Tổng ôn 50 dạng toán kỳ thi tốt nghiệp THPT môn Toán

Tổng ôn 50 dạng toán kỳ thi tốt nghiệp THPT môn Toán
Mời thí sinh CLICK vào liên kết hoặc ảnh bên dưới Mở ứng dụng Shopee để tiếp tục làm bài thi
https://s.shopee.vn/AKN2JyAJAw
sytu.net và đội ngũ nhân viên xin chân thành cảm ơn!

Nội dung Tổng ôn 50 dạng toán kỳ thi tốt nghiệp THPT môn Toán Bản PDF

Tổng ôn 50 dạng toán kỳ thi tốt nghiệp THPT môn Toán

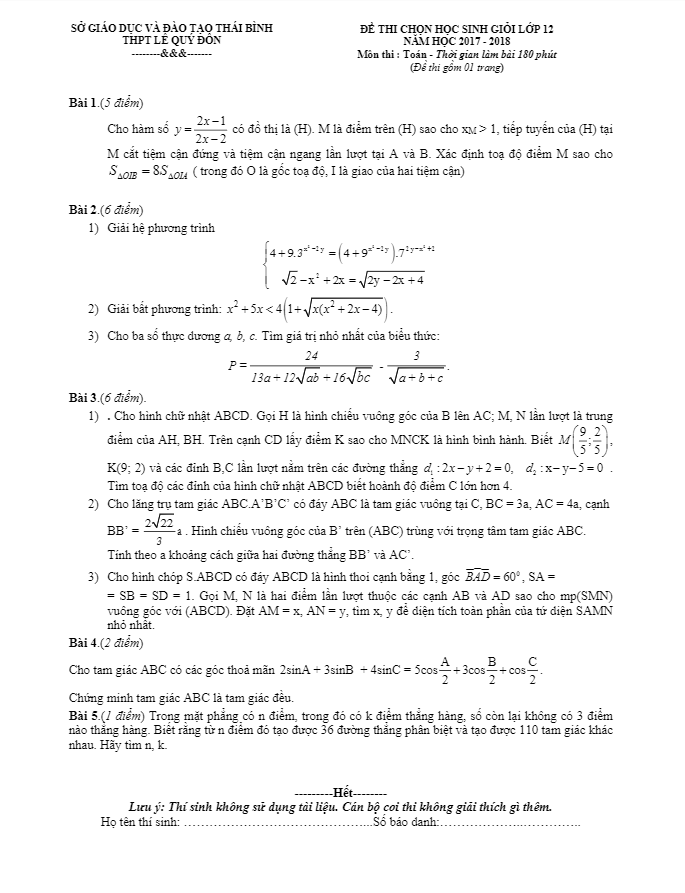
Tài liệu Tổng ôn 50 dạng toán kỳ thi tốt nghiệp THPT môn Toán được tổng hợp bởi thầy giáo Th.S Nguyễn Hoàng Việt và bao gồm 689 trang. Tài liệu này cung cấp kiến thức chi tiết và cụ thể về 50 dạng toán phổ biến trong kỳ thi tốt nghiệp THPT môn Toán.

Cấu trúc và nội dung của tài liệu

Tài liệu bao gồm các bài toán và bài tập thực hành từ đơn giản đến phức tạp để giúp học sinh nắm vững kiến thức và kỹ năng giải các dạng toán thường gặp trong kỳ thi. Dưới đây là một số chủ đề nổi bật trong tài liệu:

  • Bài 1 - Phép Đếm: Hướng dẫn cách đếm số lượng khả năng xảy ra của một sự kiện.
  • Bài 2 - Cấp Số Cộng – Cấp Số Nhân: Giải các bài toán về cấp số cộng và cấp số nhân.
  • Bài 6 - Giải Phương Trình - Bất Phương Trình Logarit: Hướng dẫn cách giải phương trình và bất phương trình logarit.
  • Bài 12 - Khái Niệm Số Phức: Giới thiệu và hướng dẫn tính toán với số phức.
  • Bài 20 - Biến Đổi Biểu Thức Logarit: Chỉ dẫn cách biến đổi và tính toán với biểu thức logarit.

Để thực hành và nắm vững kiến thức, tài liệu còn cung cấp các bài tập ứng dụng và bài toán thực tế, giúp học sinh áp dụng kiến thức vào các tình huống thực tế.

Kết luận

Tài liệu Tổng ôn 50 dạng toán kỳ thi tốt nghiệp THPT môn Toán là công cụ hữu ích để học sinh ôn tập và chuẩn bị cho kỳ thi quan trọng. Với cấu trúc logic, nội dung chi tiết và dễ hiểu, tài liệu sẽ giúp học sinh củng cố kiến thức và nâng cao kỹ năng giải toán hiệu quả.

Bình luận (5)

Mai Anh

Em cam kết sẽ tận dụng tối đa tài liệu này để chuẩn bị tốt cho kỳ thi sắp tới. Cảm ơn tác giả rất nhiều!

Trả lời.

vanh vanh

Tôi rất biết ơn vì đã có tài liệu này, nó giúp tôi rút ngắn thời gian ôn luyện mà vẫn hiệu quả.

Trả lời.

Đỗ Minh Khánh

Em không thể không cảm động trước sự cống hiến và tâm huyết của tác giả dành cho học sinh.

Trả lời.

Linh Nguyen

Tôi tin chắc rằng những dạng toán trong tài liệu này sẽ giúp học sinh tự tin hơn khi bước vào kỳ thi tốt nghiệp.

Trả lời.

Thư Nguyễn Minh

Em cảm thấy vui mừng khi biết có tài liệu này giúp em rèn luyện kỹ năng giải toán hiệu quả.

Trả lời.
Nhấn vào đây để đánh giá
Thông tin người gửi
1.23253 sec| 2478.102 kb