Đề học sinh giỏi lớp 8 môn Toán năm 2022 2023 phòng GD ĐT thành phố Vinh Nghệ An

Đề học sinh giỏi lớp 8 môn Toán năm 2022 2023 phòng GD ĐT thành phố Vinh Nghệ An
Mời thí sinh CLICK vào liên kết hoặc ảnh bên dưới Mở ứng dụng Shopee để tiếp tục làm bài thi
https://s.shopee.vn/AKN2JyAJAw
sytu.net và đội ngũ nhân viên xin chân thành cảm ơn!

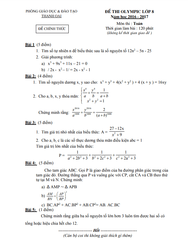
Nội dung Đề học sinh giỏi lớp 8 môn Toán năm 2022 2023 phòng GD ĐT thành phố Vinh Nghệ An Bản PDF

Sản phẩm Đề học sinh giỏi lớp 8 môn Toán năm 2022-2023 tại phòng GD&ĐT thành phố Vinh, Nghệ An

Sytu trân trọng giới thiệu đến quý thầy, cô giáo và các em học sinh lớp 8 đề thi khảo sát chất lượng học sinh giỏi môn Toán lớp 8 năm học 2022-2023 do phòng Giáo dục và Đào tạo thành phố Vinh, tỉnh Nghệ An biên soạn. Đề thi bao gồm đáp án, lời giải chi tiết và hướng dẫn chấm điểm.

Dưới đây là trích dẫn một số câu hỏi từ Đề học sinh giỏi Toán lớp 8 năm 2022-2023 phòng GD&ĐT thành phố Vinh, Nghệ An:

1. Cho các số nguyên a, b, c thoả mãn ab + bc + ca = 1. Chứng minh rằng a^2 + b^2 + c^2 là số chính phương.

2. Gọi S(n) là tổng các chữ số của số nguyên dương n khi biểu diễn nó trong hệ thập phân. Biết rằng với bất kỳ số nguyên dương n ta có 0 ≤ S(n) ≤ n. Tìm số nguyên dương n thỏa mãn 2*S(n) = n*(2023 - 7).

3. Tìm các hệ số a, b, c để đa thức f(x) = ax^3 + bx^2 + c chia hết cho đa thức x^2 + 2x + 1 và chia cho đa thức 2x + 1 thì dư 3.

4. Cho a, b, c, d, e là các số thực dương thoả mãn a + b + c + d + e = 4. Tìm giá trị nhỏ nhất của biểu thức P = (a/bc) + (b/cd) + (c/de) + (d/ea) + (e/ab).

5. Cho tam giác ABC có ba góc nhọn, AB = AC, trung tuyến AM. Kẻ BE vuông góc với AM. Trên đoạn MC lấy điểm F sao cho MFA = MEC. Gọi N, I lần lượt là trung điểm của đoạn thẳng AF và EC, AF cắt CE ở O. Chứng minh rằng tam giác OEF đồng dạng với tam giác OAC. Biết tỷ số AM/BC = 1/2, tính tỷ số MN/MI. Chứng minh rằng NB = NC.

6. Cho hình thang cân ABCD, AB // CD. Gọi M, N lần lượt là trung điểm của AB và CD. Trên tia đối của tia DA lấy điểm E, tia EN cắt đoạn thẳng AC tại F. Chứng minh rằng MN là tia phân giác của góc EMF.

Nội dung trên là một phần của Đề học sinh giỏi lớp 8 môn Toán năm 2022-2023 tại phòng GD&ĐT thành phố Vinh, Nghệ An. Đây là cơ hội để các em học sinh lớp 8 kiểm tra và nâng cao kiến thức, kỹ năng toán học của mình thông qua đề thi được biên soạn tỉ mỉ và cung cấp đầy đủ đáp án, lời giải chi tiết. Hy vọng rằng đề thi này sẽ giúp các em đạt được kết quả tốt và phát triển toàn diện trong môn Toán.

Bình luận (5)

Duy Hưng

Tôi tin rằng việc sử dụng tài liệu này sẽ giúp học sinh lớp 8 ở Vinh Nghệ An nâng cao kỹ năng Toán và tự tin hơn trong kỳ thi học sinh giỏi sắp tới.

Trả lời.

Phong Hải

Em biết ơn sự cống hiến của các thầy cô và nhà trường đã tạo điều kiện cho học sinh có cơ hội ôn tập và tự kiểm tra kiến thức mình qua tài liệu này.

Trả lời.

Nguyen Thuy Hang

Tôi cảm động với sự chuẩn bị kỹ lưỡng và công phu của phòng GD ĐT Vinh Nghệ An trong việc tổ chức đề thi học sinh giỏi lớp 8 môn Toán.

Trả lời.

Tuan Nguyen

Em thực sự phấn khích với việc tài liệu này giúp học sinh rèn luyện kỹ năng và kiến thức Toán thông qua các đề thi học sinh giỏi.

Trả lời.

tra my

Tôi rất vui khi thấy tài liệu Đề học sinh giỏi lớp 8 môn Toán năm 2022 2023 của phòng GD ĐT thành phố Vinh Nghệ An đề cao chất lượng giáo dục ở địa phương.

Trả lời.
Nhấn vào đây để đánh giá
Thông tin người gửi
1.56712 sec| 2476.078 kb