Đề tuyển sinh vào 10 môn Toán năm 2012 2013 sở GD ĐT Đồng Tháp

Đề tuyển sinh vào 10 môn Toán năm 2012 2013 sở GD ĐT Đồng Tháp
Mời thí sinh CLICK vào liên kết hoặc ảnh bên dưới Mở ứng dụng Shopee để tiếp tục làm bài thi
https://s.shopee.vn/AKN2JyAJAw
sytu.net và đội ngũ nhân viên xin chân thành cảm ơn!

Nội dung Đề tuyển sinh vào 10 môn Toán năm 2012 2013 sở GD ĐT Đồng Tháp Bản PDF

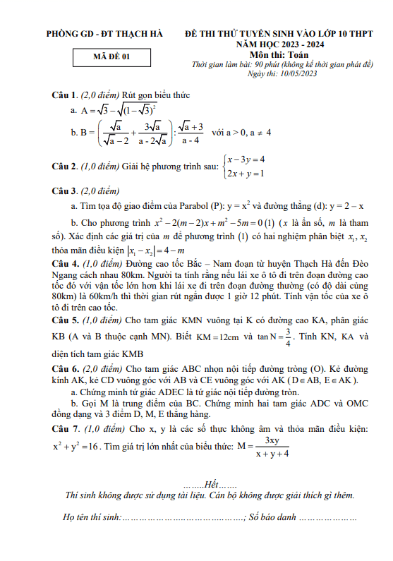
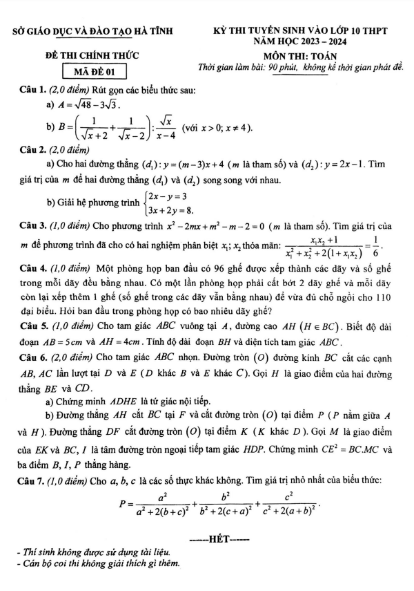
Đề thi tuyển sinh vào lớp 10 môn Toán năm học 2012-2013 sở GD ĐT Đồng Tháp

Sytu xin gửi đến quý thầy cô và các em học sinh đề thi tuyển sinh vào lớp 10 môn Toán năm học 2012 – 2013 của sở Giáo dục và Đào tạo tỉnh Đồng Tháp. Kỳ thi sẽ diễn ra vào ngày 26 tháng 06 năm 2012, với đề thi bao gồm đáp án, lời giải chi tiết và hướng dẫn chấm điểm để giúp các em ôn tập hiệu quả.

Đề thi này cũng đánh giá khả năng của các em trong môn Toán, từ đó giúp các em tự tin hơn khi tham gia vào kỳ thi tuyển sinh. Hy vọng rằng đề thi sẽ là công cụ hữu ích giúp các em đạt kết quả cao trong kỳ thi sắp tới.

Cảm ơn quý thầy cô và các em học sinh đã quan tâm và sử dụng đề thi tuyển sinh của chúng tôi. Chúc các em đạt được thành công trong hành trình học tập và sự nghiệp tương lai của mình.

Bình luận (5)

Trần Huyền Trang

Tôi tin chắc rằng tài liệu Đề tuyển sinh vào 10 môn Toán năm 2012 2013 sẽ giúp học sinh tự tin và thành công trong kỳ thi sắp tới. Cảm ơn người đã tạo ra tài liệu này!

Trả lời.

User Google

Em cảm động với lòng nhiệt huyết của người đã biên soạn tài liệu Đề tuyển sinh vào 10 môn Toán năm 2012 2013. Chúng ta cần biết trân trọng những người mang đến cho chúng ta những cơ hội học tập như vậy.

Trả lời.

ngoc

Tài liệu Đề tuyển sinh vào 10 môn Toán năm 2012 2013 thật sự là một món quà đặc biệt dành cho học sinh. Tôi thật sự biết ơn vì sự chu đáo và chia sẻ của người tạo ra tài liệu này.

Trả lời.

Trần Thiên Phúc

Em thật sự phấn khích khi biết có file pdf download đề tuyển sinh vào 10 môn Toán năm 2012 2013 của sở GD ĐT Đồng Tháp. Cảm ơn người đã chia sẻ tài liệu quý báu này!

Trả lời.

10CA3-03- Phan Phúc Trâm Anh

Tôi rất vui khi tìm thấy tài liệu Đề tuyển sinh vào 10 môn Toán năm 2012 2013 của sở GD ĐT Đồng Tháp. Đây chắc chắn sẽ là tài liệu hữu ích giúp học sinh ôn tập hiệu quả.

Trả lời.
Nhấn vào đây để đánh giá
Thông tin người gửi
1.13630 sec| 2473.602 kb