Đề kiểm tra học kì 1 (HK1) lớp 12 môn Toán năm 2023 2024 sở GD ĐT Bình Thuận

Đề kiểm tra học kì 1 (HK1) lớp 12 môn Toán năm 2023 2024 sở GD ĐT Bình Thuận
Mời thí sinh CLICK vào liên kết hoặc ảnh bên dưới Mở ứng dụng Shopee để tiếp tục làm bài thi
https://s.shopee.vn/AKN2JyAJAw
sytu.net và đội ngũ nhân viên xin chân thành cảm ơn!

Nội dung Đề kiểm tra học kì 1 (HK1) lớp 12 môn Toán năm 2023 2024 sở GD ĐT Bình Thuận Bản PDF

Đề kiểm tra học kì 1 (HK1) lớp 12 môn Toán năm 2023 2024 sở GD ĐT Bình Thuận

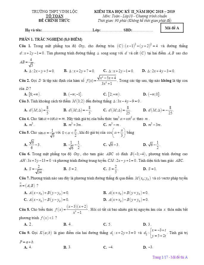
Sytu xin trân trọng giới thiệu đến quý thầy cô và các em học sinh lớp 12 đề kiểm tra cuối học kì 1 môn Toán lớp 12 năm học 2023 – 2024 từ sở Giáo dục và Đào tạo tỉnh Bình Thuận. Đề kiểm tra này là cơ hội để các em thể hiện kiến thức và kỹ năng của mình sau một thời gian học tập và ôn luyện.

Hãy tự tin và cố gắng hết mình trong bài kiểm tra này. Chúc các em đạt kết quả cao và có những trải nghiệm học tập thú vị!

Bình luận (5)

Gia tiêu nguyễn

Tôi chắc chắn sẽ sử dụng tài liệu này để ôn tập cho kỳ thi học kỳ 1 sắp tới. Em tin rằng sẽ đạt kết quả tốt nhờ vào sự hỗ trợ đắc lực từ tài liệu này.

Trả lời.

User Google

Em rất cảm động khi thấy sự chuyên nghiệp và tận tâm của Sở GD ĐT Bình Thuận trong việc chuẩn bị tài liệu ôn tập cho học sinh. Đây thật sự là một động lực lớn cho em.

Trả lời.

Tharo Changg

Tôi biết ơn ban biên tập đã tạo ra tài liệu này, giúp cho việc ôn tập của học sinh trở nên dễ dàng và hiệu quả hơn. Cảm ơn vì sự chu đáo và chăm sóc này!

Trả lời.

V3012 09-Ngọc Ánh

Em rất phấn khích khi thấy có đề kiểm tra học kỳ 1 môn Toán năm 2023 2024 từ Sở GD ĐT Bình Thuận. Đây sẽ là công cụ hữu ích giúp em ôn tập hiệu quả.

Trả lời.

Nhi Nguyễn

Tôi rất vui khi có cơ hội sử dụng tài liệu này để chuẩn bị cho đề kiểm tra học kỳ 1 của lớp 12. Cảm ơn Sở GD ĐT Bình Thuận đã chuẩn bị một bộ đề thi chất lượng như vậy!

Trả lời.
Nhấn vào đây để đánh giá
Thông tin người gửi
0.86935 sec| 2473.18 kb