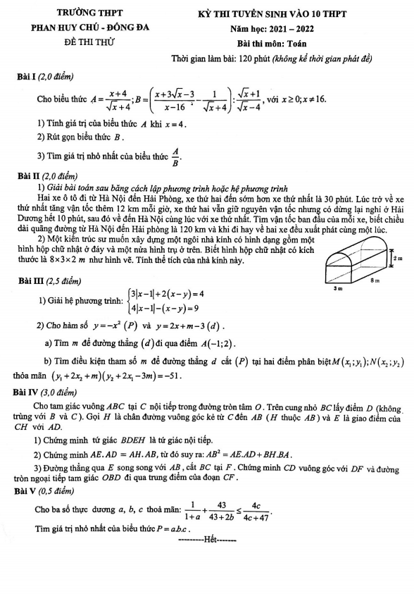
Đề tuyển sinh THPT năm 2019 2020 môn Toán sở GD ĐT Phú Thọ

Đề tuyển sinh THPT năm 2019 2020 môn Toán sở GD ĐT Phú Thọ
Mời thí sinh CLICK vào liên kết hoặc ảnh bên dưới Mở ứng dụng Shopee để tiếp tục làm bài thi
https://s.shopee.vn/AKN2JyAJAw
sytu.net và đội ngũ nhân viên xin chân thành cảm ơn!

Nội dung Đề tuyển sinh THPT năm 2019 2020 môn Toán sở GD ĐT Phú Thọ Bản PDF

Đề tuyển sinh THPT năm 2019-2020 môn Toán sở GD ĐT Phú Thọ

Đề tuyển sinh vào lớp 10 khối Trung học Phổ thông do Sở Giáo dục và Đào tạo tỉnh Phú Thọ tổ chức là một trong những kỳ thi quan trọng nhất đối với học sinh tại địa phương này. Trong số các môn thi, môn Toán chiếm vị trí quan trọng và bắt buộc. Để giúp quý thầy cô, phụ huynh và học sinh tham khảo, chúng tôi xin giới thiệu nội dung đề thi và lời giải chi tiết môn Toán trong kỳ thi tuyển sinh vào lớp 10 trường THPT năm học 2019-2020 của Sở GD&ĐT Phú Thọ.

Trích dẫn đề thi:

1. Lớp 9A và lớp 9B của một trường THCS dự định làm 90 chiếc đèn ông sao để tặng các em thiếu nhi nhân dịp Tết Trung Thu. Nếu lớp 9A làm trong 2 ngày và lớp 9B làm trong 1 ngày thì được 23 chiếc đèn; nếu lớp 9A làm trong 1 ngày và lớp 9B làm trong 2 ngày thì được 22 chiếc đèn. Hỏi nếu cả hai lớp cùng làm thì hết bao nhiêu ngày để hoàn thành công việc đã dự định?

2. Từ một tấm tôn hình chữ nhật có chiều dài bằng 2m, chiều rộng bằng 1m gò thành mặt xung quanh của một hình trụ có chiều cao 1m. Thể tích của hình trụ đó bằng?

3. Cho tứ giác ABCD nội tiếp đường tròn đường kính AC. Biết góc DBC = 55 độ, số đo ACD bằng?

Thông qua việc giải đề thi trên, học sinh sẽ được rèn luyện và cải thiện kỹ năng giải toán, từ đó nâng cao khả năng xử lý vấn đề và trí tuệ toán học. Hy vọng rằng đề thi này sẽ là cơ hội để học sinh thể hiện potencial và thành công trong kỳ thi tuyển sinh quan trọng.

Bình luận (5)

Nguyễn Ngọc Thu Ngân

Em rất vui vẻ khi biết được có tài liệu ôn thi Toán năm 2019-2020 của Phú Thọ dành cho học sinh. Đây là một nguồn tư liệu quý giá giúp em rèn luyện và nâng cao kiến thức của mình.

Trả lời.

Hé Hé

Tôi tin rằng với tài liệu ôn thi Toán năm 2019-2020 của Phú Thọ, các học sinh sẽ có cơ hội tự tin và thành công trong kì thi sắp tới. Cảm ơn sự chuẩn bị kỹ lưỡng của Sở GD&ĐT Phú Thọ!

Trả lời.

Hien VT Lê

Em cảm thấy hạnh phúc khi biết rằng Sở GD&ĐT Phú Thọ đã phát hành tài liệu ôn thi Toán năm 2019-2020. Điều này thể hiện sự quan tâm và chia sẻ đáng khen ngợi của cơ quan này đối với các học sinh.

Trả lời.

dương doãn hoàng

Tôi rất ấn tượng với sự chăm sóc và quan tâm của cơ quan giáo dục đối với việc hỗ trợ học sinh trong quá trình học tập và ôn thi. Đây là một bước đi đúng đắn và đáng mừng.

Trả lời.

User Google

Em không thể không công nhận rằng việc có sẵn tài liệu ôn thi Toán năm 2019-2020 của Phú Thọ là một điều tuyệt vời. Cảm ơn Sở GD&ĐT Phú Thọ rất nhiều!

Trả lời.
Nhấn vào đây để đánh giá
Thông tin người gửi
1.22697 sec| 2476.195 kb