PHẦN MỞ ĐẦU
- Giải bài tập sách bài tập (SBT) sinh học lớp 10 chân trời sáng tạo bài 1 Giới thiệu khái quát chương trình môn sinh học
- Giải bài tập sách bài tập (SBT) sinh học lớp 10 chân trời sáng tạo bài 2 Các phương pháp nghiên cứu và học tập môn Sinh học
- Giải bài tập sách bài tập (SBT) sinh học lớp 10 chân trời sáng tạo bài 3 Các cấp độ tổ chức của thế giới sống
CHƯƠNG 1: THÀNH PHẦN HÓA HỌC CỦA TẾ BÀO
- Giải bài tập sách bài tập (SBT) sinh học lớp 10 chân trời sáng tạo bài 4 Khái quát về tế bào
- Giải bài tập sách bài tập (SBT) sinh học lớp 10 chân trời sáng tạo bài 5 Các nguyên tố hóa học và nước
- Giải bài tập sách bài tập (SBT) sinh học lớp 10 chân trời sáng tạo bài 6 Các phân tử sinh học trong tế bào
- Giải bài tập sách bài tập (SBT) sinh học lớp 10 chân trời sáng tạo bài 7 Thực hành: Xác định một số thành phần hóa học của tế bào
- Giải bài tập sách bài tập (SBT) sinh học lớp 10 chân trời sáng tạo bài Ôn tập chương 1
CHƯƠNG 2: CẤU TRÚC TẾ BÀO
- Giải bài tập sách bài tập (SBT) sinh học lớp 10 chân trời sáng tạo bài 8 Tế bào nhân sơ
- Giải bài tập sách bài tập (SBT) sinh học lớp 10 chân trời sáng tạo bài 9 Tế bào nhân thực
- Giải bài tập sách bài tập (SBT) sinh học lớp 10 chân trời sáng tạo bài 10 Thực hành Quan sát tế bào
- Giải bài tập sách bài tập (SBT) sinh học lớp 10 chân trời sáng tạo bài Ôn tập chương 2
CHƯƠNG 3: TRAO ĐỔI CHẤT VÀ CHUYỂN HÓA NĂNG LƯỢNG Ở TẾ BÀO
- Giải bài tập sách bài tập (SBT) sinh học lớp 10 chân trời sáng tạo bài 11 Vận chuyển các chất qua màng sinh chất
- Giải bài tập sách bài tập (SBT) sinh học lớp 10 chân trời sáng tạo bài 12 Thực hành Sự vận chuyển các chất qua màng sinh chất
- Giải bài tập sách bài tập (SBT) sinh học lớp 10 chân trời sáng tạo bài 13 Chuyển hóa vật chất và năng lượng trong tế bào
- Giải bài tập sách bài tập (SBT) sinh học lớp 10 chân trời sáng tạo bài 14 Thực hành Một số thí nghiệm về enzyme
- Giải bài tập sách bài tập (SBT) sinh học lớp 10 chân trời sáng tạo bài 15 Tổng hợp các chất và tích lũy năng lượng
- Giải bài tập sách bài tập (SBT) sinh học lớp 10 chân trời sáng tạo bài 16 Phân Giải bài tập các chất và Giải bài tập phóng năng lượng
- Giải bài tập sách bài tập (SBT) sinh học lớp 10 chân trời sáng tạo bài 17 Thông tin giữa các tế bào
- Giải bài tập sách bài tập (SBT) sinh học lớp 10 chân trời sáng tạo bài Ôn tập chương 3
CHƯƠNG 4: CHU KÌ TẾ BÀO, PHÂN BÀO VÀ CÔNG NGHỆ TẾ BÀO
- Giải bài tập sách bài tập (SBT) sinh học lớp 10 chân trời sáng tạo bài 18 Chu kỳ tế bào
- Giải bài tập sách bài tập (SBT) sinh học lớp 10 chân trời sáng tạo bài 19 Quá trình phân bào
- Giải bài tập sách bài tập (SBT) sinh học lớp 10 chân trời sáng tạo bài 20 Thực hành quan sát tiêu bản các kì phân bào nguyên phân và giảm phân
- Giải bài tập sách bài tập (SBT) sinh học lớp 10 chân trời sáng tạo bài 21 Công nghệ tế bào
- Giải bài tập sách bài tập (SBT) sinh học lớp 10 chân trời sáng tạo bài Ôn tập chương 4
CHƯƠNG 5: VI SINH VẬT VÀ ỨNG DỤNG
- Giải bài tập sách bài tập (SBT) sinh học lớp 10 chân trời sáng tạo bài 22 Khái quát về vi sinh vật
- Giải bài tập sách bài tập (SBT) sinh học lớp 10 chân trời sáng tạo bài 23 Thực hành: Một số phương pháp nghiên cứu vi sinh vật
- Giải bài tập sách bài tập (SBT) sinh học lớp 10 chân trời sáng tạo bài 24 Quá trình tổng hợp và phân Giải bài tập ở vi sinh vật
- Giải bài tập sách bài tập (SBT) sinh học lớp 10 chân trời sáng tạo bài 25 Sinh trưởng và sinh sản ở vi sinh vật
- Giải bài tập sách bài tập (SBT) sinh học lớp 10 chân trời sáng tạo bài 26 Công nghệ vi sinh vật
- Giải bài tập sách bài tập (SBT) sinh học lớp 10 chân trời sáng tạo bài 27 Ứng dụng vi sinh vật trong thực tiễn
- Giải bài tập sách bài tập (SBT) sinh học lớp 10 chân trời sáng tạo bài 28 Thực hành: Lên men
Giải bài tập sách bài tập (SBT) sinh học lớp 10 chân trời sáng tạo bài Ôn tập chương 4
https://s.shopee.vn/AKN2JyAJAw
Hướng dẫn giải bài: Ôn tập chương 4 - trang 64, 65 sách bài tập (SBT) sinh 10
Trong bài ôn tập chương 4, học sinh sẽ được hướng dẫn giải các bài tập trên trang 64 và 65 trong sách bài tập (SBT) sinh học lớp 10. Đây là một phần trong bộ sách "Chân trời sáng tạo" được thiết kế theo chương trình đổi mới của Bộ Giáo dục.
