Giải bài tập sách bài tập (SBT) toán lớp 7 tập 1 kết nối tri thức
CHƯƠNG I: SỐ HỮU TỈ
- Giải bài tập sách bài tập (SBT) bài 1: Tập hợp các số hữu tỉ
- Giải bài tập sách bài tập (SBT) bài 2: Cộng, trừ, nhân, chia số hữu tỉ
- Giải bài tập sách bài tập (SBT) bài 3: Lũy thừa với số mũ tự nhiên của một số hữu tỉ
- Giải bài tập sách bài tập (SBT) bài 4: Thứ tự thực hiện các phép tính. Quy tắc chuyển vế
- Giải bài tập sách bài tập (SBT) bài: Ôn tập chương 1
CHƯƠNG II: SỐ THỰC
- Giải bài tập sách bài tập (SBT) bài 5: Làm quen với số thập phân vô hạn tuần hoàn
- Giải bài tập sách bài tập (SBT) bài 6: Số vô tỉ. Căn bậc hai số học
- Giải bài tập sách bài tập (SBT) toán lớp 7 Kết nối tri thức bài 7 Tập hợp các số thực
- Giải bài tập sách bài tập (SBT) toán lớp 7 Kết nối tri thức Ôn tập chương II
CHƯƠNG III: GÓC VÀ ĐƯỜNG THẲNG SONG SONG
- Giải bài tập sách bài tập (SBT) toán lớp 7 Kết nối tri thức bài 8 Góc ở vị trí đặc biệt. Tia phân giác của một góc
- Giải bài tập sách bài tập (SBT) toán lớp 7 Kết nối tri thức bài 9 Hai đường thẳng song song và dấu hiệu nhận biết
- Giải bài tập sách bài tập (SBT) toán lớp 7 Kết nối tri thức bài 10 Tiên đề Euclid. Tính chất của hai đường thẳng song song
- Giải bài tập sách bài tập (SBT) toán lớp 7 Kết nối tri thức bài 11 Định lí và chứng minh định lí
- Giải bài tập sách bài tập (SBT) toán lớp 7 Kết nối tri thức Ôn tập chương III
CHƯƠNG IV: TAM GIÁC BẰNG NHAU
- Giải bài tập sách bài tập (SBT) toán lớp 7 Kết nối tri thức bài 12 Tổng các góc trong một tam giác
- Giải bài tập sách bài tập (SBT) toán lớp 7 Kết nối tri thức bài 13 Hai tam giác bằng nhau. Trường hợp bằng nhau thứ nhất của tam giác
- Giải bài tập sách bài tập (SBT) toán lớp 7 Kết nối tri thức bài 14 Trường hợp bằng nhau thứ hai và thứ ba của tam giác
- Giải bài tập sách bài tập (SBT) toán lớp 7 Kết nối tri thức bài 15 Các trường hợp bằng nhau của tam giác vuông
- Giải bài tập sách bài tập (SBT) toán lớp 7 Kết nối tri thức bài 16 Tam giác cân. Đường trung trực của đoạn thẳng
- Giải bài tập sách bài tập (SBT) toán lớp 7 Kết nối tri thức Ôn tập chương IV
CHƯƠNG V: THU THẬP VÀ BIỂU DIỄN DỮ LIỆU
- Giải bài tập sách bài tập (SBT) toán lớp 7 Kết nối tri thức bài 17 Thu thập và phân loại dữ liệu
- Giải bài tập sách bài tập (SBT) toán lớp 7 Kết nối tri thức bài 18 Biểu đồ hình quạt tròn
- Giải bài tập sách bài tập (SBT) toán lớp 7 Kết nối tri thức bài 19 Biểu đồ hình đoạn thẳng
- Giải bài tập sách bài tập (SBT) toán lớp 7 Kết nối tri thức bài 19 Biểu đồ đoạn thẳng
- Giải bài tập sách bài tập (SBT) toán lớp 7 Kết nối tri thức Ôn tập chương V
Giải bài tập sách bài tập (SBT) bài 4: Thứ tự thực hiện các phép tính. Quy tắc chuyển vế
Mời thí sinh CLICK vào liên kết hoặc ảnh bên dưới
Mở ứng dụng Shopee để tiếp tục làm bài thi
https://s.shopee.vn/AKN2JyAJAw
https://s.shopee.vn/AKN2JyAJAw
sytu.net và đội ngũ nhân viên xin chân thành cảm ơn!
Hướng dẫn giải bài 4 trong sách bài tập "Thứ tự thực hiện các phép tính"
Trong bài tập này, chúng ta sẽ tìm hiểu về quy tắc chuyển vế trong các phép tính toán. Đây là một khái niệm quan trọng giúp chúng ta thực hiện các phép tính một cách chính xác và hiệu quả.
Quy tắc chuyển vế rất đơn giản, chúng ta chỉ cần thực hiện các phép tính từ trái sang phải, theo thứ tự ưu tiên của các phép toán. Đầu tiên là tính nhân chia, sau đó đến cộng trừ.
