Đề tuyển sinh vào 10 chuyên môn Toán chuyên năm 2014 2015 sở GD ĐT Đồng Tháp

Đề tuyển sinh vào 10 chuyên môn Toán chuyên năm 2014 2015 sở GD ĐT Đồng Tháp
Mời thí sinh CLICK vào liên kết hoặc ảnh bên dưới Mở ứng dụng Shopee để tiếp tục làm bài thi
https://s.shopee.vn/AKN2JyAJAw
sytu.net và đội ngũ nhân viên xin chân thành cảm ơn!

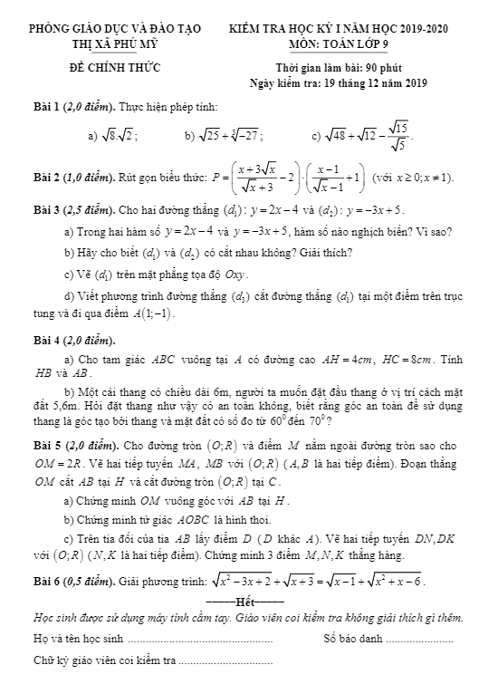
Nội dung Đề tuyển sinh vào 10 chuyên môn Toán chuyên năm 2014 2015 sở GD ĐT Đồng Tháp Bản PDF

Đề thi tuyển sinh vào lớp 10 chuyên môn Toán chuyên năm học 2014-2015 sở GDĐT Đồng Tháp

Sytu xin gửi đến quý thầy cô và các em học sinh đề thi tuyển sinh vào lớp 10 chuyên môn Toán chuyên năm học 2014-2015 của sở Giáo dục và Đào tạo tỉnh Đồng Tháp. Kỳ thi sẽ diễn ra vào ngày 10 tháng 6 năm 2014. Đề thi bao gồm đáp án, lời giải chi tiết và hướng dẫn chấm điểm, giúp các em tự tin và chuẩn bị tốt nhất cho kỳ thi sắp tới.

Bình luận (4)

Ngô Tiến Đạt

Tôi cảm động với sự chuẩn bị kỹ càng của tài liệu này, nó đã giúp đỡ rất nhiều cho việc học tập của em.

Trả lời.

Cường Lê

Em thấy vui vì tài liệu này rất chi tiết và dễ hiểu, sẽ giúp em ôn tập Toán chuyên một cách nhanh chóng.

Trả lời.

Trang Nguyễn

Tôi rất biết ơn vì đã có tài liệu này, nó giúp tăng cường kiến thức cho học sinh và giáo viên.

Trả lời.

Ngọc Xuân

Em rất phấn khích khi tìm thấy tài liệu này, nó giúp em rèn luyện kỹ năng Toán chuyên một cách hiệu quả hơn.

Trả lời.
Nhấn vào đây để đánh giá
Thông tin người gửi
1.03271 sec| 2469.211 kb