Tìm
Đăng nhập/ Đăng ký
Trang chủ
Thi trắc nghiệm
Hỏi đáp
Soạn văn
Bài tập
Tin tức
Sách
Sách giáo viên
Sách bổ trợ
Sách giáo khoa
Tài liệu Đề thi
Kiếm tiền online
Chia sẻ lời giải, đáp án
Đề thi trắc nghiệm online
Soạn văn từ lớp 6 đến lớp 12
sytu.net
Tài liệu - Đề Thi
Tài liệu - đề thi môn Toán lớp 9
Tài liệu - đề thi lớp 9
Tài liệu - đề thi lớp 9
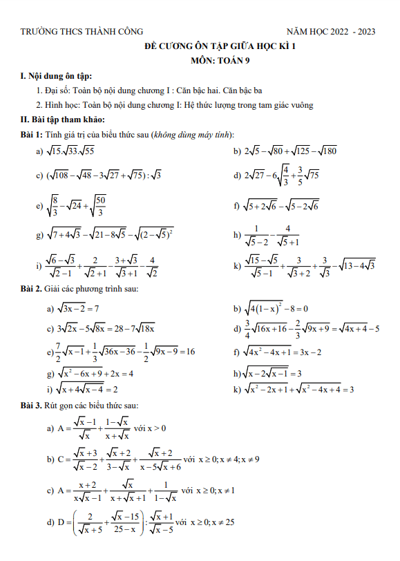
Đề cương ôn tập giữa học kì 1 (HK1) lớp 9 môn Toán năm 2022 2023 trường THCS Thành Công Hà Nội
Đề cương ôn tập giữa học kì 1 (HK1) lớp 9 môn Toán năm 2022 2023 trường THCS Ngọc Lâm Hà Nội
Hướng dẫn ôn tập giữa học kì 1 (HK1) lớp 9 môn Toán năm 2022 2023 THCS Thanh Am Hà Nội
Đề cương lớp 9 môn Toán giữa học kì 1 (HK1) năm 2022 2023 trường Nguyễn Tất Thành Hà Nội
Lý thuyết và bài tập lớp 9 môn Toán học kì 2 (HK2) Đỗ Văn Đạt
Lý thuyết và bài tập lớp 9 môn Toán học kì 1 (HK1) Đỗ Văn Đạt
Tài liệu học tập lớp 9 môn Toán học kì 1 (HK1)
Bài tập trắc nghiệm căn bậc hai và căn bậc ba Hà Huy Hoàng
Các chuyên đề bồi dưỡng học sinh giỏi Đại số 9
Các chuyên đề bồi dưỡng học sinh giỏi Hình học 9
Tóm tắt lý thuyết, các dạng toán và bài tập lớp 9 môn Toán
Các dạng bài tập hình trụ hình nón hình cầu
Các dạng bài tập góc với đường tròn
Các dạng bài tập đường tròn
Các dạng bài tập hệ thức lượng trong tam giác vuông
Các dạng bài tập hàm số y = ax2 (a khác 0), phương trình bậc hai một ẩn
Các dạng bài tập hệ hai phương trình bậc nhất hai ẩn
Các dạng bài tập hàm số bậc nhất
Các dạng bài tập căn bậc hai và căn bậc ba
Chuyên đề căn bậc hai và căn bậc ba Diệp Tuân
‹‹
‹
1
2
3
4
5
6
7
..
›
››
Danh mục
Tài liệu - Đề Thi
Tài liệu - đề thi lớp 6
Tài liệu - đề thi môn Toán lớp 6
Tài liệu Toán 6
Đề giữa HK1 Toán 6
Đề HK1 Toán 6
Đề giữa HK2 Toán 6
Đề HK2 Toán 6
Đề khảo sát Toán 6
Đề HSG Toán 6
Tài liệu - đề thi lớp 7
Tài liệu - đề thi môn Toán lớp 7
Tài liệu Toán 7
Đề giữa HK1 Toán 7
Đề HK1 Toán 7
Đề giữa HK2 Toán 7
Đề HK2 Toán 7
Đề khảo sát Toán 7
Đề HSG Toán 7
Tài liệu - đề thi lớp 8
Tài liệu - đề thi môn Toán lớp 8
Tài liệu Toán 8
Đề giữa HK1 Toán 8
Đề HK1 Toán 8
Đề giữa HK2 Toán 8
Đề HK2 Toán 8
Đề khảo sát Toán 8
Đề HSG Toán 8
Tài liệu - đề thi lớp 9
Tài liệu - đề thi môn Toán lớp 9
Tài liệu Toán 9
Đề giữa HK1 Toán 9
Đề HK1 Toán 9
Đề giữa HK2 Toán 9
Đề HK2 Toán 9
Đề khảo sát Toán 9
Đề HSG Toán 9
Tài liệu - đề thi THPT
Tài liệu - đề thi môn Toán THPT
Đề ĐGNL Môn Toán
KSCL Giáo Viên Toán
Công thức Toán
Tạp Chí Toán Học
Tài Liệu HSG Toán
Đề THPT Chính Thức
Sách giáo khoa THCS
Sách giáo khoa THPT
Tài Liệu Ôn Thi THPT
Tài liệu - đề thi lớp 10
Tài liệu - đề thi môn Toán lớp 10
Tài liệu Toán 10
Đề kiểm tra Toán 10
Giáo án Toán 10
Đề giữa HK2 Toán 10
Đề HSG Toán 10
Đề khảo sát Toán 10
Đề giữa HK1 Toán 10
Đề HK2 Toán 10
Đề HK1 Toán 10
Tài liệu - đề thi lớp 11
Tài liệu - đề thi môn Toán lớp 11
Tài liệu Toán 11
Đề kiểm tra Toán 11
Giáo án Toán 11
Đề giữa HK2 Toán 11
Đề HSG Toán 11
Đề giữa HK1 Toán 11
Đề khảo sát Toán 11
Đề HK2 Toán 11
Đề HK1 Toán 11
Tài liệu - đề thi lớp 12
Tài liệu - đề thi môn Toán lớp 12
Tài liệu Toán 12
Đề kiểm tra Toán 12
Giáo án Toán 12
Đề giữa HK2 Toán 12
Đề giữa HK1 Toán 12
Đề khảo sát Toán 12
Đề HK2 Toán 12
Đề HSG Toán 12
Đề HK1 Toán 12
Tài liệu - đề thi vào lớp 10
Tài liệu thi vào lớp 10
Đề thi vào lớp 10
Tài liệu - đề thi lớp 9 PDF online - Update 2026 - Download free
Thông báo
X
+ 5 điểm đăng nhập hằng ngày
0.49358 sec| 2188.469 kb