Với cách hướng dẫn chi tiết và ví dụ minh họa trong sách bài tập này, hy vọng các em sẽ hiểu rõ và áp dụng được quy tắc chuyển vế vào thực hành. Chúc các em học tốt!
Bài tập và hướng dẫn giải
1.27. Tính giá trị của biểu thức sau khi bỏ dấu ngoặc:

Trả lời: Cách làm:Để tính giá trị của biểu thức sau khi bỏ dấu ngoặc, chúng ta cần thực hiện các bước sau:1.... Xem hướng dẫn giải chi tiết
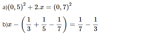
1.28. Tìm x, biết:

Trả lời: Để tìm x trong bài toán này, chúng ta cần biết điều kiện hoặc phương trình mà x phải thỏa mãn. Sau... Xem hướng dẫn giải chi tiết
1.30. Tìm x, biết:

Trả lời: Cách làm:Bước 1: Gọi x là số cần tìmBước 2: Theo đề bài, ta có phương trình: 1.30x = 0.78Bước 3:... Xem hướng dẫn giải chi tiết
1.31. Hãy viết một đẳng thức để mô tả tính trạng khi cân thăng bằng rồi tính khối lượng của quả bí đỏ (H.14)

Trả lời: Cách 1: - Gọi khối lượng của quả bí đỏ cần tìm là x (kg).- Khi cân thăng bằng, tổng khối lượng 2 bên... Xem hướng dẫn giải chi tiết
Giải bài tập liên quan khác
Giải bài tập sách giáo khoa (SGK) lớp 7 kết nối tri thức
- Giải bài tập toán lớp 7 tập 1 kết nối tri thức
- Giải bài tập toán lớp 7 tập 2 kết nối tri thức
- Soạn văn lớp 7 tập 1 kết nối tri thức
- Soạn văn lớp 7 tập 2 kết nối tri thức
- Văn mẫu lớp 7 kết nối tri thức
- Giải bài tập khoa học tự nhiên lớp 7 kết nối tri thức
- Giải bài tập vật lí lớp 7 kết nối tri thức
- Giải bài tập hóa học lớp 7 kết nối tri thức
- Giải bài tập sinh học lớp 7 kết nối tri thức
- Giải bài tập lịch sử và địa lí lớp 7 kết nối tri thức
- Giải bài tập lịch sử lớp 7 kết nối tri thức
- Giải bài tập địa lí lớp 7 kết nối tri thức
- Giải bài tập hoạt động trải nghiệm lớp 7 kết nối tri thức
- Giải bài tập mĩ thuật lớp 7 kết nối tri thức
- Giải bài tập âm nhạc lớp 7 kết nối tri thức
- Giải bài tập công dân lớp 7 kết nối tri thức
- Giải bài tập công nghệ lớp 7 kết nối tri thức
- Giải bài tập tin học lớp 7 kết nối tri thức
- Giải bài tập giáo dục thể chất lớp 7 kết nối tri thức
Giải bài tập sách giáo khoa (SGK) lớp 7 chân trời sáng tạo
- Giải bài tập toán lớp 7 tập 1 chân trời sáng tạo
- Giải bài tập toán lớp 7 tập 2 chân trời sáng tạo
- Soạn văn lớp 7 tập 1 chân trời sáng tạo
- Soạn văn lớp 7 tập 2 chân trời sáng tạo
- Văn mẫu lớp 7 chân trời sáng tạo
- Giải bài tập khoa học tự nhiên lớp 7 chân trời sáng tạo
- Giải bài tập vật lí lớp 7 chân trời sáng tạo
- Giải bài tập hóa học lớp 7 chân trời sáng tạo
- Giải bài tập sinh học lớp 7 chân trời sáng tạo
- Giải bài tập lịch sử và địa lí lớp 7 chân trời sáng tạo
- Giải bài tập lịch sử lớp 7 chân trời sáng tạo
- Giải bài tập địa lí lớp 7 chân trời sáng tạo
- Giải bài tập hoạt động trải nghiệm lớp 7 chân trời sáng tạo
- Giải bài tập âm nhạc lớp 7 chân trời sáng tạo
- Giải bài tập mĩ thuật lớp 7 chân trời sáng tạo
- Giải bài tập công dân lớp 7 chân trời sáng tạo
- Giải bài tập tin học lớp 7 chân trời sáng tạo
- Giải bài tập công nghệ lớp 7 chân trời sáng tạo
- Giải bài tập giáo dục thể chất lớp 7 chân trời sáng tạo
Giải bài tập sách giáo khoa (SGK) lớp 7 cánh diều
- Giải bài tập toán lớp 7 tập 1 cánh diều
- Giải bài tập toán lớp 7 tập 2 cánh diều
- Soạn văn lớp 7 tập 1 cánh diều
- Soạn văn lớp 7 tập 2 cánh diều
