Đề học sinh giỏi lớp 9 môn Toán năm 2022 2023 phòng GD ĐT thành phố Hải Dương (vòng 2)

Đề học sinh giỏi lớp 9 môn Toán năm 2022 2023 phòng GD ĐT thành phố Hải Dương (vòng 2)

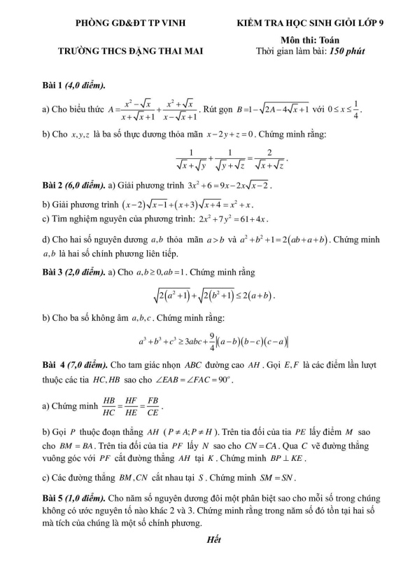
Nội dung Đề học sinh giỏi lớp 9 môn Toán năm 2022 2023 phòng GD ĐT thành phố Hải Dương (vòng 2) Bản PDF

Đề thi học sinh giỏi Toán lớp 9 năm 2022 - 2023 tại Hải Dương

Sytu xin giới thiệu đến các thầy cô và các em học sinh lớp 9 đề thi chọn học sinh giỏi môn Toán lớp 9 năm học 2022 - 2023 do Phòng Giáo dục và Đào tạo thành phố Hải Dương tổ chức vòng 2. Kỳ thi sẽ diễn ra vào ngày 01 tháng 10 năm 2022, là cơ hội để các em thể hiện kiến thức và khả năng của mình trong môn Toán.

Bình luận (5)

Như Quỳnh

Tôi không thể giấu được lòng vui sướng khi được tiếp cận với tài liệu này. Những bài toán trong đề thi thật sự đầy thách thức, và tôi sẽ cố gắng hết mình để giải quyết chúng.

Trả lời.

giang đoàn hải

Em rất vui mừng khi thấy tài liệu "Đề học sinh giỏi lớp 9 môn Toán" được công bố. Đây là cơ hội tuyệt vời để rèn luyện khả năng giải bài toán của mình.

Trả lời.

28. Nguyễn Thành 11a7

Tài liệu này thật sự là một món quà vô cùng quý giá dành cho học sinh. Tôi không thể không biết ơn phòng GD ĐT thành phố Hải Dương vì đã tổ chức và cung cấp đề thi chất lượng như vậy.

Trả lời.

hương lê

Em cảm thấy hạnh phúc vô cùng khi có cơ hội tham gia vào các bài tập trong tài liệu này. Việc ôn tập những dạng bài này giúp em tự tin hơn trong kỳ thi sắp tới.

Trả lời.

Thuan Tuc

Tôi rất phấn khích khi biết đến tài liệu "Đề học sinh giỏi lớp 9 môn Toán năm 2022 2023". Đề thi này chắc chắn sẽ giúp học sinh rèn luyện kỹ năng và kiến thức một cách hiệu quả.

Trả lời.
Nhấn vào đây để đánh giá
Thông tin người gửi
1.31053 sec| 2473.227 kb