Tìm
Đăng nhập/ Đăng ký
Trang chủ
Thi trắc nghiệm
Hỏi đáp
Soạn văn
Bài tập
Tin tức
Sách
Sách giáo viên
Sách bổ trợ
Sách giáo khoa
Tài liệu Đề thi
Kiếm tiền online
Chia sẻ lời giải, đáp án
Đề thi trắc nghiệm online
Soạn văn từ lớp 6 đến lớp 12
sytu.net
Tài liệu - Đề Thi
Tài liệu - đề thi môn Toán lớp 9
Tài liệu - đề thi lớp 9
Tài liệu - đề thi lớp 9
Bài tập Hình học 9 theo chủ đề
Bài tập Đại số 9 theo chủ đề
Các chuyên đề học tập lớp 9 môn Toán học kì 2 (HK2)
Các chuyên đề học tập lớp 9 môn Toán học kì 1 (HK1)
Phân dạng và bài tập lớp 9 môn Toán
Các chuyên đề nâng cao và phát triển Đại số 9 Nguyễn Hoàng Việt
Các chuyên đề nâng cao và phát triển Hình học 9 Nguyễn Hoàng Việt
Hướng dẫn ôn tập học kì 2 (HK2) lớp 9 môn Toán năm 2021 2022 trường Vinschool Hà Nội
Hướng dẫn ôn tập giữa học kì 2 (HK2) lớp 9 môn Toán năm 2021 2022 trường THCS Thanh Am Hà Nội
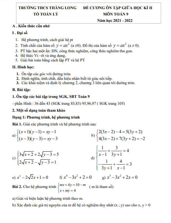
Đề cương giữa học kì 2 (HK2) lớp 9 môn Toán năm 2021 2022 trường THCS Thăng Long Hà Nội
Tài liệu lớp 9 môn Toán chủ đề hàm số và đồ thị hàm số y = ax2 (a khác 0)
Tài liệu lớp 9 môn Toán chủ đề công thức nghiệm của phương trình bậc hai
Tài liệu lớp 9 môn Toán chủ đề hệ thức Vi-ét và ứng dụng
Tài liệu lớp 9 môn Toán chủ đề phương trình quy về phương trình bậc hai
Tài liệu lớp 9 môn Toán chủ đề bài toán về đường thẳng và parabol
Tài liệu lớp 9 môn Toán chủ đề góc có đỉnh bên trong đường tròn, bên ngoài đường tròn
Tài liệu lớp 9 môn Toán chủ đề góc nội tiếp
Tài liệu lớp 9 môn Toán chủ đề góc ở tâm và số đo cung
Tài liệu lớp 9 môn Toán chủ đề góc tạo bởi tia tiếp tuyến và dây cung
Tài liệu lớp 9 môn Toán chủ đề liên hệ giữa cung và dây
‹‹
‹
1
2
3
4
5
6
7
8
..
›
››
Danh mục
Tài liệu - Đề Thi
Tài liệu - đề thi lớp 6
Tài liệu - đề thi môn Toán lớp 6
Tài liệu Toán 6
Đề giữa HK1 Toán 6
Đề HK1 Toán 6
Đề giữa HK2 Toán 6
Đề HK2 Toán 6
Đề khảo sát Toán 6
Đề HSG Toán 6
Tài liệu - đề thi lớp 7
Tài liệu - đề thi môn Toán lớp 7
Tài liệu Toán 7
Đề giữa HK1 Toán 7
Đề HK1 Toán 7
Đề giữa HK2 Toán 7
Đề HK2 Toán 7
Đề khảo sát Toán 7
Đề HSG Toán 7
Tài liệu - đề thi lớp 8
Tài liệu - đề thi môn Toán lớp 8
Tài liệu Toán 8
Đề giữa HK1 Toán 8
Đề HK1 Toán 8
Đề giữa HK2 Toán 8
Đề HK2 Toán 8
Đề khảo sát Toán 8
Đề HSG Toán 8
Tài liệu - đề thi lớp 9
Tài liệu - đề thi môn Toán lớp 9
Tài liệu Toán 9
Đề giữa HK1 Toán 9
Đề HK1 Toán 9
Đề giữa HK2 Toán 9
Đề HK2 Toán 9
Đề khảo sát Toán 9
Đề HSG Toán 9
Tài liệu - đề thi THPT
Tài liệu - đề thi môn Toán THPT
Đề ĐGNL Môn Toán
KSCL Giáo Viên Toán
Công thức Toán
Tạp Chí Toán Học
Tài Liệu HSG Toán
Đề THPT Chính Thức
Sách giáo khoa THCS
Sách giáo khoa THPT
Tài Liệu Ôn Thi THPT
Tài liệu - đề thi lớp 10
Tài liệu - đề thi môn Toán lớp 10
Tài liệu Toán 10
Đề kiểm tra Toán 10
Giáo án Toán 10
Đề giữa HK2 Toán 10
Đề HSG Toán 10
Đề khảo sát Toán 10
Đề giữa HK1 Toán 10
Đề HK2 Toán 10
Đề HK1 Toán 10
Tài liệu - đề thi lớp 11
Tài liệu - đề thi môn Toán lớp 11
Tài liệu Toán 11
Đề kiểm tra Toán 11
Giáo án Toán 11
Đề giữa HK2 Toán 11
Đề HSG Toán 11
Đề giữa HK1 Toán 11
Đề khảo sát Toán 11
Đề HK2 Toán 11
Đề HK1 Toán 11
Tài liệu - đề thi lớp 12
Tài liệu - đề thi môn Toán lớp 12
Tài liệu Toán 12
Đề kiểm tra Toán 12
Giáo án Toán 12
Đề giữa HK2 Toán 12
Đề giữa HK1 Toán 12
Đề khảo sát Toán 12
Đề HK2 Toán 12
Đề HSG Toán 12
Đề HK1 Toán 12
Tài liệu - đề thi vào lớp 10
Tài liệu thi vào lớp 10
Đề thi vào lớp 10
Tài liệu - đề thi lớp 9 PDF online - Update 2026 - Download free
Thông báo
X
+ 5 điểm đăng nhập hằng ngày
0.49823 sec| 2196.469 kb