Đề thi học kì 2 (HK2) lớp 12 môn Toán năm 2019 2020 trường THPT Cần Thạnh TP HCM

Đề thi học kì 2 (HK2) lớp 12 môn Toán năm 2019 2020 trường THPT Cần Thạnh TP HCM
Mời thí sinh CLICK vào liên kết hoặc ảnh bên dưới Mở ứng dụng Shopee để tiếp tục làm bài thi
https://s.shopee.vn/AKN2JyAJAw
sytu.net và đội ngũ nhân viên xin chân thành cảm ơn!

Nội dung Đề thi học kì 2 (HK2) lớp 12 môn Toán năm 2019 2020 trường THPT Cần Thạnh TP HCM Bản PDF

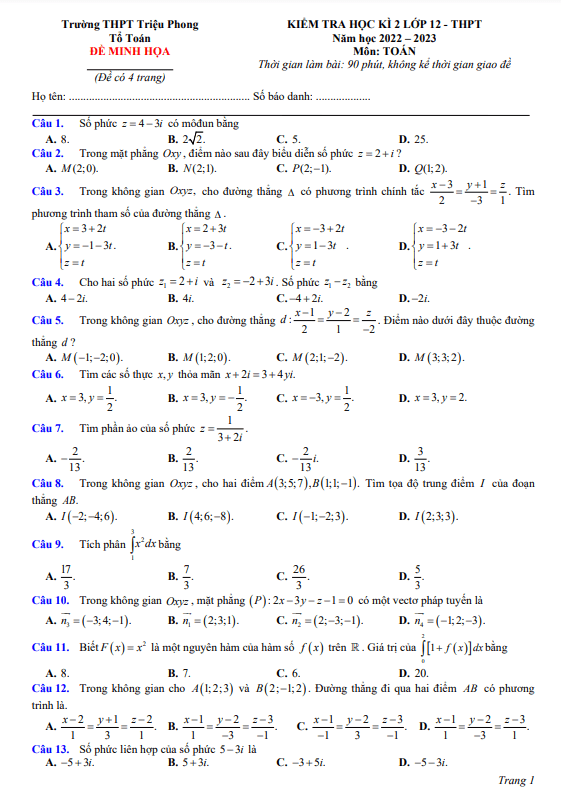
Đề thi học kì 2 Toán lớp 12 năm 2019 - 2020 trường THPT Cần Thạnh TP HCM

Đề thi học kì 2 Toán lớp 12 năm 2019 - 2020 trường THPT Cần Thạnh, TP HCM đã được Sytu giới thiệu đến quý thầy cô giáo và các em học sinh lớp 12. Đề thi bao gồm các câu hỏi mang tính toán học cao cấp và logic, cung cấp đáp án và lời giải chi tiết để học sinh tham khảo.

Trong đề thi, có câu hỏi về không gian Oxyz, mặt phẳng và điểm nằm ngoài mặt phẳng, câu hỏi về số phức và biểu diễn trên mặt phẳng tọa độ, cũng như câu hỏi về tính thể tích vật thể tròn xoay tạo thành khi quay hình phẳng xung quanh trục Ox.

Với việc giải các câu hỏi này, học sinh sẽ được thách thức về kiến thức Toán học và logic, từ đó rèn luyện tư duy logic và khả năng áp dụng kiến thức vào thực hành. Đề thi học kì 2 Toán lớp 12 năm 2019 - 2020 trường THPT Cần Thạnh TP HCM không chỉ là cơ hội để học sinh kiểm tra kiến thức mà còn là dịp để phát triển kỹ năng giải quyết vấn đề và tự tin trong việc giải bài toán.

Bình luận (0)
Nhấn vào đây để đánh giá
Thông tin người gửi
2.23655 sec| 2401.719 kb