyên
Mời thí sinh CLICK vào liên kết hoặc ảnh bên dưới Mở ứng dụng Shopee để tiếp tục làm bài thi
https://s.shopee.vn/AKN2JyAJAw
sytu.net và đội ngũ nhân viên xin chân thành cảm ơn!

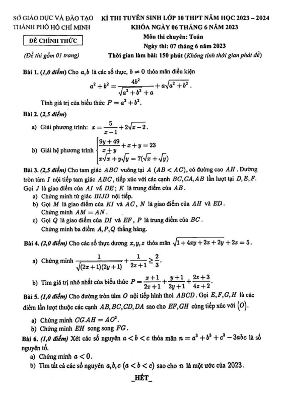
Nội dung Đề tuyển sinh môn Toán năm 2021 2022 sở GD ĐT Thái Nguyên Bản PDF

Đề tuyển sinh môn Toán năm 2021-2022 sở GD&ĐT Thái Nguyên

Sytu xin gửi đến quý thầy cô giáo và các em học sinh đề tuyển sinh lớp 10 môn Toán năm 2021-2022 của sở GD&ĐT Thái Nguyên. Đề thi này bao gồm đáp án và lời giải chi tiết cho các câu hỏi.

Dưới đây là một số câu hỏi trong đề tuyển sinh môn Toán năm 2021-2022 sở GD&ĐT Thái Nguyên:

  1. Cho tam giác ABC vuông tại A, đường cao AH. Biết BC = 10cm và \(3\sin(5^\circ) = AC\). Tính độ dài các đoạn thẳng AB, AC và AH.
  2. Trong mặt phẳng tọa độ Oxy, cho điểm M(1;2). Xác định vị trí tương đối của đường tròn (M;1) và các trục toạ độ.
  3. Một nhóm học sinh dự định làm 360 chiếc mũ chắn giọt bắn trong một thời gian nhất định để ủng hộ các địa phương trong công tác phòng, chống dịch bệnh COVID-19. Thực tế, mỗi ngày nhóm học sinh làm vượt mức 12 chiếc mũ so với dự định. Vì vậy, nhóm đã làm xong trước thời gian dự định hai ngày và làm thêm được 4 chiếc mũ. Hỏi theo dự định, mỗi ngày nhóm học sinh làm được bao nhiêu chiếc mũ?

File WORD dành cho quý thầy cô giáo.

Bình luận (5)

Nguyễn Việt Anh

Tôi đang háo hức download file pdf đề tuyển sinh môn Toán của Sở GD ĐT Thái Nguyên. Cảm giác này giúp tôi tự tin hơn trong việc chuẩn bị cho kỳ thi sắp tới.

Trả lời.

Nguyễn Ngoc Tiên Khuê

Em thấy vui mừng khi có cơ hội tham gia vào kỳ thi tuyển sinh môn Toán năm nay. Tài liệu từ Sở GD ĐT Thái Nguyên sẽ giúp em nâng cao kiến thức và kỹ năng của mình.

Trả lời.

Thùy Dương

Tôi không thể tin được nhiều thông tin hữu ích và chi tiết trong tài liệu đề tuyển sinh môn Toán của Sở GD ĐT Thái Nguyên. Đây thực sự là một nguồn tư liệu quý giá cho việc ôn tập của học sinh.

Trả lời.

Minh2011 Nhật

Em cảm thấy rất biết ơn vì Sở GD ĐT Thái Nguyên đã chia sẻ tài liệu đề tuyển sinh môn Toán cho học sinh. Điều này giúp em có thêm nguồn tư liệu học tập chất lượng.

Trả lời.

Phúc Công

Tôi rất phấn khích khi thấy tài liệu đề tuyển sinh môn Toán của Sở GD ĐT Thái Nguyên năm 2021 2022 đã được công bố. Đây chắc chắn sẽ là tài liệu quan trọng giúp học sinh chuẩn bị tốt cho kỳ thi sắp tới.

Trả lời.
Nhấn vào đây để đánh giá
Thông tin người gửi
1.06835 sec| 2474.789 kb