Đề thi học kì 1 (HK1) lớp 11 môn Toán năm 2019 2020 trường THPT Bà Điểm TP HCM

Đề thi học kì 1 (HK1) lớp 11 môn Toán năm 2019 2020 trường THPT Bà Điểm TP HCM
Mời thí sinh CLICK vào liên kết hoặc ảnh bên dưới Mở ứng dụng Shopee để tiếp tục làm bài thi
https://s.shopee.vn/AKN2JyAJAw
sytu.net và đội ngũ nhân viên xin chân thành cảm ơn!

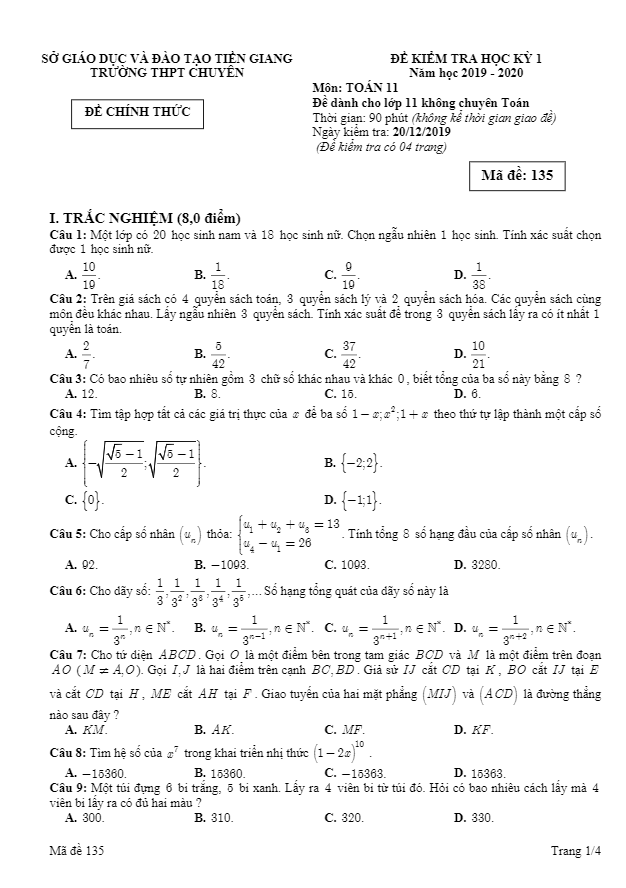
Nội dung Đề thi học kì 1 (HK1) lớp 11 môn Toán năm 2019 2020 trường THPT Bà Điểm TP HCM Bản PDF

Đề thi học kì 1 môn Toán lớp 11 năm 2019-2020 trường THPT Bà Điểm TP HCM

Đề thi kì thi cuối học kì 1 môn Toán lớp 11 là cơ hội quan trọng để các học sinh lớp 11 chứng minh kiến thức và kỹ năng của mình. Điểm số của kỳ thi này sẽ ảnh hưởng đến điểm trung bình môn Toán và xếp loại học lực của học sinh.

Để giúp học sinh chuẩn bị tốt cho kỳ thi học kì 1 Toán lớp 11, Sytu đã chọn lọc và chia sẻ đến các em bản PDF đề thi + đáp án/đáp số + lời giải chi tiết đề thi học kì 1 Toán lớp 11 năm học 2019-2020 trường THPT Bà Điểm, thành phố Hồ Chí Minh.

Một số câu hỏi trong đề thi đề cập đến các vấn đề như xác suất, cấp số cộng và hình học không gian. Ví dụ như tính xác suất để tổng của bốn số tự nhiên là số chẵn, xác định số hạng thứ bảy của cấp số cộng và tìm giao điểm của đường thẳng và mặt phẳng trong không gian.

Đề thi học kì 1 Toán lớp 11 năm 2019-2020 trường THPT Bà Điểm TP HCM không chỉ là bài kiểm tra mà còn là cơ hội để học sinh thể hiện năng lực và sự hiểu biết của mình. Hãy học kỹ các kiến thức và rèn luyện kỹ năng để đạt được kết quả tốt trong kỳ thi sắp tới!

Bình luận (4)

Hoàng Mai Ngọc Linh

Em rất phấn khích và hứng thú khi được tiếp cận tài liệu Đề thi học kì 1 lớp 11 môn Toán năm 2019 2020 của trường THPT Bà Điểm TP HCM. Chắc chắn đây sẽ là công cụ hữu ích giúp em nâng cao kiến thức và kỹ năng trong môn học này.

Trả lời.

???

Tôi thật sự rất cảm động khi thấy sự chuẩn bị kỹ càng của các thầy cô ở trường THPT Bà Điểm TP HCM khi công bố Đề thi học kì 1 lớp 11 môn Toán. Điều này giúp học sinh có điều kiện chuẩn bị tốt cho kỳ thi sắp tới.

Trả lời.

Akayana

Em cảm thấy rất vui và biết ơn vì có cơ hội tải về file pdf Đề thi học kì 1 lớp 11 môn Toán năm 2019 2020 của trường THPT Bà Điểm TP HCM. Đây chắc chắn sẽ là tài liệu hữu ích cho việc ôn tập của em.

Trả lời.

Quốc Pháp 7/6 ms:24 Ngô

Tôi rất phấn khích khi biết được có tài liệu Đề thi học kì 1 lớp 11 môn Toán của trường THPT Bà Điểm TP HCM năm 2019 2020 để giúp học sinh ôn tập hiệu quả.

Trả lời.
Nhấn vào đây để đánh giá
Thông tin người gửi
1.36438 sec| 2475.117 kb