Đề Olympic 30 tháng 4 lớp 10 môn Toán năm 2023 trường chuyên Lê Hồng Phong TP HCM

Đề Olympic 30 tháng 4 lớp 10 môn Toán năm 2023 trường chuyên Lê Hồng Phong TP HCM
Mời thí sinh CLICK vào liên kết hoặc ảnh bên dưới Mở ứng dụng Shopee để tiếp tục làm bài thi
https://s.shopee.vn/AKN2JyAJAw
sytu.net và đội ngũ nhân viên xin chân thành cảm ơn!

Nội dung Đề Olympic 30 tháng 4 lớp 10 môn Toán năm 2023 trường chuyên Lê Hồng Phong TP HCM Bản PDF

Đề Olympic 30 tháng 4 lớp 10 môn Toán năm 2023 trường chuyên Lê Hồng Phong TP HCM

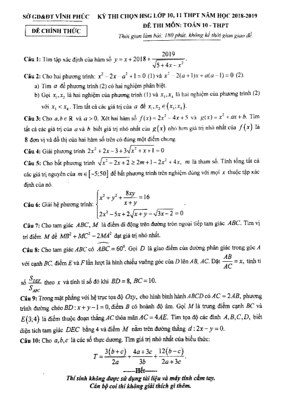
Chào mừng đến với đề thi Olympic truyền thống 30 tháng 4 môn Toán lớp 10 năm 2023 tại trường THPT chuyên Lê Hồng Phong, thành phố Hồ Chí Minh. Đề thi sẽ được tổ chức vào ngày thứ Bảy, ngày 08 tháng 04 năm 2023. Đề thi bao gồm đáp án, lời giải chi tiết và hướng dẫn chấm điểm.

Trích dẫn một số bài toán trong Đề Olympic 30 tháng 4 Toán lớp 10 năm 2023 trường chuyên Lê Hồng Phong – TP HCM:

1. S là tập hợp các số nguyên dương n (n > 1) sao cho với n số thực bất kỳ thuộc khoảng (-2;2) có tổng bằng 0, thì tổng lũy thừa bậc 4 của chúng luôn nhỏ hơn 32. Hãy chứng minh rằng S = {2;3}.

2. Tìm giá trị nhỏ nhất của hàm số f(x, y) = 2^x - 5^y với x và y là hai số nguyên dương thỏa mãn 2^x >= 5^y.

3. Tìm tất cả các số nguyên dương N có đúng hai ước nguyên tố là 2 và 5, đồng thời N + 4 là số chính phương.

4. Cho 4 hình vuông đơn vị xếp kề nhau và một hình lập phương. Hãy tính cách tô màu các đỉnh của các hình vuông và hình lập phương bằng màu khác nhau theo yêu cầu của bài toán.

Đây chắc chắn sẽ là một thử thách thú vị và bổ ích cho các em học sinh lớp 10. Chúc các em thi tốt!

Bình luận (5)

hoàng nam

Tôi rất hạnh phúc khi có cơ hội tiếp cận với tài liệu bổ ích này. Cảm ơn trường chuyên Lê Hồng Phong rất nhiều!

Trả lời.

Luc Thuan

Em thấy cảm động trước sự chu đáo của trường chuyên Lê Hồng Phong khi chuẩn bị tài liệu ôn tập cho học sinh. Thật tuyệt vời!

Trả lời.

Trần Thị Thu Hiền

Tôi vui mừng vì Đề Olympic này giúp học sinh rèn luyện kỹ năng giải đề và tăng cường kiến thức Toán đồng thời.

Trả lời.

Trần Thị Thanh Tú

Em thật sự biết ơn vì đã có tài liệu này giúp em ôn tập Toán một cách hiệu quả. Cảm giác tự tin tăng lên rất nhiều!

Trả lời.

Lê Tiến Khoa

Tôi rất phấn khích khi thấy tài liệu Đề Olympic 30 tháng 4 lớp 10 môn Toán năm 2023 của trường chuyên Lê Hồng Phong TP HCM. Đầy đủ và chất lượng!

Trả lời.
Nhấn vào đây để đánh giá
Thông tin người gửi
0.94610 sec| 2475.711 kb