Đề tuyển sinh vào THPT môn Toán năm 2018 2019 sở GD và ĐT TP. HCM

Đề tuyển sinh vào THPT môn Toán năm 2018 2019 sở GD và ĐT TP. HCM
Mời thí sinh CLICK vào liên kết hoặc ảnh bên dưới Mở ứng dụng Shopee để tiếp tục làm bài thi
https://s.shopee.vn/AKN2JyAJAw
sytu.net và đội ngũ nhân viên xin chân thành cảm ơn!

Nội dung Đề tuyển sinh vào THPT môn Toán năm 2018 2019 sở GD và ĐT TP. HCM Bản PDF

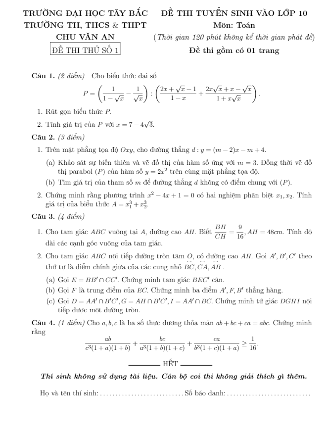
Đề tuyển sinh vào lớp 10 THPT môn Toán năm 2018 - 2019 sở GD và ĐT TP. HCM

Đề tuyển sinh vào lớp 10 THPT môn Toán năm 2018 - 2019 sở GD và ĐT TP. HCM được thiết kế với 8 bài toán, trong đó thí sinh sẽ phải tự giải quyết trong thời gian 120 phút. Kỳ thi sẽ diễn ra vào ngày 03/06/2018, nhằm đánh giá và phân loại năng lực học Toán của học sinh khối lớp 9. Mục tiêu của đề thi là cung cấp cơ sở để các trường THPT trên địa bàn TP. Hồ Chí Minh chọn lọc học sinh theo chỉ tiêu của mỗi trường. Đề thi cũng đi kèm lời giải chi tiết, giúp học sinh hiểu rõ từng bài toán và cách giải.

Bình luận (5)

hehehehe

Tôi hy vọng rằng tài liệu này sẽ mang lại hiệu quả tốt nhất cho các em học sinh và giúp họ tự tin đạt được mục tiêu của mình.

Trả lời.

Hoàng Trịnh

Em xin chân thành cám ơn những người đã công bố tài liệu này, đó là một giá trị lớn lao đối với việc học tập của em.

Trả lời.

Vỹ Kiệt Ngô

Tôi mong rằng tài liệu này sẽ giúp các em tự tin hơn trong quá trình ôn tập và chuẩn bị cho kì thi quan trọng của mình.

Trả lời.

Lan Anh Đặng

Em cảm thấy rất háo hức khi được tham gia vào việc ôn luyện thông qua việc giải những đề thi tuyển sinh này, đây thực sự là cơ hội quý giá.

Trả lời.

Đinh Diệu Châu

Tôi tin rằng tài liệu này sẽ giúp các em học sinh tự tin hơn khi đối diện với những câu hỏi trong đề thi, từ đó giúp họ đạt kết quả tốt nhất.

Trả lời.
Nhấn vào đây để đánh giá
Thông tin người gửi
1.36581 sec| 2473.602 kb