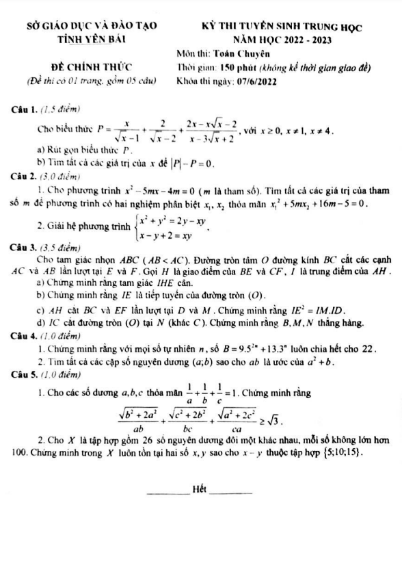
Đề tuyển sinh THPT môn Toán (chuyên) năm 2022 2023 sở GD ĐT An Giang

Đề tuyển sinh THPT môn Toán (chuyên) năm 2022 2023 sở GD ĐT An Giang
Mời thí sinh CLICK vào liên kết hoặc ảnh bên dưới Mở ứng dụng Shopee để tiếp tục làm bài thi
https://s.shopee.vn/AKN2JyAJAw
sytu.net và đội ngũ nhân viên xin chân thành cảm ơn!

Nội dung Đề tuyển sinh THPT môn Toán (chuyên) năm 2022 2023 sở GD ĐT An Giang Bản PDF

Đề tuyển sinh THPT môn Toán (chuyên) năm 2022 2023 sở GD ĐT An Giang

Sytu xin gửi đến quý thầy, cô giáo và các em học sinh lớp 9 đề thi chính thức kỳ thi tuyển sinh vào lớp 10 THPT môn Toán (chuyên) năm học 2022 – 2023 sở Giáo dục và Đào tạo tỉnh An Giang. Kỳ thi sẽ diễn ra vào thứ Ba ngày 07 tháng 06 năm 2022. Đề thi bao gồm đáp án và lời giải chi tiết do tác giả Đặng Lê Gia Khánh thực hiện.

Đề tuyển sinh lớp 10 THPT môn Toán (chuyên) năm 2022 – 2023 sở GD&ĐT An Giang bao gồm nhiều câu hỏi, trong đó có phương trình bậc hai ẩn. Đề thi không chỉ giúp học sinh rèn luyện kỹ năng giải toán mà còn giúp phát triển tư duy logic và khả năng xử lý vấn đề.

Hãy tự tin và chăm chỉ ôn tập để đạt kết quả cao trong kỳ thi tuyển sinh sắp tới. Chúc các em học sinh thành công!

Bình luận (5)

Sora

Em cảm thấy rất hứng khởi khi sở GD ĐT An Giang đã chia sẻ tài liệu đề thi Toán chuyên cho mọi người. Điều này giúp em cải thiện khả năng giải bài tập và sẵn sàng cho kỳ thi sắp tới.

Trả lời.

Tâm Minh

Tôi thực sự rất hạnh phúc khi có tài liệu đề thi Toán chuyên từ Sở GD ĐT An Giang. Đây giúp tôi có thêm động lực và phương tiện để ôn luyện hiệu quả hơn.

Trả lời.

Mai Thùy Dương

Em không thể không phấn khích khi thấy có file pdf download của đề thi Toán chuyên năm 2022 2023 từ Sở GD ĐT An Giang. Đây là cơ hội tốt để em tự kiểm tra kiến thức và kỹ năng của mình.

Trả lời.

Phương Nguyễn

Tôi hân hạnh và vui mừng khi được trải nghiệm tài liệu đề thi tuyển sinh Toán chuyên từ Sở GD ĐT An Giang. Đây chắc chắn sẽ là bước đệm quan trọng cho sự thành công của học sinh.

Trả lời.

hứa thủy nhi

Em cảm thấy hết sức biết ơn với việc sở GD ĐT An Giang đã cung cấp tài liệu đề thi Toán chuyên năm 2022 2023. Đây thật sự là một cơ hội tốt để em rèn luyện và thử sức.

Trả lời.
Nhấn vào đây để đánh giá
Thông tin người gửi
1.42981 sec| 2473.188 kb