Đề chọn đội tuyển thi HSG QG THPT 2022 môn Toán sở GD ĐT Đồng Nai

Đề chọn đội tuyển thi HSG QG THPT 2022 môn Toán sở GD ĐT Đồng Nai
Mời thí sinh CLICK vào liên kết hoặc ảnh bên dưới Mở ứng dụng Shopee để tiếp tục làm bài thi
https://s.shopee.vn/AKN2JyAJAw
sytu.net và đội ngũ nhân viên xin chân thành cảm ơn!

Nội dung Đề chọn đội tuyển thi HSG QG THPT 2022 môn Toán sở GD ĐT Đồng Nai Bản PDF

Bài thi chọn đội tuyển HSG QG THPT 2022 môn Toán sở GD&ĐT Đồng Nai

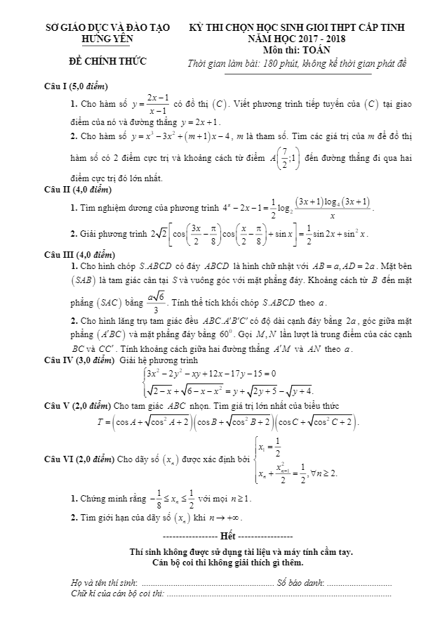
Ngày thứ Ba, 28 tháng 12 năm 2021, Sở Giáo dục và Đào tạo tỉnh Đồng Nai đã tổ chức kỳ thi chọn đội tuyển Học sinh giỏi Quốc gia THPT môn Toán cho năm học 2021-2022. Đề chọn đội tuyển thi HSG QG THPT 2022 môn Toán của sở GD&ĐT Đồng Nai bao gồm 01 trang với 05 bài toán dạng tự luận, với thời gian làm bài 180 phút (không tính thời gian phát đề).

Trích dẫn một số câu hỏi trong đề chọn đội tuyển thi HSG QG THPT 2022 môn Toán sở GD&ĐT Đồng Nai:

  • Để xác định ai sở hữu kho báu, Alibaba và bốn mươi tên cướp tham gia trò chơi trên bảng ô vuông vô hạn. Mục tiêu của Alibaba là sở hữu kho báu bằng cách tô màu các ô vuông sao cho tạo thành hình chữ nhật 1 x 2 hoặc 2 x 1 mà toàn bộ biên của nó được tô nhưng không tô đoạn thẳng đơn vị bên trong.
  • Tìm tất cả các hàm số f: R vào R sao cho f(xy) = yf(x) + x + f(f(y) - f(x)) với mọi x, y thuộc R.
  • Chứng minh một số tính chất trong tam giác ABC nhọn nội tiếp có các điểm đặc biệt như trực tâm, điểm đối xứng qua đường cao, và điểm tâm của đường tròn ngoại tiếp tam giác.

Bài thi không chỉ đánh giá kiến thức Toán mà còn thú vị và đòi hỏi sự logic, sự sáng tạo trong giải quyết vấn đề. Hy vọng các thí sinh sẽ có những phút giây trải nghiệm thú vị và có kết quả tốt trong kỳ thi này!

Bình luận (0)
Nhấn vào đây để đánh giá
Thông tin người gửi
1.32230 sec| 2404.211 kb