Tuyển tập đề thi vào môn Toán chuyên và không chuyên

Tuyển tập đề thi vào môn Toán chuyên và không chuyên
Mời thí sinh CLICK vào liên kết hoặc ảnh bên dưới Mở ứng dụng Shopee để tiếp tục làm bài thi
https://s.shopee.vn/AKN2JyAJAw
sytu.net và đội ngũ nhân viên xin chân thành cảm ơn!

Nội dung Tuyển tập đề thi vào môn Toán chuyên và không chuyên Bản PDF

Tuyển tập đề thi Toán lớp 10 chuyên và không chuyên

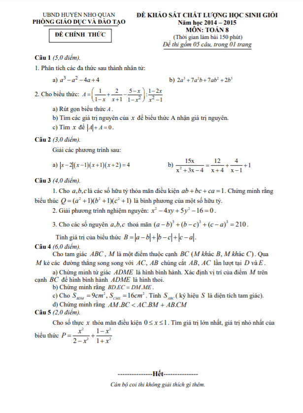
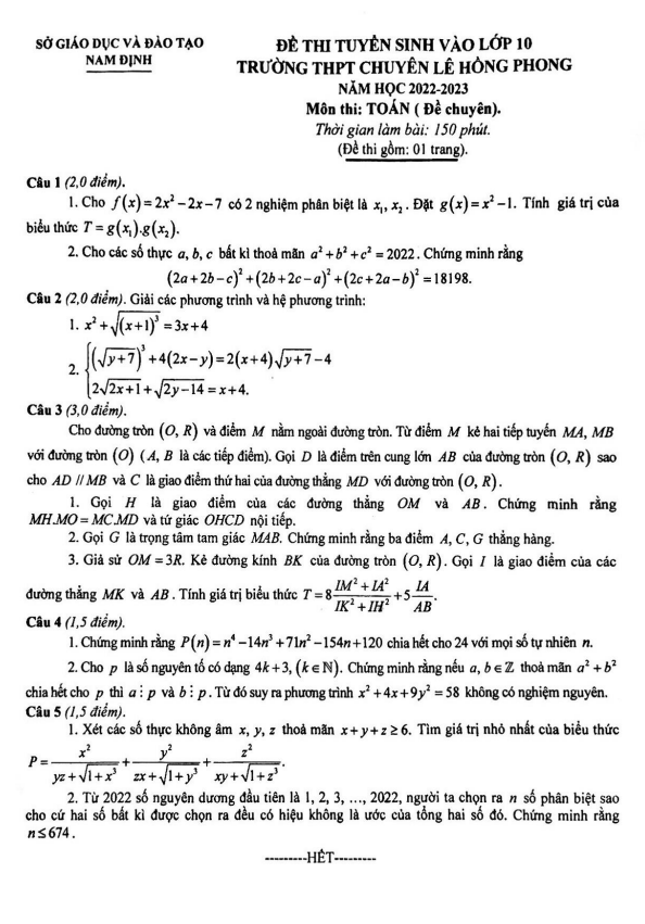
Tài liệu này bao gồm 328 trang, là một bộ sưu tập đề thi vào lớp 10 môn Toán dành cho cả học sinh chuyên và không chuyên. Được thiết kế để giúp học sinh lớp 9 rèn luyện kỹ năng và kiến thức cần thiết để chuẩn bị cho kỳ thi tuyển sinh vào lớp 10 môn Toán sắp tới.

Danh sách đề thi bao gồm:

  • Đề thi tuyển sinh lớp 10 năm học 2018-2019 của An Giang, Bắc Giang, Bắc Kạn, Bạc Liêu, Bà Rịa Vũng Tàu, Bình Định, Bình Dương, Bình Phước, Cần Thơ, Cao Bằng, Đắk Lắk, Đà Nẵng, Điện Biên, Đồng Nai, Hải Dương, Hải Phòng, Hà Nam, Hà Nội, Hà Tĩnh và nhiều tỉnh khác.
  • Đề thi vào lớp 10 không chuyên của Sở Giáo dục của nhiều tỉnh thành trên cả nước.

Đây là tài liệu hữu ích để học sinh ôn tập và củng cố kiến thức Toán trước khi bước vào kỳ thi quan trọng. Hy vọng rằng tài liệu này sẽ giúp học sinh tự tin bước vào kỳ thi tuyển sinh và đạt kết quả cao.

Bình luận (5)

20.Nguyễn Hoàng Nam

Em không thể không thốt lên 'wow' khi thấy số lượng đề thi trong tài liệu này. Cơ hội để rèn luyện kiến thức và kỹ năng của mình là vô cùng lớn!

Trả lời.

thân ngọc bích

Tôi dành lời khen ngợi cao đẹp cho nhóm biên soạn tài liệu này. Họ đã làm nên một việc tuyệt vời để giúp đỡ học sinh trong việc ôn thi.

Trả lời.

7. Trần Hồng Giang 11a1

Em thấy mình đã tìm được kho báu khi khám phá tuyển tập đề thi vào môn Toán chuyên và không chuyên. Cảm giác hạnh phúc không thể diễn tả!

Trả lời.

Huyền trân

Tôi rất vui vì đã có cơ hội tìm hiểu và ôn luyện qua các đề thi trong tuyển tập này. Hy vọng sẽ đạt kết quả tốt trong kỳ thi sắp tới.

Trả lời.

Phạm Hoàng Bảo

Em đã thử làm một số đề thi trong tài liệu này và thực sự thấy rất hứng thú. Có lẽ đây sẽ là công cụ học tập không thể thiếu cho em trong thời gian tới.

Trả lời.
Nhấn vào đây để đánh giá
Thông tin người gửi
1.49046 sec| 2492.516 kb