Đề Olympic 27 tháng 04 lớp 8 môn Toán năm 2022 2023 sở GD ĐT Bà Rịa Vũng Tàu

Đề Olympic 27 tháng 04 lớp 8 môn Toán năm 2022 2023 sở GD ĐT Bà Rịa Vũng Tàu
Mời thí sinh CLICK vào liên kết hoặc ảnh bên dưới Mở ứng dụng Shopee để tiếp tục làm bài thi
https://s.shopee.vn/AKN2JyAJAw
sytu.net và đội ngũ nhân viên xin chân thành cảm ơn!

Nội dung Đề Olympic 27 tháng 04 lớp 8 môn Toán năm 2022 2023 sở GD ĐT Bà Rịa Vũng Tàu Bản PDF

Đề Olympic 27 tháng 04 lớp 8 môn Toán năm 2022-2023 sở GD ĐT Bà Rịa Vũng Tàu

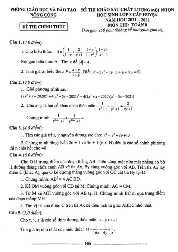
Chào mừng đến với Đề thi Olympic 27 tháng 04 môn Toán lớp 8 năm học 2022 – 2023 của sở Giáo dục và Đào tạo tỉnh Bà Rịa – Vũng Tàu! Đề thi sẽ được tổ chức vào ngày 23 tháng 03 năm 2023, và sẽ đi kèm đáp án và hướng dẫn chấm điểm.

Trong đề thi này, có nhiều câu hỏi thú vị và đầy thách thức. Ví dụ như trong câu hỏi về tam giác ABC vuông tại A, bạn sẽ cần chứng minh những tính chất về tia phân giác, tam giác cân và các góc nhọn. Câu hỏi khác đưa ra một bài toán về điều kiện của đường thẳng để tìm giá trị lớn nhất của một phân số.

Không chỉ thế, có cả bài toán đòi hỏi bạn tìm tất cả các số nguyên dương thỏa mãn một điều kiện chia hết và tìm ra các số hữu tỉ thỏa mãn một phương trình phức tạp.

Với những bài toán đa dạng và thú vị như vậy, chắc chắn rằng bạn sẽ phải đầu tư thời gian và tư duy đề giải những câu hỏi này. Chúc các em học sinh lớp 8 thành công và giải bài tập tốt nhé!

Bình luận (4)

Kim Phượng

Em cảm động khi thấy tài liệu này vì nó là nguồn kiến thức hữu ích cho việc ôn tập của mình. Cảm ơn các tác giả đã chia sẻ tài liệu giúp em có thêm động lực trong học tập.

Trả lời.

Nguyễn Trần Phương Cúc

Tôi rất biết ơn các tác giả đã biên soạn tài liệu này. Đề Olympic 27 tháng 04 lớp 8 môn Toán năm 2022 2023 sở GD ĐT Bà Rịa Vũng Tàu sẽ giúp học sinh có cơ hội ôn tập và chuẩn bị tốt cho kì thi.

Trả lời.

Khánh Hạ

Em thực sự phấn khích khi tìm thấy file pdf download của Đề Olympic 27 tháng 04 lớp 8 môn Toán. Đây là cơ hội tuyệt vời để ôn tập và nâng cao kiến thức của mình.

Trả lời.

Trương Thị Kim Ánh

Tôi rất vui khi thấy tài liệu Đề Olympic 27 tháng 04 lớp 8 môn Toán năm 2022 2023 sở GD ĐT Bà Rịa Vũng Tàu được chia sẻ công khai. Điều này giúp học sinh có thêm tài liệu ôn tập, rèn luyện kỹ năng giải bài toán.

Trả lời.
Nhấn vào đây để đánh giá
Thông tin người gửi
1.72993 sec| 2475.133 kb