Đề tuyển sinh vào môn Toán năm 2023 2024 sở GD ĐT Hà Tĩnh

Đề tuyển sinh vào môn Toán năm 2023 2024 sở GD ĐT Hà Tĩnh
Mời thí sinh CLICK vào liên kết hoặc ảnh bên dưới Mở ứng dụng Shopee để tiếp tục làm bài thi
https://s.shopee.vn/AKN2JyAJAw
sytu.net và đội ngũ nhân viên xin chân thành cảm ơn!

Nội dung Đề tuyển sinh vào môn Toán năm 2023 2024 sở GD ĐT Hà Tĩnh Bản PDF

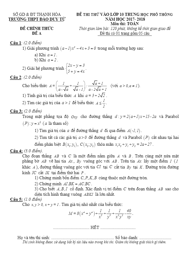
Đề thi tuyển sinh vào môn Toán năm 2023-2024 sở GD&ĐT Hà Tĩnh

Chúng tôi xin giới thiệu đến quý thầy cô và các em học sinh đề thi chính thức cho kỳ thi tuyển sinh vào lớp 10 Trung học Phổ thông môn Toán năm học 2023-2024 của Sở Giáo dục và Đào tạo tỉnh Hà Tĩnh. Kỳ thi sẽ diễn ra vào thứ Ba ngày 06 tháng 06 năm 2023.

Trích dẫn Đề thi tuyển sinh vào lớp 10 môn Toán năm 2023-2024 sở GD&ĐT Hà Tĩnh:

1. Một phòng họp ban đầu có 96 ghế được xếp thành các dãy và số ghế trong mỗi dãy đều bằng nhau. Khi cất bớt 2 dãy ghế và thêm 1 ghế vào mỗi dãy còn lại, phòng họp vừa đủ chỗ ngồi cho 110 đại biểu. Hỏi ban đầu trong phòng họp có bao nhiêu dãy ghế?

2. Cho tam giác ABC vuông tại A, đường cao AH (H thuộc BC). Biết AB = 5cm và AH = 4cm. Hãy tính BH và diện tích tam giác ABC.

3. Cho tam giác ABC nhọn. Đường tròn (O) đường kính BC cắt AB, AC lần lượt tại D và E (D khác B và E khác C). Gọi H là giao điểm của BE và CD.

a) Chứng minh tứ giác ADHE nội tiếp.

b) Đường thẳng AH cắt BC tại F, cắt đường tròn (O) tại P (P nằm giữa A và H). Đường thẳng DF cắt đường tròn (O) tại K (K khác D). Gọi M là giao điểm của EK và BC, I là tâm đường tròn ngoại tiếp tam giác HDP. Chứng minh CE2 = BC.MC và ba điểm B, I, P thẳng hàng.

Bình luận (5)

Trịnh Tuấn Anh

Em rất vui mừng khi biết đến việc có tài liệu ôn tập như vậy. Đây chắc chắn sẽ là bước đệm quan trọng cho hành trình ôn luyện của các em trong năm nay.

Trả lời.

Toàn Lâm

Tôi tin chắc rằng tài liệu đề tuyển sinh này sẽ giúp ích rất nhiều cho các em học sinh. Hy vọng rằng các em sẽ thực sự đầu tư thời gian và công sức vào việc ôn tập.

Trả lời.

Trang Nguyễn Thị Thu

Em rất cảm động với những nỗ lực của sở GD ĐT Hà Tĩnh trong việc cung cấp tài liệu học tập cho học sinh. Cảm ơn sở GD ĐT Hà Tĩnh rất nhiều!

Trả lời.

Dương Ngọc Tuệ Linh

Tôi không thể kìm lòng được với sự phấn khích khi thấy tài liệu đề tuyển sinh này. Đây là cơ hội tốt để các em bước vào bước đường chinh phục kiến thức Toán.

Trả lời.

Băng Khánh Phan

Em cảm thấy rất biết ơn vì đã có tài liệu ôn tập này. Đây chắc chắn sẽ giúp ích cho các em trong việc chuẩn bị cho kỳ thi tương lai.

Trả lời.
Nhấn vào đây để đánh giá
Thông tin người gửi
1.39266 sec| 2474.344 kb