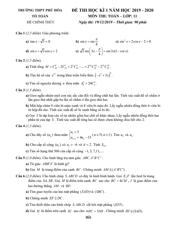
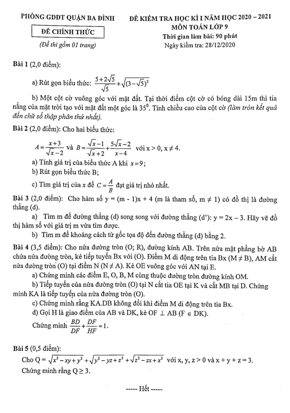
Một số phương pháp giải phương trình nghiệm nguyên Tạ Văn Đức

Một số phương pháp giải phương trình nghiệm nguyên Tạ Văn Đức
Mời thí sinh CLICK vào liên kết hoặc ảnh bên dưới Mở ứng dụng Shopee để tiếp tục làm bài thi
https://s.shopee.vn/AKN2JyAJAw
sytu.net và đội ngũ nhân viên xin chân thành cảm ơn!

Nội dung Một số phương pháp giải phương trình nghiệm nguyên Tạ Văn Đức Bản PDF

Một số phương pháp giải phương trình nghiệm nguyên

Trong môn Toán cấp Trung học Cơ sở, bài toán phương trình nghiệm nguyên là một chủ đề khá hay nhưng cũng khá khó đối với học sinh, dạng toán này thường xuyên xuất hiện trong các đề thi học sinh giỏi Toán lớp 8 – lớp 9. Để hỗ trợ việc bồi dưỡng học sinh giỏi Toán lớp 8 và Toán lớp 9, thầy Tạ Văn Đức đã biên soạn tài liệu giới thiệu một số phương pháp giải phương trình nghiệm nguyên.

Dưới đây là khái quát về nội dung của tài liệu một số phương pháp giải phương trình nghiệm nguyên:

Phương pháp 1: Áp dụng tính chia hết

  • Phương trình dạng ax + by = c.
  • Đưa về phương trình ước số.

Phương pháp 2: Phương pháp lựa chọn Modulo

  • Xét số dư hai vế.
  • Sử dụng số dư để chỉ ra phương trình vô nghiệm.

Phương pháp 3: Sử dụng bất đẳng thức

  • Đối với các phương trình mà các biến có vai trò như nhau thì thường dùng phương pháp sắp xếp các biến.
  • Áp dụng bất đẳng thức cổ điển.
  • Áp dụng tính đơn điệu của từng vế.
  • Dùng điều kiện delta ≥ 0 (hoặc delta' ≥ 0) để phương trình bậc hai có nghiệm.

Phương pháp 4: Phương pháp chặn

Chủ yếu dựa vào hai nhận xét sau:

  • Không tồn tại n thuộc Z thỏa mãn a^2 < n^2 < (a + 1)^2 với a là một số nguyên.
  • Nếu a^2 < n^2 < (a + 2)^2 (với a và n thuộc Z) thì n = a + 1.

Phương pháp 5: Sử dụng tính chất của số chính phương

Một số tính chất thường được sử dụng:

  • Số chính phương không tận cùng bằng 2, 3, 7, 8.
  • Số chính phương chia hết cho số nguyên tố p thì chia hết cho p^2.
  • ...

Phương pháp 6: Phương pháp lùi vô hạn

Phương pháp này dùng để chỉ ra rằng ngoài nghiệm tầm thường x = y = z = 0 thì không còn nghiệm nào khác.

Phương pháp 7: Nguyên tắc cực hạn

Về mặt hình thức khác với phương pháp lùi vô hạn, nhưng về ý tưởng sử dụng thì tương tự, chứng minh phương trình ngoài nghiệm tầm thường không có nghiệm nào khác.

Phương pháp 8: Sử dụng mệnh đề cơ bản của số học

Bình luận (5)

Khánh chi Trần

Tài liệu này giúp em hiểu sâu hơn về lý thuyết toán và trình bày cách giải một cách logic và dễ hiểu. Em rất hài lòng với nó!

Trả lời.

Tạ Trần Thanh Thanh

Tôi cảm thấy tự tin hơn trong việc giải các bài toán toán học sau khi đọc tài liệu này. Cảm ơn tác giả rất nhiều!

Trả lời.

Thảo Nguyên

Em rất biết ơn vì đã có cơ hội được tiếp cận với những phương pháp giải phương trình nghiệm nguyên thông qua tài liệu này.

Trả lời.

Diệp Vũ

Tôi cảm động khi thấy sự công phu và tâm huyết mà tác giả đã đầu tư vào tài liệu này. Điều đó thật sự đáng khen ngợi!

Trả lời.

Nguyễn tuấn

Em thấy tài liệu này rất hữu ích và phấn khích về việc học toán. Cảm ơn tác giả đã chia sẻ kiến thức bổ ích này!

Trả lời.
Nhấn vào đây để đánh giá
Thông tin người gửi
1.45430 sec| 2486.117 kb