Phương pháp giải phương trình nghiệm nguyên

Phương pháp giải phương trình nghiệm nguyên
Mời thí sinh CLICK vào liên kết hoặc ảnh bên dưới Mở ứng dụng Shopee để tiếp tục làm bài thi
https://s.shopee.vn/AKN2JyAJAw
sytu.net và đội ngũ nhân viên xin chân thành cảm ơn!

Nội dung Phương pháp giải phương trình nghiệm nguyên Bản PDF

Phương pháp giải phương trình nghiệm nguyên

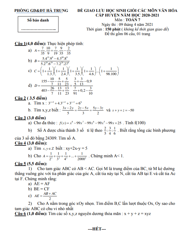
Tài liệu này bao gồm 38 trang, hướng dẫn một số phương pháp giải phương trình nghiệm nguyên. Đây là loại bài toán thường xuyên xuất hiện trong các đề thi học sinh giỏi Toán cấp THCS.

A. Kiến thức cần nhớ:

1. Phương trình nghiệm nguyên là phương trình có nhiều ẩn số, với tất cả các hệ số đều là số nguyên và các nghiệm cần tìm cũng là số nguyên.

2. Phương trình nghiệm nguyên không có công thức giải tổng quát, chỉ có cách giải cụ thể cho từng dạng bài toán. Trong tài liệu này, chúng tôi giới thiệu qua một số ví dụ và bài tập cụ thể.

3. Cách giải phương trình nghiệm nguyên là rất đa dạng, đòi hỏi học sinh phải phân tích, dự đoán, đối chiếu và tư duy sáng tạo, logic để tìm ra nghiệm.

B. Các dạng bài tập:

- Dạng 1: Phương pháp đưa về phương trình ước số.

- Dạng 2: Phương pháp sử dụng tính chất chia hết.

- Dạng 3: Phương pháp xét số dư từng vế.

- Dạng 4: Phương pháp đưa về dạng tổng.

- Dạng 5: Phương pháp sử dụng bất đẳng thức.

- Dạng 6: Phương pháp đánh giá.

- Dạng 7: Phương pháp giải lùi vô hạn, nguyên tắc cực hạn.

C. Bài tập tự luyện:

Để nắm vững phương pháp giải phương trình nghiệm nguyên, học sinh nên thực hành nhiều bài tập tự luyện để rèn luyện kỹ năng và cải thiện hiệu suất giải toán.

Bình luận (5)

10CP-SN-11- Võ Phi Long

Em thực sự biết ơn tác giả đã chia sẻ kiến thức bổ ích này, chắc chắn sẽ giúp em đi sâu vào bài toán và giải quyết chúng một cách thành công.

Trả lời.

Lan Anh Trần

Tôi rất phấn khích khi thấy tài liệu này có rất nhiều ví dụ minh họa cụ thể, giúp cho quá trình học tập của tôi trở nên thú vị hơn.

Trả lời.

Nguyễn thị ngọc quyền

Tài liệu này thực sự là một phần quan trọng giúp em hiểu sâu hơn về phương pháp giải phương trình, không còn sợ hãi khi gặp các bài toán khó khăn nữa.

Trả lời.

hoàng võ tuấn hùng

Em rất vui khi có thể tải về file pdf này để tự học và rèn luyện kỹ năng giải phương trình, mong là sẽ đạt được kết quả tốt.

Trả lời.

Hân Nguyễn

Tôi thực sự cảm động khi thấy những cách giải phương trình trong tài liệu này, chúng thật sự hữu ích và tiện lợi.

Trả lời.
Nhấn vào đây để đánh giá
Thông tin người gửi
1.49327 sec| 2473.492 kb