Đề cuối học kì 1 (HK1) lớp 10 môn Toán năm 2022 2023 trường THPT Quế Sơn Quảng Nam

Đề cuối học kì 1 (HK1) lớp 10 môn Toán năm 2022 2023 trường THPT Quế Sơn Quảng Nam

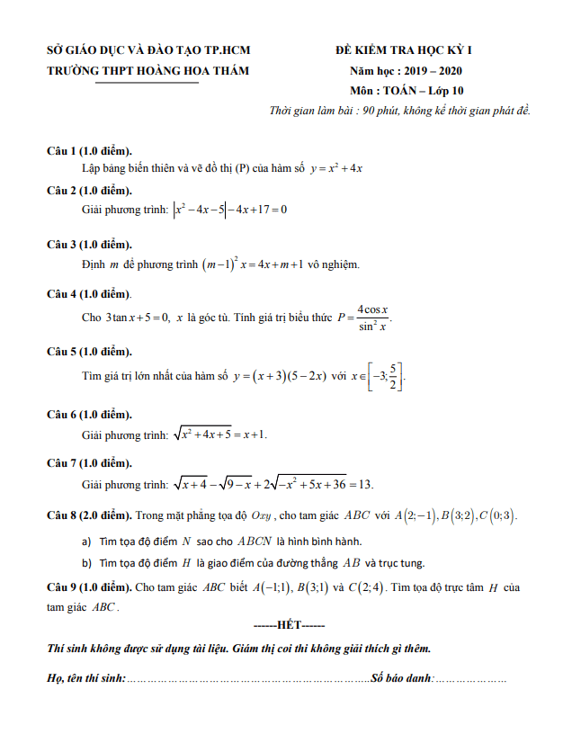
Nội dung Đề cuối học kì 1 (HK1) lớp 10 môn Toán năm 2022 2023 trường THPT Quế Sơn Quảng Nam Bản PDF

Đề cuối học kỳ 1 Toán lớp 10 năm 2022 - 2023 trường THPT Quế Sơn Quảng Nam

Xin chào quý thầy cô giáo và các em học sinh lớp 10! Sytu xin giới thiệu đến quý vị một bộ đề kiểm tra cuối học kỳ 1 môn Toán lớp 10 năm học 2022 - 2023 của trường THPT Quế Sơn, tỉnh Quảng Nam. Đề thi bao gồm các câu hỏi trắc nghiệm và có đáp án chi tiết cũng như lời giải tự luận để phục vụ cho việc ôn tập và kiểm tra kiến thức của các em.

Trích dẫn một số câu hỏi từ đề thi:

  • Câu nào không phải là mệnh đề?
    1. Hãy làm bài kiểm tra thật nghiêm túc!
    2. Hà Nội là thủ đô của Việt Nam.
    3. 7 là số nguyên tố.
    4. 8 + 2 = 11.
  • Hai chiếc tàu thủy cùng xuất phát từ một vị trí A, đi thẳng theo hai hướng tạo với nhau một góc 120 độ. Tàu thứ nhất chạy với vận tốc 50km/h, tàu thứ hai chạy với vận tốc 40km/h. Hỏi sau 1 giờ hai tàu cách nhau bao nhiêu km?
  • Trong mặt phẳng tọa độ Oxy, cho hình bình hành ABCD có B(1;2), D(3;-1). a) Tìm tọa độ điểm P trên trục Ox sao cho tam giác BDP vuông tại D. b) Gọi Q là trung điểm của cạnh BC, N là giao điểm của AC và DQ. Biết N(2;-1), tìm tọa độ các điểm A, C.

Đề thi sẽ giúp các em học sinh ôn tập kiến thức, rèn luyện kỹ năng giải bài tập và chuẩn bị tốt cho kỳ thi cuối kỳ. Chúc các em học tập hiệu quả!

Bình luận (5)

Lâm Hưng Phát

Sau khi tải file pdf về, tôi đã thấy mình tự tin hơn trong việc học tập và kiểm tra toán. Cảm ơn trường THPT Quế Sơn Quảng Nam rất nhiều!

Trả lời.

hthaduyen

Tôi tin rằng, nhờ việc làm bài thi trên tài liệu này, học sinh sẽ có cơ hội phát huy tối đa khả năng của mình.

Trả lời.

ht hh

Tài liệu này thực sự hữu ích cho việc ôn tập và kiểm tra kiến thức của học sinh, em sẽ dành thời gian để học kỹ từng câu hỏi.

Trả lời.

Hanry

Em cảm thấy biết ơn với nhà trường đã chuẩn bị đề cuối học kì 1 một cách cẩn thận và chu đáo như vậy.

Trả lời.

User Google

Tôi rất phấn khích khi thấy tài liệu này, nó giúp học sinh lớp 10 có thêm nguồn tư liệu học tập chất lượng.

Trả lời.
Nhấn vào đây để đánh giá
Thông tin người gửi
0.93755 sec| 2475.43 kb