Toàn cảnh đề thi tốt nghiệp THPT môn Toán (2017 2022)

Toàn cảnh đề thi tốt nghiệp THPT môn Toán (2017 2022)
Mời thí sinh CLICK vào liên kết hoặc ảnh bên dưới Mở ứng dụng Shopee để tiếp tục làm bài thi
https://s.shopee.vn/AKN2JyAJAw
sytu.net và đội ngũ nhân viên xin chân thành cảm ơn!

Nội dung Toàn cảnh đề thi tốt nghiệp THPT môn Toán (2017 2022) Bản PDF

Toàn cảnh tài liệu ôn thi tốt nghiệp THPT môn Toán

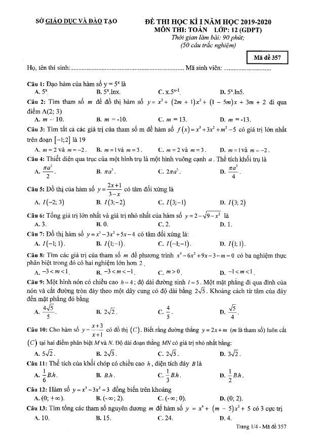
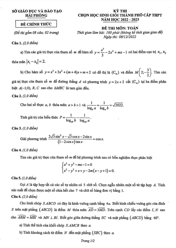
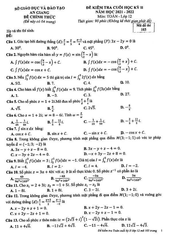
Tài liệu "Toàn cảnh đề thi tốt nghiệp THPT môn Toán (2017-2022)" có tổng cộng 574 trang, được biên soạn bởi thầy giáo Th.S Nguyễn Hoàng Việt. Tài liệu này tổng hợp và phân loại theo chuyên đề các dạng toán thường xuất hiện trong các đề thi tốt nghiệp THPT môn Toán của Bộ Giáo dục và Đào tạo từ năm học 2016-2017 đến năm học 2021-2022. Mỗi chuyên đề được trình bày kèm đáp án và lời giải chi tiết, giúp học sinh ôn tập một cách hiệu quả cho kỳ thi tốt nghiệp Trung học Phổ thông môn Toán.

Mục lục tài liệu bao gồm:

I. GIẢI TÍCH

  • Chương 1. ỨNG DỤNG ĐẠO HÀM ĐỂ KHẢO SÁT VÀ VẼ ĐỒ THỊ CỦA HÀM SỐ
  • Chương 2. HÀM SỐ LŨY THỪA. HÀM SỐ MŨ VÀ HÀM SỐ LÔGARIT
  • Chương 3. NGUYÊN HÀM. TÍCH PHÂN VÀ ỨNG DỤNG
  • Chương 4. SỐ PHỨC

II. HÌNH HỌC

  • Chương 1. KHỐI ĐA DIỆN
  • Chương 2. MẶT NÓN. MẶT TRỤ. MẶT CẦU
  • Chương 3. PHƯƠNG PHÁP TỌA ĐỘ TRONG KHÔNG GIAN

Tài liệu này không chỉ cung cấp kiến thức mà còn hướng dẫn học sinh cách giải quyết các dạng bài tập phức tạp, từ đó nâng cao khả năng làm bài thi hiệu quả. Đồng thời, việc phân loại theo chuyên đề giúp học sinh dễ dàng tìm kiếm và ôn tập theo từng phần một cách có tổ chức.

Bình luận (4)

Thiện 999

Em không thể tin nổi đã tìm thấy một nguồn tài liệu đầy đủ và chất lượng như vậy, cảm ơn người đã chia sẻ tài liệu này!

Trả lời.

Alan Vũ

Tôi rất biết ơn người đã biên soạn tài liệu này, chắc chắn sẽ giúp các em học sinh như tôi chuẩn bị tốt cho kỳ thi Toán.

Trả lời.

T. Hiền Nguyễn

Em cảm thấy rất vui khi có cơ hội tải về và học tập từ tài liệu này, nó thực sự hữu ích và chi tiết.

Trả lời.

Nguyễn Đức Thịnh

Tôi rất phấn khích khi tìm thấy tài liệu này, nó giúp tôi tự tin hơn trong việc ôn tập cho kỳ thi sắp tới.

Trả lời.
Nhấn vào đây để đánh giá
Thông tin người gửi
1.78212 sec| 2476.32 kb