105 bài toán PT HPT BPT trong đề thi vào 10 môn Toán năm học 2021 2022

105 bài toán PT HPT BPT trong đề thi vào 10 môn Toán năm học 2021 2022
Mời thí sinh CLICK vào liên kết hoặc ảnh bên dưới Mở ứng dụng Shopee để tiếp tục làm bài thi
https://s.shopee.vn/AKN2JyAJAw
sytu.net và đội ngũ nhân viên xin chân thành cảm ơn!

Nội dung 105 bài toán PT HPT BPT trong đề thi vào 10 môn Toán năm học 2021 2022 Bản PDF

105 bài toán PT HPT BPT trong đề thi vào 10 môn Toán năm học 2021-2022

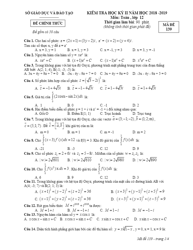
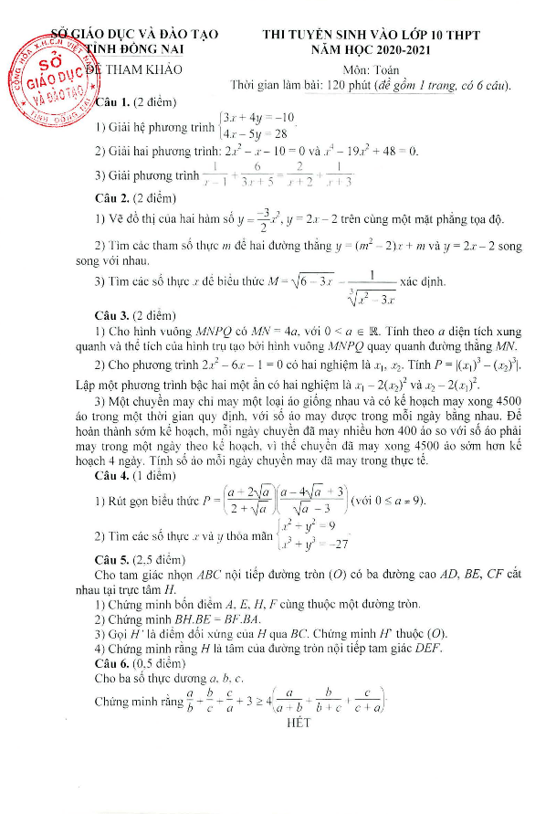
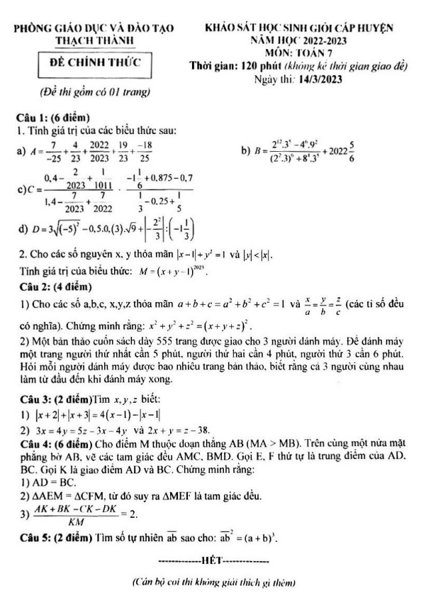
Tài liệu này được tổng hợp bởi thầy giáo Đặng Quang Thịnh, gồm 105 bài toán về phương trình, hệ phương trình và bất phương trình (PT-HPT-BPT) trong đề thi vào lớp 10 môn Toán năm học 2021-2022. Đây là tài liệu giúp học sinh lớp 9 ôn tập và chuẩn bị cho kì thi tuyển sinh vào lớp 10 môn Toán sắp tới.

Trong số 105 bài toán này, một số ví dụ bao gồm:

  • Giải phương trình x² - (m - 2)x + m + 1 với m = -3.
  • Chứng minh phương trình x² - (m - 2)x + m + 1 luôn có nghiệm với mọi số thực.
  • Tìm m để phương trình có hai nghiệm phân biệt x1, x2 là độ dài hai cạnh góc vuông của một tam giác vuông có độ dài đường cao h = 2√5.
  • ...

Ngoài ra, tài liệu cũng đưa ra các bài toán thực tế như:

  • Để duy trì sức khỏe, người trưởng thành cần đi bộ ít nhất 5000 bước mỗi ngày. Hai người cùng đi bộ và đặt mục tiêu mỗi người phải đi ít nhất 6000 bước mỗi ngày.
  • Hoặc vấn đề về vận tốc và thời gian như khi Mai đi học bằng xe đạp và xe máy.

Tài liệu này giúp học sinh rèn luyện kỹ năng giải bài toán và áp dụng kiến thức Toán vào thực tế, từ đó nâng cao hiệu suất học tập và chuẩn bị tốt cho kỳ thi tuyển sinh vào lớp 10.

Bình luận (5)

han t.

Tôi rất hạnh phúc khi tìm thấy tài liệu này, nó giúp tôi tự tin hơn trong việc chuẩn bị cho kỳ thi quan trọng sắp tới.

Trả lời.

Thái Hoàng

Em thấy háo hức khi được download file pdf này về máy, có thể ôn tập mọi lúc mọi nơi mà không cần mạng!

Trả lời.

Tống Khánh Linh

Tôi cảm thấy vui vì tài liệu này chứa đựng rất nhiều câu hỏi thú vị và phù hợp với đề thi môn Toán năm học 2021-2022.

Trả lời.

minh minh

Em rất biết ơn tác giả đã biên soạn tài liệu này, nó giúp em rèn luyện kỹ năng giải toán một cách thành thạo hơn.

Trả lời.

Minh Hiếu Đinh

Tôi rất phấn khích khi tìm thấy tài liệu này, nó cung cấp đầy đủ các bài toán phương trình, hệ phương trình và bất phương trình cần thiết để ôn tập cho kỳ thi vào lớp 10!

Trả lời.
Nhấn vào đây để đánh giá
Thông tin người gửi
1.76828 sec| 2472.25 kb