Đề học sinh giỏi cấp tỉnh Toán THCS năm 2023 2024 sở GD ĐT Thanh Hóa

Đề học sinh giỏi cấp tỉnh Toán THCS năm 2023 2024 sở GD ĐT Thanh Hóa
Mời thí sinh CLICK vào liên kết hoặc ảnh bên dưới Mở ứng dụng Shopee để tiếp tục làm bài thi
https://s.shopee.vn/AKN2JyAJAw
sytu.net và đội ngũ nhân viên xin chân thành cảm ơn!

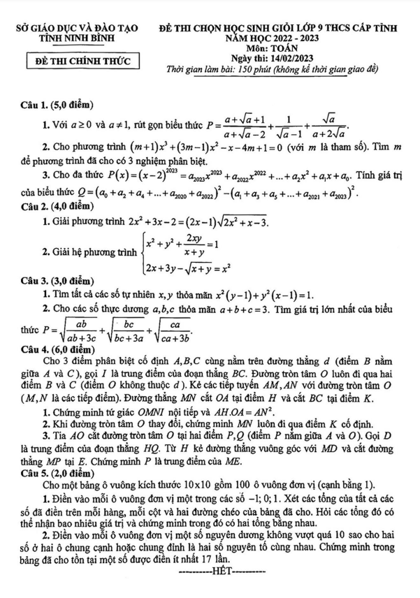
Nội dung Đề học sinh giỏi cấp tỉnh Toán THCS năm 2023 2024 sở GD ĐT Thanh Hóa Bản PDF

Bài thi chọn học sinh giỏi Toán THCS cấp tỉnh Thanh Hóa năm 2023 - 2024

Sytu xin giới thiệu đến quý thầy cô và các em học sinh lớp 9 đề thi chọn học sinh giỏi cấp tỉnh môn Toán THCS năm học 2023 - 2024 sở Giáo dục và Đào tạo tỉnh Thanh Hóa. Kỳ thi sẽ diễn ra vào ngày 21 tháng 12 năm 2023. Dưới đây là một số câu hỏi trong đề thi:

1. Cho số nguyên dương n sao cho $3^n - 1$ chia hết cho $2^{2024}$. Chứng minh rằng n ≥ $2^{2022}$.

2. Tam giác đều ABC có cạnh độ dài 23 và đường cao AH. Trên đoạn BH, lấy điểm M bất kỳ (khác B và H). Gọi P, Q lần lượt là chân đường vuông góc từ M đến AB, AC. a) Chứng minh giá trị của biểu thức MP + MQ không phụ thuộc vào vị trí của điểm M. b) Gọi K là trung điểm của AM. Chứng minh rằng tứ giác PKQH là hình thoi. Tính diện tích S của hình thoi PKQH khi điểm M thay đổi sao cho S là một số nguyên dương.

3. Vẽ đường tròn (O) nội tiếp tam giác ABM. Gọi D, E, F lần lượt là tiếp điểm của (O) với các cạnh BM, AB, AM. Vẽ DN vuông góc với EF tại N. Chứng minh BNE = MNF.

Đây là một số câu hỏi thú vị trong đề thi chọn học sinh giỏi Toán THCS cấp tỉnh Thanh Hóa năm 2023 - 2024. Chúc các em học sinh thật tốt trong kỳ thi sắp tới!

Bình luận (4)

Trần Hoàng Minh Trang

Em cảm động trước cơ hội được tham gia vào các đề học sinh giỏi cấp tỉnh. Điều này khuyến khích em học hỏi và nỗ lực hơn trong học tập.

Trả lời.

Phan Anh Thư

Tôi rất biết ơn sở GD ĐT Thanh Hóa đã tổ chức các đề học sinh giỏi này. Điều này giúp học sinh có cơ hội phát triển tiềm năng toán học của mình.

Trả lời.

25-8G Trương Minh Nhật

Em rất vui khi có cơ hội tham gia vào các đề học sinh giỏi cấp tỉnh. Đây là dịp để tự thách thức bản thân và rèn luyện kỹ năng giải bài toán.

Trả lời.

30 _Hồ Bảo Vy

Tôi rất phấn khích khi biết đến tài liệu 'Đề học sinh giỏi cấp tỉnh Toán THCS năm 2023 2024'. Đây là cơ hội tuyệt vời để học sinh thể hiện tài năng và kiến thức của mình.

Trả lời.
Nhấn vào đây để đánh giá
Thông tin người gửi
1.39992 sec| 2474.977 kb