Tóm tắt lý thuyết và bài tập trắc nghiệm hình tam giác đều, hình vuông, hình lục giác đều

Tóm tắt lý thuyết và bài tập trắc nghiệm hình tam giác đều, hình vuông, hình lục giác đều

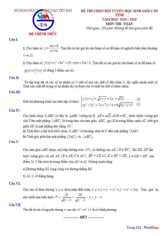
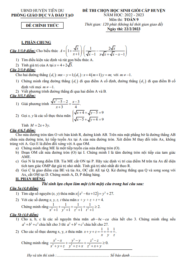
Nội dung Tóm tắt lý thuyết và bài tập trắc nghiệm hình tam giác đều, hình vuông, hình lục giác đều Bản PDF

Sytu xin gửi đến quý thầy cô và các em học sinh lớp 6 tài liệu tóm tắt lý thuyết và bài tập trắc nghiệm về hình tam giác đều, hình vuông và hình lục giác đều. Tài liệu này bao gồm các kiến thức cơ bản về các hình này, được chia theo từng chuyên đề và độ khó từ dễ đến khó. Mỗi bài tập đều có đáp án và hướng dẫn giải chi tiết, giúp các em ôn tập và nắm vững kiến thức Toán lớp 6.

Đầu tiên, về hình vuông, hình vuông ABCD có 4 đỉnh là A, B, C, D, 4 cạnh bằng nhau và 4 góc bằng nhau, mỗi góc là góc vuông. Hai đường chéo của hình vuông là AC và BD.

Tiếp theo, đến hình tam giác đều, tam giác đều ABC có 3 đỉnh A, B, C, 3 cạnh bằng nhau và 3 góc bằng nhau.

Cuối cùng, về hình lục giác đều, hình ABCDEF gọi là hình lục giác đều có 6 đỉnh A, B, C, D, E, F, 6 cạnh bằng nhau và 6 góc bằng nhau. Ba đường chéo chính là AD, BE, CF.

File word bài tập trắc nghiệm được thiết kế dành riêng cho quý thầy cô, giúp các em ôn tập và kiểm tra kiến thức một cách hiệu quả. Hy vọng rằng tài liệu này sẽ giúp ích cho quá trình học tập của các em. Chúc các em học tốt!
Bình luận (5)

NHU NGOC

Tôi cảm thấy có nhiều niềm vui khi đọc tài liệu này và thực hành bài tập trắc nghiệm. Kiến thức về hình tam giác đều, hình vuông, hình lục giác đều ngày càng chắc chắn trong tôi.

Trả lời.

Đức Lộc

Em rất biết ơn tác giả đã biên soạn tài liệu này. Nó giúp em nắm vững kiến thức về các hình học đặc biệt này một cách dễ dàng.

Trả lời.

Lê Mai Nhi

Tài liệu này chứa đựng không chỉ lý thuyết mà còn các bài tập trắc nghiệm hữu ích. Điều này giúp tôi học tập hiệu quả hơn.

Trả lời.

Nguyễn Lê Hoàng Uyên

Em cảm thấy rất phấn khích khi được nắm vững kiến thức về hình tam giác đều, hình vuông, hình lục giác đều qua tài liệu này. Cảm giác tự tin đến từ đây!

Trả lời.

Như Anh Nguyễn Thị

Tôi rất hạnh phúc khi có cơ hội tìm hiểu về các hình học đặc biệt này thông qua tài liệu rất chi tiết và dễ theo dõi.

Trả lời.
Nhấn vào đây để đánh giá
Thông tin người gửi
1.23604 sec| 2475.617 kb