Đề tuyển sinh môn Toán năm 2021 2022 sở GD ĐT Thái Nguyên

Đề tuyển sinh môn Toán năm 2021 2022 sở GD ĐT Thái Nguyên
Mời thí sinh CLICK vào liên kết hoặc ảnh bên dưới Mở ứng dụng Shopee để tiếp tục làm bài thi
https://s.shopee.vn/AKN2JyAJAw
sytu.net và đội ngũ nhân viên xin chân thành cảm ơn!

Nội dung Đề tuyển sinh môn Toán năm 2021 2022 sở GD ĐT Thái Nguyên Bản PDF

Đề tuyển sinh môn Toán năm 2021-2022 sở GD ĐT Thái Nguyên

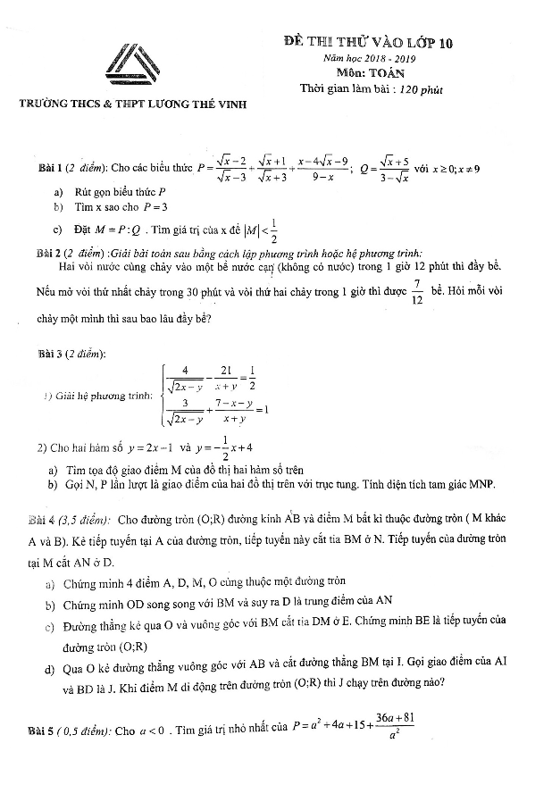
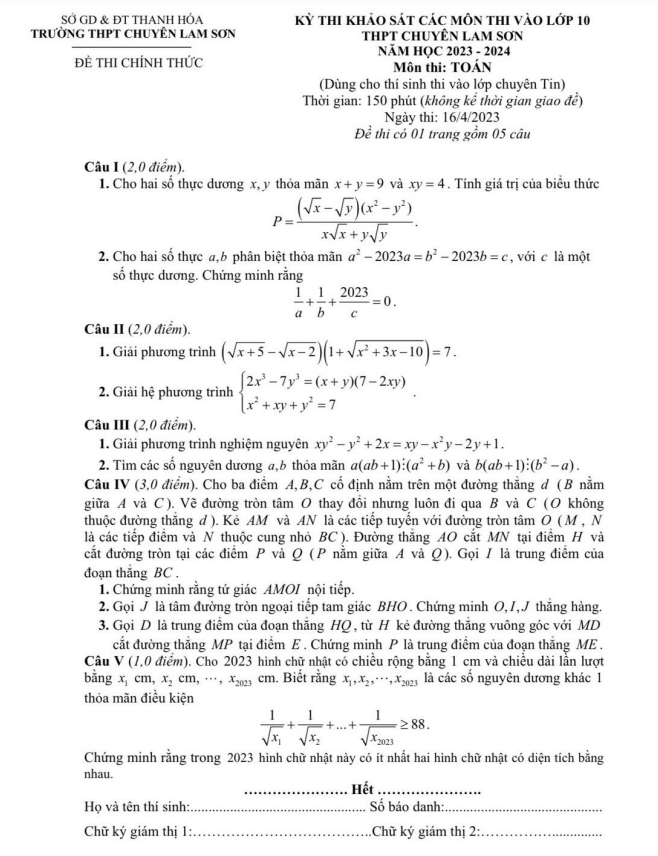
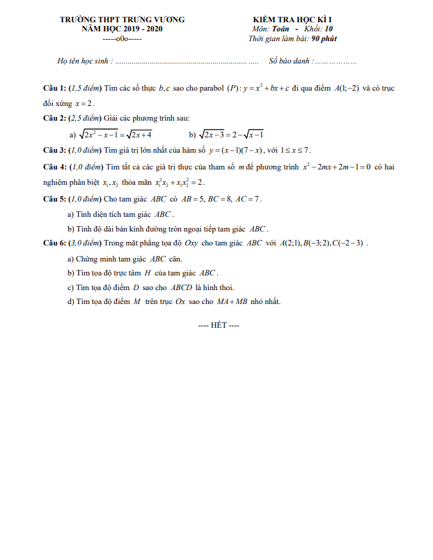
Chào các thầy cô giáo và các em học sinh, Sytu xin giới thiệu đến đề tuyển sinh lớp 10 môn Toán năm 2021-2022 của sở GD&ĐT Thái Nguyên. Đề thi bao gồm câu hỏi và đáp án cũng như lời giải chi tiết. Phần trích dẫn đề tuyển sinh lớp 10 môn Toán năm 2021-2022 sở GD&ĐT Thái Nguyên bao gồm các câu hỏi sau: 1. Cho tam giác ABC vuông tại A, đường cao AH. Biết BC=10cm và 3 sin A = 5. Hãy tính độ dài các đoạn AB, AC và AH. 2. Trong mặt phẳng tọa độ Oxy, cho điểm M(1;2). Xác định vị trí tương đối của đường tròn (M;1) và các trục toạ độ. 3. Một nhóm học sinh dự định làm 360 chiếc mũ chắn giọt bắn. Họ làm vượt mức 12 chiếc mũ mỗi ngày và hoàn thành trước thời gian dự định 2 ngày, làm thêm được 4 chiếc mũ. Hỏi theo dự định, mỗi ngày nhóm học sinh cần làm bao nhiêu chiếc mũ? File WORD (dành cho quý thầy, cô): [insert link here]

Bình luận (5)

Nguyễn Nhài

Tôi hy vọng rằng tài liệu này sẽ giúp các em học sinh tự tin và chuẩn bị tốt cho kỳ thi tuyển sinh sắp tới.

Trả lời.

Thái Vũ

Em thật sự không thể tin nổi vào sự tiện lợi khi có thể tải về đề tuyển sinh môn Toán của sở GD ĐT Thái Nguyên chỉ trong vài phút.

Trả lời.

LaiDung

Tôi tự tin rằng với tài liệu này, các em học sinh sẽ có cơ hội thể hiện khả năng và kiến thức của mình một cách công bằng nhất.

Trả lời.

Ma Như Quỳnh

Em không thể không cảm động khi thấy tài liệu này. Cảm ơn mọi người đã nỗ lực để mang lại cơ hội cho học sinh!

Trả lời.

Phuong Vu Lan

Tôi muốn gửi lời biết ơn chân thành đến sở GD ĐT Thái Nguyên vì đã chuẩn bị đề thi tuyển sinh đồng đều và công bằng như vậy.

Trả lời.
Nhấn vào đây để đánh giá
Thông tin người gửi
1.84536 sec| 2473.703 kb