Đề khảo sát chất lượng môn Toán trường chuyên Vĩnh Phúc lần 1

Đề khảo sát chất lượng môn Toán trường chuyên Vĩnh Phúc lần 1
Mời thí sinh CLICK vào liên kết hoặc ảnh bên dưới Mở ứng dụng Shopee để tiếp tục làm bài thi
https://s.shopee.vn/AKN2JyAJAw
sytu.net và đội ngũ nhân viên xin chân thành cảm ơn!

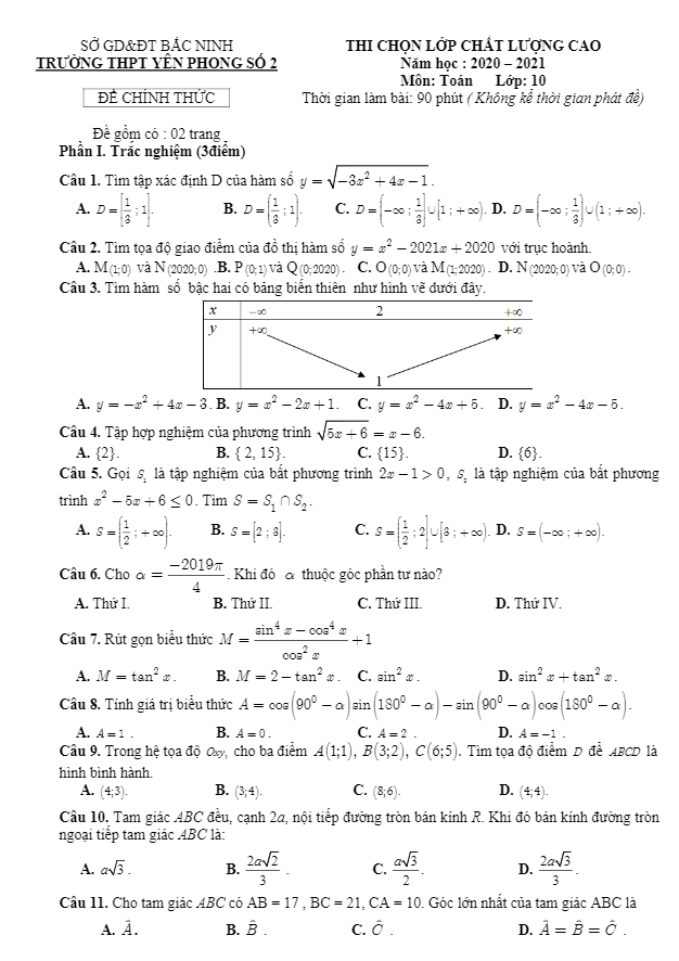
Nội dung Đề khảo sát chất lượng môn Toán trường chuyên Vĩnh Phúc lần 1 Bản PDF

Đề khảo sát chất lượng môn Toán trường chuyên Vĩnh Phúc lần 1:

Đề khảo sát chất lượng môn Toán trường chuyên Vĩnh Phúc lần 1 đã được tổ chức thành công. Đề thi được thiết kế sao cho phản ánh đầy đủ kiến thức và kỹ năng của học sinh, từ các kiến thức cơ bản đến các bài toán phức tạp. Thời gian làm bài được cân đối, giúp học sinh có đủ thời gian suy nghĩ và làm bài một cách tỉ mỉ. Đề thi cũng có nhiều bài tập thực hành để học sinh có cơ hội áp dụng kiến thức vào thực tế, từ đó nắm vững và phát triển kỹ năng giải bài toán. Kết quả của đề khảo sát sẽ giúp nhà trường đánh giá được khả năng học tập và tiềm năng của học sinh, từ đó đề xuất các biện pháp phát triển giáo dục phù hợp. Mong rằng, đây sẽ là bước khởi đầu cho một hành trình học tập hiệu quả và phát triển toàn diện của các em học sinh.

Bình luận (5)

Châmm Channel

Tôi thấy hết sức hài lòng với tài liệu này, hy vọng rằng trường chuyên Vĩnh Phúc sẽ tiếp tục duy trì và phát triển chất lượng giáo dục và đào tạo trong tương lai.

Trả lời.

vi nguyen

Em cảm thấy vui mừng khi thấy tài liệu này giúp em hiểu rõ hơn về cấu trúc đề thi môn Toán, từ đó tự tin hơn trong việc làm bài tập và ôn thi.

Trả lời.

Trần Đức Hùng

Tôi rất biết ơn vì tài liệu này giúp học sinh chuẩn bị tốt cho kỳ thi môn Toán sắp tới, tạo điều kiện thuận lợi cho việc học tập của học sinh trường chuyên Vĩnh Phúc.

Trả lời.

Trần Thị Soàn

Em cảm động khi thấy tài liệu này được thiết kế rõ ràng, mang đến sự tiện lợi cho việc học tập và ôn tập của mình.

Trả lời.

Thị Huế

Tôi ấn tượng với sự cẩn thận và tinh tế trong việc lựa chọn câu hỏi, đảm bảo độ khó phù hợp với đối tượng học sinh trường chuyên.

Trả lời.
Nhấn vào đây để đánh giá
Thông tin người gửi
1.24819 sec| 2473.297 kb