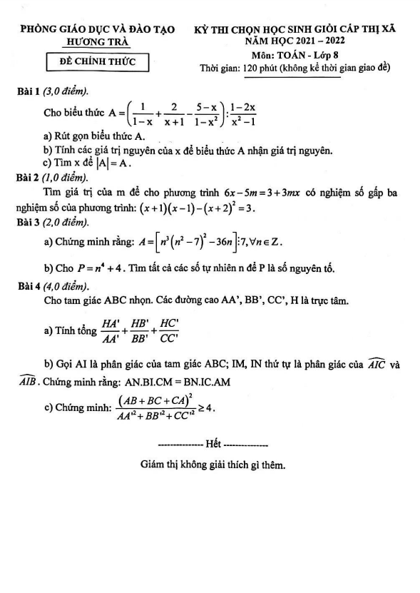
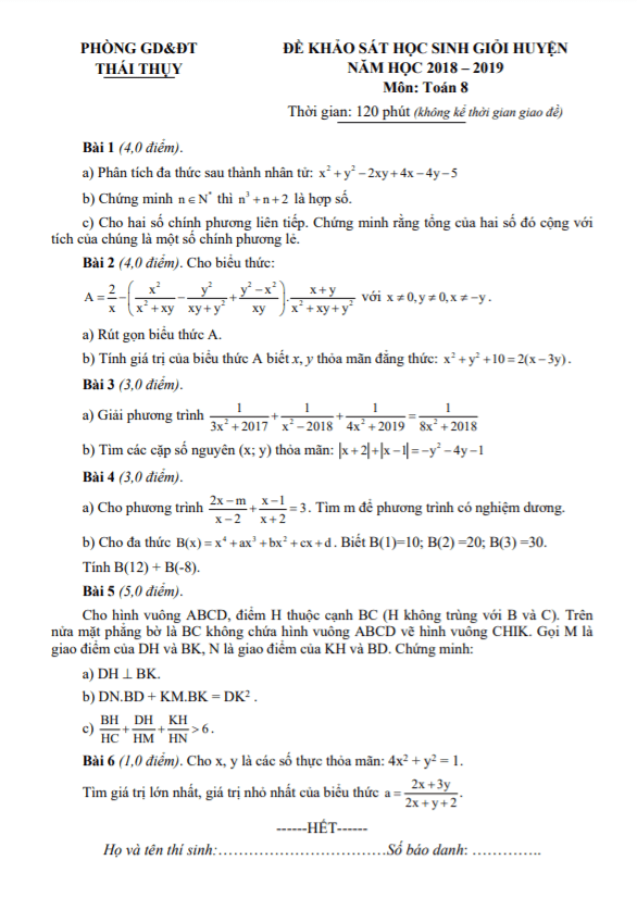
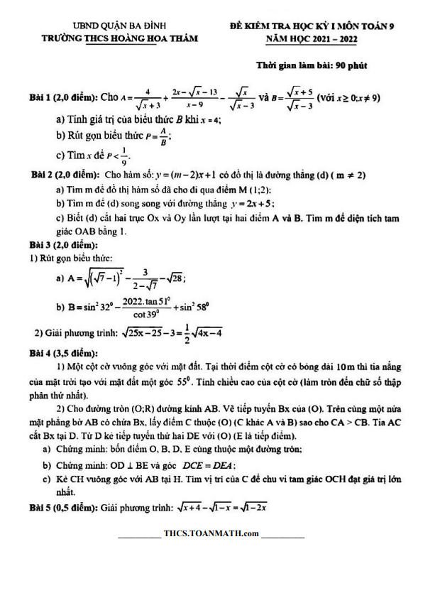
Đề thi HSG lớp 8 môn Toán năm 2018 2019 phòng GD ĐT thị xã Giá Rai Bạc Liêu

Đề thi HSG lớp 8 môn Toán năm 2018 2019 phòng GD ĐT thị xã Giá Rai Bạc Liêu
Mời thí sinh CLICK vào liên kết hoặc ảnh bên dưới Mở ứng dụng Shopee để tiếp tục làm bài thi
https://s.shopee.vn/AKN2JyAJAw
sytu.net và đội ngũ nhân viên xin chân thành cảm ơn!

Nội dung Đề thi HSG lớp 8 môn Toán năm 2018 2019 phòng GD ĐT thị xã Giá Rai Bạc Liêu Bản PDF

Đề thi HSG Toán lớp 8 năm 2018 - 2019 phòng GD&ĐT thị xã Giá Rai - Bạc Liêu

Sytu hân hạnh giới thiệu đến quý thầy cô và các em học sinh đề thi HSG môn Toán lớp 8 năm 2018 - 2019 của phòng GD&ĐT thị xã Giá Rai - Bạc Liêu. Đề thi này bao gồm đáp án, lời giải chi tiết và hướng dẫn chấm điểm, giúp các em học sinh ôn tập và chuẩn bị tốt cho kì thi sắp tới.

Bình luận (5)

Nguyễn Thị Như Diệu

Tôi phấn khích và háo hức khi thấy tài liệu Đề thi HSG lớp 8 môn Toán năm 2018 2019. Cảm ơn những người đã dành thời gian và công sức để biên soạn và chia sẻ tài liệu này.

Trả lời.

Hằng Phạm

Em không thể tin vào may mắn khi có thể tải về Đề thi HSG lớp 8 môn Toán năm 2018 2019 từ phòng GD ĐT thị xã Giá Rai Bạc Liêu. Điều này thật sự là một nguồn thông tin quý báu cho việc ôn tập.

Trả lời.

nguyễn thị hòa

Tôi cảm ơn người đã chia sẻ tài liệu Đề thi HSG lớp 8 môn Toán năm 2018 2019 phòng GD ĐT thị xã Giá Rai Bạc Liêu. Điều này giúp học sinh có thêm tài liệu tham khảo và rèn luyện kỹ năng làm bài.

Trả lời.

Đặng Khánh Linh

Em thấy hồi hộp khi tìm thấy file PDF của Đề thi HSG lớp 8 môn Toán năm 2018 2019. Cơ hội này giúp em rèn luyện kỹ năng và chuẩn bị cho kì thi sắp tới.

Trả lời.

Lam

Tôi rất vui khi thấy có tài liệu Đề thi HSG lớp 8 môn Toán năm 2018 2019 của phòng GD ĐT thị xã Giá Rai Bạc Liêu được chia sẻ. Đây là cơ hội tuyệt vời để học sinh tự test kiến thức của mình.

Trả lời.
Nhấn vào đây để đánh giá
Thông tin người gửi
6.76864 sec| 2473.008 kb