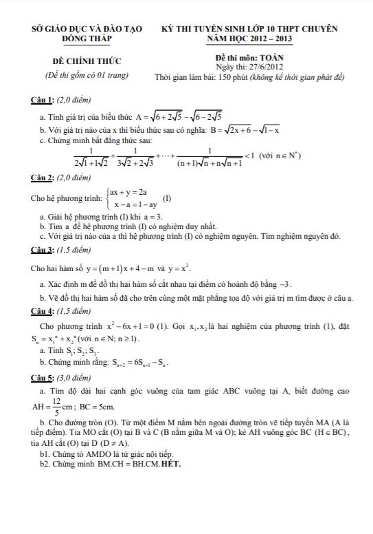
Đề thi giữa học kì 1 (HK1) lớp 8 môn Toán năm 2021 2022 trường THCS Lương Thế Vinh Nam Định

Đề thi giữa học kì 1 (HK1) lớp 8 môn Toán năm 2021 2022 trường THCS Lương Thế Vinh Nam Định

Nội dung Đề thi giữa học kì 1 (HK1) lớp 8 môn Toán năm 2021 2022 trường THCS Lương Thế Vinh Nam Định Bản PDF

Đề thi giữa học kì 1 (HK1) môn Toán lớp 8 năm 2021-2022 trường THCS Lương Thế Vinh Nam Định

Xin chào quý thầy cô giáo và các em học sinh lớp 8! Sytu xin giới thiệu đến bạn đề khảo sát chất lượng giữa học kỳ 1 môn Toán lớp 8 năm học 2021-2022 trường THCS Lương Thế Vinh, Nam Định.

Trích dẫn đề thi:

1. Khẳng định nào sau đây là đúng?

  • A. Tứ giác có hai đường chéo bằng nhau là hình chữ nhật.
  • B. Hình bình hành có hai đường chéo bằng nhau là hình chữ nhật.
  • C. Hình thang có một góc vuông là hình chữ nhật.
  • D. Hình thang cân có hai đường chéo bằng nhau là hình chữ nhật.

2. Cho ABC vuông tại A có AB AC trung tuyến AM, đường cao AH. Gọi D, E lần lượt là chân các đường vuông góc kẻ M đến AB và AC. Chứng minh:

  • a) AM DE.
  • b) Tứ giác DMCE là hình bình hành.
  • c) A đối xứng với H qua DE.

3. Hình thang cân là hình thang

  • A. có hai cạnh đáy bằng nhau
  • B. có hai cạnh bên bằng nhau
  • C. có hai góc kề một đáy bằng nhau
  • D. có hai góc kề cạnh bên bằng nhau

Hy vọng đề thi sẽ giúp các em ôn tập và nắm vững kiến thức để chuẩn bị tốt cho kỳ thi sắp tới. Chúc các em thành công!

Bình luận (5)

Đỗ Trí Phong

Tôi hơi lo lắng nhưng cũng thú vị trước bài kiểm tra sắp tới. Cảm ơn trường THCS Lương Thế Vinh Nam Định đã tạo điều kiện cho học sinh thử sức và rèn luyện kỹ năng Toán của mình.

Trả lời.

Đỉnh Nguyễn

Em rất cảm động khi thấy đề thi này tỉ mỉ và công phu như vậy. Điều này chứng tỏ sự quan tâm và chu đáo từ phía trường học đối với sự phát triển của học sinh.

Trả lời.

Phan Trần Yến nhi

Tôi biết ơn trường THCS Lương Thế Vinh Nam Định vì đã chuẩn bị cho học sinh những bài kiểm tra chất lượng như đề thi này. Đây chắc chắn sẽ là một cơ hội tốt để học sinh thể hiện tài năng của mình!

Trả lời.

Bùi Lê Thanh Trúc

Em vui mừng khi có cơ hội tham gia vào bài kiểm tra giữa kì này. Đề thi Toán khó khăn nhưng cũng rất thú vị!

Trả lời.

nguyễn tuyên

Tôi rất phấn khích khi thấy đề thi giữa học kì 1 lớp 8 môn Toán năm 2021 2022 của trường THCS Lương Thế Vinh Nam Định. Cảm ơn các thầy cô đã biên soạn đề thi chất lượng như vậy!

Trả lời.
Nhấn vào đây để đánh giá
Thông tin người gửi
1.20491 sec| 2479.492 kb