Đề tuyển sinh THPT môn Toán năm 2022 2023 sở GD ĐT Bắc Giang

Đề tuyển sinh THPT môn Toán năm 2022 2023 sở GD ĐT Bắc Giang
Mời thí sinh CLICK vào liên kết hoặc ảnh bên dưới Mở ứng dụng Shopee để tiếp tục làm bài thi
https://s.shopee.vn/AKN2JyAJAw
sytu.net và đội ngũ nhân viên xin chân thành cảm ơn!

Nội dung Đề tuyển sinh THPT môn Toán năm 2022 2023 sở GD ĐT Bắc Giang Bản PDF

Thông báo về Đề tuyển sinh THPT môn Toán năm học 2022 - 2023

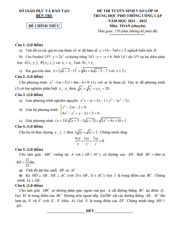
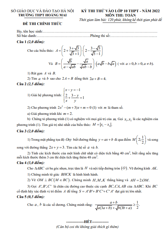
Chào mừng quý thầy cô và các em học sinh lớp 9! Sytu xin giới thiệu đến các bạn Đề thi chính thức tuyển sinh vào lớp 10 THPT môn Toán năm học 2022 - 2023 do Sở Giáo dục và Đào tạo tỉnh Bắc Giang tổ chức. Đề thi bao gồm 20 câu trắc nghiệm (tương ứng với 3 điểm) và 5 câu tự luận (tương ứng với 7 điểm), thời gian làm bài là 120 phút (không tính thời gian giao đề). Kỳ thi sẽ diễn ra vào thứ Bảy ngày 4 tháng 6 năm 2022.

Bình luận (5)

Triều Vỹ

Tôi tin rằng tài liệu ôn thi này sẽ là công cụ hữu ích giúp cho các em học sinh đạt được kết quả tốt trong kỳ thi sắp tới.

Trả lời.

Quân Phạm

Em rất mong muốn được tham gia và làm quen với các dạng bài tập trong tài liệu này, để rèn luyện khả năng giải quyết vấn đề của mình.

Trả lời.

03.Bảo Anh

Tôi nghĩ rằng việc cung cấp tài liệu ôn thi chính thức như vậy sẽ giúp học sinh tự tin và hiệu quả hơn trong quá trình ôn luyện.

Trả lời.

Nhật Minh

Em thực sự rất biết ơn vì có tài liệu này giúp em rèn luyện kỹ năng và kiến thức để đạt được điểm cao trong kỳ thi THPT.

Trả lời.

Dog

Tôi rất ấn tượng với đề tuyển sinh toán của Sở GD ĐT Bắc Giang, đề thi rất chất lượng và đa dạng.

Trả lời.
Nhấn vào đây để đánh giá
Thông tin người gửi
1.12198 sec| 2472.375 kb