Đề tuyển sinh môn Toán (chuyên) năm 2022 2023 sở GD ĐT Quảng Bình

Đề tuyển sinh môn Toán (chuyên) năm 2022 2023 sở GD ĐT Quảng Bình
Mời thí sinh CLICK vào liên kết hoặc ảnh bên dưới Mở ứng dụng Shopee để tiếp tục làm bài thi
https://s.shopee.vn/AKN2JyAJAw
sytu.net và đội ngũ nhân viên xin chân thành cảm ơn!

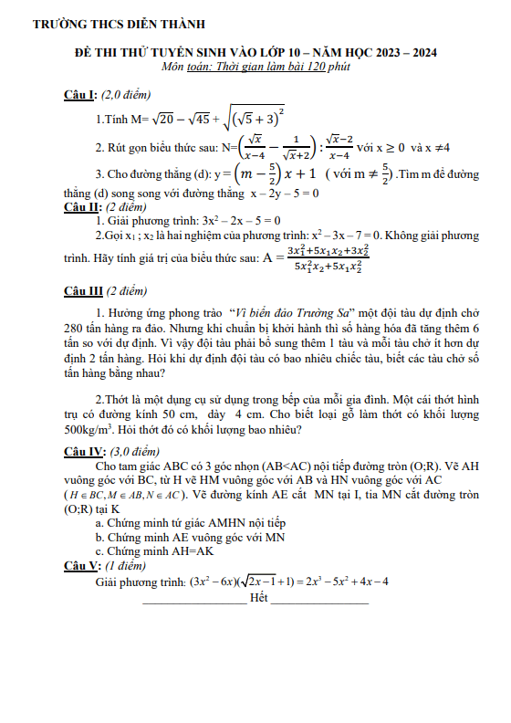
Nội dung Đề tuyển sinh môn Toán (chuyên) năm 2022 2023 sở GD ĐT Quảng Bình Bản PDF

Đề tuyển sinh môn Toán (chuyên) năm 2022-2023 sở GD ĐT Quảng Bình

Chào mừng quý thầy, cô giáo và các em học sinh lớp 9! Trong bài viết này, chúng tôi xin giới thiệu đến quý vị đề thi chính thức của kỳ thi tuyển sinh vào lớp 10 Trung học Phổ thông môn Toán (chuyên) năm học 2022-2023 của sở Giáo dục và Đào tạo tỉnh Quảng Bình. Kỳ thi dự kiến sẽ diễn ra vào ngày 07 tháng 06 năm 2022.

Đề thi bao gồm các câu hỏi đa dạng và phong phú, kèm theo đáp án, lời giải chi tiết và thang điểm chấm. Một số câu hỏi mẫu trong đề tuyển sinh như sau:

  • Cho tam giác ABC nội tiếp đường tròn (O). Gọi E, F lần lượt là trung điểm của AB, AC. Chứng minh tứ giác BCEF là hình chữ nhật.
  • Cho hàm số y = 2x^2 - 3x + 1. Tìm giá trị lớn nhất và nhỏ nhất của hàm số trên đoạn [0,2].

Đề tuyển sinh này giúp các em học sinh ôn tập kiến thức, rèn luyện kỹ năng và chuẩn bị tốt cho kỳ thi sắp tới. Chúc các em đạt kết quả tốt trong kỳ thi và đạt được nguyện vọng của mình trong tương lai.

Bình luận (5)

Nguyễn Thế Trình

Em cảm ơn Sở GD ĐT Quảng Bình đã tạo điều kiện cho học sinh có thêm tài liệu ôn tập qua việc chuẩn bị đề tuyển sinh Toán chuyên. Điều này thật sự đáng trân trọng.

Trả lời.

TổngLầu Hello

Tôi sẽ không bao giờ quên công lao của Sở GD ĐT Quảng Bình khi cung cấp tài liệu ôn thi Toán chuyên cho học sinh. Điều này thể hiện tinh thần trách nhiệm và quan tâm đến sự phát triển của các em.

Trả lời.

Nguyễn Thị Quỳnh Nga

Em thấy háo hức khi có cơ hội tải xuống file pdf của đề tuyển sinh Toán chuyên. Điều này giúp em có thêm nguồn tài liệu học tập để rèn luyện kỹ năng.

Trả lời.

Đậu đậu

Tôi hân hoan khi nhận thấy tài liệu 'Đề tuyển sinh môn Toán (chuyên) năm 2022 2023' đã được hoàn thiện và chia sẻ công khai. Đây là bước quan trọng để chuẩn bị cho kỳ thi quan trọng sắp tới.

Trả lời.

Huỳnh trà my

Em rất cảm động khi thấy cơ quan giáo dục chuẩn bị tài liệu công bố đề tuyển sinh cho môn Toán chuyên. Điều này chứng tỏ sự quan tâm đặc biệt đến học sinh.

Trả lời.
Nhấn vào đây để đánh giá
Thông tin người gửi
1.25877 sec| 2475.008 kb