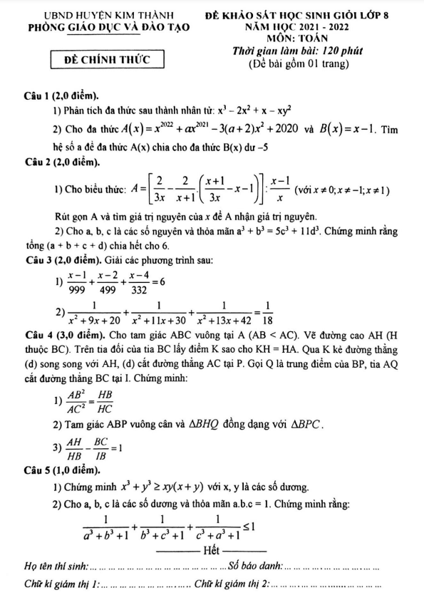
Đề học sinh giỏi lớp 8 môn Toán năm 2021 2022 phòng GD ĐT Nam Trực Nam Định

Đề học sinh giỏi lớp 8 môn Toán năm 2021 2022 phòng GD ĐT Nam Trực Nam Định
Mời thí sinh CLICK vào liên kết hoặc ảnh bên dưới Mở ứng dụng Shopee để tiếp tục làm bài thi
https://s.shopee.vn/AKN2JyAJAw
sytu.net và đội ngũ nhân viên xin chân thành cảm ơn!

Nội dung Đề học sinh giỏi lớp 8 môn Toán năm 2021 2022 phòng GD ĐT Nam Trực Nam Định Bản PDF

Sytu giới thiệu đề học sinh giỏi Toán lớp 8 năm 2021 - 2022 phòng GD&ĐT Nam Trực - Nam Định

Sytu rất hân hạnh được giới thiệu đến quý thầy cô và các em học sinh đề học sinh giỏi Toán lớp 8 năm 2021 - 2022 của phòng GD&ĐT Nam Trực - Nam Định. Đề thi này được chúng tôi xem xét kỹ lưỡng và lựa chọn các câu hỏi phù hợp để thử thách và phát triển năng lực Toán học của các em học sinh. Chúng tôi tin rằng đề thi này sẽ giúp các em rèn luyện kỹ năng giải quyết bài toán, logic suy luận và tư duy sáng tạo.

Bình luận (5)

Vũ Thị Bích Huệ

Em chắc chắn sẽ dành thời gian để tìm hiểu và ôn tập kĩ hơn từ tài liệu này. Đây chính là cơ hội tốt để tự phấn đấu và vươn lên trong hành trình học tập của mình.

Trả lời.

Girl Sad

Tôi mong rằng tài liệu này sẽ giúp học sinh lớp 8 rèn luyện và phát triển kỹ năng Toán của mình một cách hiệu quả. Cảm giác như có một bước chuyển lớn trong việc nâng cao chất lượng giáo dục.

Trả lời.

Phạm Phúc Thảo Nguyên

Em rất cảm động khi biết mình có cơ hội tiếp cận với tài liệu chất lượng như vậy. Đôi khi chỉ cần một chút động viên nhỏ nhẹ như thế là đủ để học sinh tự tin hơn rất nhiều.

Trả lời.

Nguyễn Phan Gia Kiên Lớp 8/3

Tôi cảm thấy thật hứng thú và sẵn lòng dành thời gian để tự học và ôn tập với tài liệu này. Hy vọng sẽ đạt được kết quả tốt trong kỳ thi sắp tới.

Trả lời.

Tiến Nguyễn

Em không thể tin được mắt mình khi thấy tài liệu này! Cảm giác như đang có một 'cứu cánh' để chuẩn bị cho kì thi sắp tới.

Trả lời.
Nhấn vào đây để đánh giá
Thông tin người gửi
1.99004 sec| 2473.133 kb