Đề tuyển sinh vào 10 chuyên môn Toán chuyên năm 2018 2019 sở GD ĐT Đồng Tháp

Đề tuyển sinh vào 10 chuyên môn Toán chuyên năm 2018 2019 sở GD ĐT Đồng Tháp
Mời thí sinh CLICK vào liên kết hoặc ảnh bên dưới Mở ứng dụng Shopee để tiếp tục làm bài thi
https://s.shopee.vn/AKN2JyAJAw
sytu.net và đội ngũ nhân viên xin chân thành cảm ơn!

Nội dung Đề tuyển sinh vào 10 chuyên môn Toán chuyên năm 2018 2019 sở GD ĐT Đồng Tháp Bản PDF

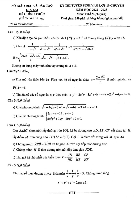
Đề thi tuyển sinh vào lớp 10 chuyên môn Toán chuyên năm 2018 - 2019 sở GDĐT Đồng Tháp

SYTU xin giới thiệu đến quý thầy cô và các em học sinh đề thi tuyển sinh vào lớp 10 chuyên môn Toán chuyên năm học 2018 - 2019 của sở Giáo dục và Đào tạo tỉnh Đồng Tháp. Kỳ thi sẽ diễn ra vào ngày 03 tháng 06 năm 2018. Đề thi bao gồm đáp án, lời giải chi tiết và hướng dẫn chấm điểm, giúp các em tự tin và chuẩn bị tốt cho kỳ thi sắp tới.

Bình luận (5)

Le nagasato

Tôi tin chắc rằng với sự hỗ trợ của tài liệu này, các em học sinh sẽ có cơ hội tự tin đối mặt với kỳ thi sắp tới và đạt kết quả cao. Cảm ơn Sở GD ĐT Đồng Tháp rất nhiều!

Trả lời.

đỗ hồng minh

Em rất vui và háo hức khi được trao tay tài liệu 'Đề tuyển sinh vào 10 chuyên môn Toán chuyên' này. Cảm giác muốn ôn tập ngay và luôn!

Trả lời.

Phùng Thị Huyền Trang

Tôi không thể không cảm ơn Sở GD ĐT Đồng Tháp vì đã tạo điều kiện thuận lợi cho các em học sinh tập trung ôn tập và chuẩn bị cho kỳ thi sắp tới bằng việc cung cấp tài liệu hữu ích như vậy.

Trả lời.

mkmm

Em biết ơn không biết bao khi đã có cơ hội tiếp cận với tài liệu chất lượng như vậy. Đề tuyển sinh vào 10 chuyên môn Toán chuyên từ Sở GD ĐT Đồng Tháp thật sự hữu ích.

Trả lời.

10. Quan Thị Hải 11a3

Tôi cảm động trước sự chu đáo và chia sẻ của Sở GD ĐT Đồng Tháp khi cung cấp đề thi chuyên môn Toán cho học sinh. Điều này thật sự đáng quý và đáng trân trọng.

Trả lời.
Nhấn vào đây để đánh giá
Thông tin người gửi
1.31587 sec| 2473.211 kb