Đề Toán tuyển sinh năm 2019 2020 sở GD ĐT thành phố Hồ Chí Minh

Đề Toán tuyển sinh năm 2019 2020 sở GD ĐT thành phố Hồ Chí Minh
Mời thí sinh CLICK vào liên kết hoặc ảnh bên dưới Mở ứng dụng Shopee để tiếp tục làm bài thi
https://s.shopee.vn/AKN2JyAJAw
sytu.net và đội ngũ nhân viên xin chân thành cảm ơn!

Nội dung Đề Toán tuyển sinh năm 2019 2020 sở GD ĐT thành phố Hồ Chí Minh Bản PDF

Đề Toán tuyển sinh năm 2019 2020 sở GD ĐT thành phố Hồ Chí Minh

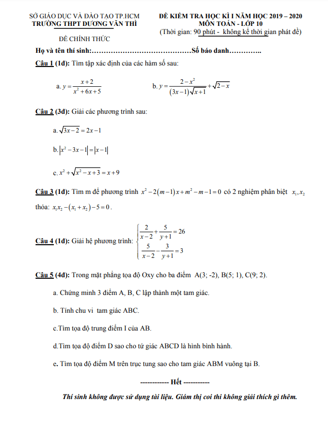
Sáng thứ Hai ngày 03 tháng 06 năm 2019, sở Giáo dục và Đào tạo thành phố Hồ Chí Minh (TP HCM) đã tổ chức kỳ thi tuyển sinh vào lớp 10 THPT môn Toán năm học 2019 – 2020. Đề Toán tuyển sinh lớp 10 năm 2019 – 2020 sở GD&ĐT thành phố Hồ Chí Minh bao gồm 2 trang với 8 bài toán dạng tự luận. Thời gian làm bài cho học sinh là 120 phút. Các đáp án và lời giải chi tiết của đề Toán tuyển sinh này sẽ được Sytu cập nhật sớm nhất có thể.

Một số nội dung trong đề Toán tuyển sinh năm 2019 – 2020 sở GD&ĐT thành phố Hồ Chí Minh bao gồm:

1. Xác định ngày thứ trong tuần dựa trên quy tắc tính toán giữa ngày, tháng và năm.

2. Tính áp suất nước dưới mặt nước biển theo độ sâu và áp suất khí quyển.

3. Tính chi phí chuyến đi của một nhóm học sinh khi có sự thay đổi về số người tham gia và chi phí.

Các bài toán trong đề Toán tuyển sinh này đòi hỏi học sinh có kiến thức sâu rộng và khả năng áp dụng lý thuyết vào thực tế. Đây là cơ hội để các em thí sinh thể hiện khả năng tư duy logic, tính toán chính xác và khả năng giải quyết vấn đề.

Qua đó, đề Toán tuyển sinh năm 2019 – 2020 sở GD&ĐT thành phố Hồ Chí Minh không chỉ đánh giá kiến thức mà còn khuyến khích học sinh phát triển kỹ năng toán học và tư duy logic, từ đó nâng cao năng lực và hiểu biết của các em trong môn Toán.

Bình luận (5)

Đó Ai

Em vui mừng vì đã có thể tiếp cận với nguồn tài liệu chất lượng như vậy, cảm ơn người đã chia sẻ tài liệu này

Trả lời.

Minh Hà

Tôi hứng khởi khi thấy có thể tải về file pdf của đề Toán tuyển sinh, giúp tôi luyện tập dễ dàng hơn

Trả lời.

Trần Vượng

Em rất cảm động vì có thể tìm thấy tài liệu này, giúp em chuẩn bị tốt cho kỳ thi sắp tới

Trả lời.

Thanh Truc

Tôi không thể không biết ơn với người đã tổng hợp và chia sẻ tài liệu đề Toán này, giúp đỡ nhiều cho các học sinh

Trả lời.

Nguyễn Thị Mai Anh

Em cảm thấy rất vui vì có thể tìm thấy đề Toán tuyển sinh năm 2019 2020 của sở GD ĐT thành phố Hồ Chí Minh, giúp em ôn luyện tốt hơn

Trả lời.
Nhấn vào đây để đánh giá
Thông tin người gửi
1.12456 sec| 2476.977 kb