Đề thi giữa học kì 2 (HK2) lớp 12 môn Toán năm 2022 2023 trường THPT Xuân Vân Tuyên Quang

Đề thi giữa học kì 2 (HK2) lớp 12 môn Toán năm 2022 2023 trường THPT Xuân Vân Tuyên Quang

Nội dung Đề thi giữa học kì 2 (HK2) lớp 12 môn Toán năm 2022 2023 trường THPT Xuân Vân Tuyên Quang Bản PDF

Đề thi giữa học kỳ 2 (HK2) năm 2022-2023 môn Toán lớp 12 trường THPT Xuân Vân, Tuyên Quang

Chúng tôi xin trân trọng giới thiệu đến quý thầy cô và các em học sinh lớp 12 đề kiểm tra giữa học kỳ 2 môn Toán năm học 2022-2023 của trường THPT Xuân Vân, tỉnh Tuyên Quang.

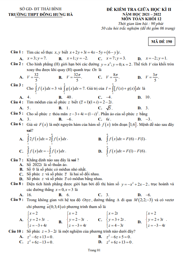
Chi tiết đề thi:

1. Cho hình trụ có đáy là hai hình tròn (O) và (O′), thiết diện qua trục của hình trụ là một hình vuông. Gọi A, B lần lượt là hai điểm nằm trên hai đường tròn (O) và (O′). Biết AB = a√2 và khoảng cách giữa hai đường thẳng AB và OO′ bằng 3√2a. Hãy tính bán kính đáy của hình trụ.

2. Trên mặt phẳng tọa độ, tập hợp điểm biểu diễn số phức thỏa mãn là một đường tròn. Tìm tọa độ của tâm của đường tròn đó.

3. Cho hàm số liên tục trên R. Gọi là diện tích hình phẳng giới hạn bởi các đường và (như hình vẽ). Mệnh đề nào dưới đây đúng?

File WORD bài thi đã được chuẩn bị sẵn sàng để tải về và sử dụng. Chúc quý thầy cô và các em học sinh có kỳ thi giữa kỳ 2 môn Toán suôn sẻ và thành công!

Bình luận (0)
Nhấn vào đây để đánh giá
Thông tin người gửi
3.63594 sec| 2406.391 kb