- Văn mẫu lớp 7 cánh diều
- Giải bài tập khoa học tự nhiên lớp 7 cánh diều
- Giải bài tập vật lí lớp 7 cánh diều
- Giải bài tập hóa học lớp 7 cánh diều
- Giải bài tập sinh học lớp 7 cánh diều
- Giải bài tập lịch sử và địa lí lớp 7 cánh diều
- Giải bài tập lịch sử lớp 7 cánh diều
- Giải bài tập địa lí lớp 7 cánh diều
- Giải bài tập hoạt động trải nghiệm lớp 7 cánh diều
- Giải bài tập âm nhạc lớp 7 cánh diều
- Giải bài tập mĩ thuật lớp 7 cánh diều
- Giải bài tập tin học lớp 7 cánh diều
- Giải bài tập công dân lớp 7 cánh diều
- Giải bài tập công nghệ lớp 7 cánh diều
- Giải bài tập giáo dục thể chất lớp 7 cánh diều
Giải bài tập sách bài tập (SBT) lớp 7 kết nối tri thức
- Giải bài tập sách bài tập (SBT) ngữ văn lớp 7 tập 1 kết nối tri thức
- Giải bài tập sách bài tập (SBT) ngữ văn lớp 7 tập 2 kết nối tri thức
- Giải bài tập sách bài tập (SBT) toán lớp 7 tập 1 kết nối tri thức
- Giải bài tập sách bài tập (SBT) toán lớp 7 tập 2 kết nối tri thức
- Giải bài tập sách bài tập (SBT) khoa học tự nhiên lớp 7 kết nối tri thức
- Giải bài tập sách bài tập (SBT) lịch sử và địa lí lớp 7 kết nối tri thức
- Giải bài tập sách bài tập (SBT) công nghệ lớp 7 kết nối tri thức
- Giải bài tập sách bài tập (SBT) tin học lớp 7 kết nối tri thức
- Giải bài tập sách bài tập (SBT) công dân lớp 7 kết nối tri thức
- Giải bài tập sách bài tập (SBT) mĩ thuật lớp 7 kết nối tri thức
- Giải bài tập sách bài tập (SBT) hoạt động trải nghiệm lớp 7 kết nối tri thức
Giải bài tập sách bài tập (SBT) lớp 7 chân trời sáng tạo
- Giải bài tập sách bài tập (SBT) ngữ văn lớp 7 tập 1 chân trời sáng tạo
- Giải bài tập sách bài tập (SBT) ngữ văn lớp 7 tập 2 chân trời sáng tạo
- Giải bài tập sách bài tập (SBT) toán lớp 7 tập 1 chân trời sáng tạo
- Giải bài tập sách bài tập (SBT) toán lớp 7 tập 2 chân trời sáng tạo
- Giải bài tập sách bài tập (SBT) khoa học tự nhiên lớp 7 chân trời sáng tạo
- Giải bài tập sách bài tập (SBT) lịch sử và địa lí lớp 7 chân trời sáng tạo
- Giải bài tập sách bài tập (SBT) công nghệ lớp 7 chân trời sáng tạo
- Giải bài tập sách bài tập (SBT) tin học lớp 7 chân trời sáng tạo
- Giải bài tập sách bài tập (SBT) công dân lớp 7 chân trời sáng tạo
- Giải bài tập sách bài tập (SBT) mĩ thuật lớp 7 chân trời sáng tạo
- Giải bài tập sách bài tập (SBT) âm nhạc lớp 7 chân trời sáng tạo
- Giải bài tập sách bài tập (SBT) hoạt động trải nghiệm lớp 7 chân trời sáng tạo bản 1
- Giải bài tập sách bài tập (SBT) hoạt động trải nghiệm lớp 7 chân trời sáng tạo bản 2
Giải bài tập sách bài tập (SBT) lớp 7 cánh diều
- Giải bài tập sách bài tập (SBT) Ngữ văn lớp 7 tập 1 cánh diều
- Giải bài tập sách bài tập (SBT) Ngữ văn lớp 7 tập 2 cánh diều
- Giải bài tập sách bài tập (SBT) toán lớp 7 tập 1 cánh diều
- Giải bài tập sách bài tập (SBT) toán lớp 7 tập 2 cánh diều
- Giải bài tập sách bài tập (SBT) Khoa học tự nhiên lớp 7 cánh diều
- Giải bài tập sách bài tập (SBT) Lịch sử và địa lí lớp 7 cánh diều
- Giải bài tập sách bài tập (SBT) tin học lớp 7 cánh diều
- Giải bài tập sách bài tập (SBT) công dân lớp 7 cánh diều
- Giải bài tập sách bài tập (SBT) công nghệ lớp 7 cánh diều
- Giải bài tập sách bài tập (SBT) âm nhạc lớp 7 cánh diều
- Giải bài tập sách bài tập (SBT) Hoạt động trải nghiệm lớp 7 cánh diều