Qua cách hướng dẫn cụ thể và giải chi tiết, học sinh sẽ dễ dàng nắm bắt bài học, hiểu rõ hơn về nội dung của chương 4. Mong rằng, việc giải bài này sẽ giúp học sinh củng cố kiến thức và tự tin hơn khi kiểm tra kiến thức. Hãy cùng học và rèn luyện kỹ năng giải bài tập để đạt kết quả tốt nhất!
Bài tập và hướng dẫn giải
1. Sự kiểm soát chu kì tế bào bằng hệ thống phân tử trong tế bào chất đã được chứng minh thông qua thí nghiệm của Potu Rao và Robert Johnson được thực hiện vào năm 1970 (Hình 1).
- Thí nghiệm 1: Lấy tế bào đang ở pha S cho dung hợp với tế bào đang ở pha G1.
- Thí nghiệm 2: Lấy tế bào đang ở pha M cho dung hợp với tế bào đang ở pha G1

a) Hãy mô tả kết quả thí nghiệm và giải thích.
b) Một nhà khoa học đem dung hợp một tế bào đang ở pha G2 với một tế bào đang ở pha M với mong muốn tế bào ở pha M ngừng nguyên phân. Theo em, mong muốn của nhà khoa học đó có đạt được không? Giải thích.
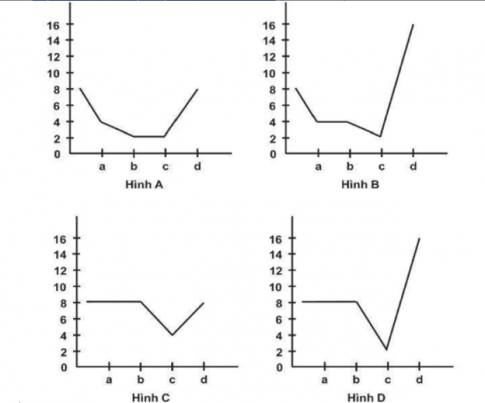
2. Một tế bào sinh dục ở loài ruồi giấm có bộ nhiễm sắc thể 2n = 8, tiến hành nguyên phân hai lần, các tế bào con được tạo ra tiếp tục đi vào quá trình giảm phân. Một trong số các giao tử tạo ra được thụ tinh để tạo hợp tử. Sơ đồ nào sau đây biểu thị sự thay đổi về số lượng nhiễm sắc thể trong tế bào nói trên?

3. Ung thư là bệnh liên quan đến việc tăng sinh tế bào một các mất kiểm soát và có khả năng xâm lấn sang những mô kế cận hoặc di chuyển đến những bộ phận khác trong cơ thể (di căn). Hãy cho biết đặc điểm nào sau đây là đặc điểm của khối u ác tính và giải thích tại sao.
A. Tăng sinh liên tục ngay khi có tín hiệu kiểm soát | B. Tăng sinh tế bào khi có tín hiệu |
C. Tăng sinh tế bào khi không có tín hiệu phù hợp | D. Tế bào không thể phân chia |
E. Tránh được quá trình chết theo chương trình | F. Kích thích hình thành mạch máu |
G. Tế bào có thể phân chia vô hạn nhiều lần | H. Chết theo chương trình |
I. Tăng liên tục khi mất tín hiểu kiểm soát | J. Xâm lấn mô lân cận và di căn |
4. Hãy cho biết ứng dụng nào sau đây là ứng dụng của công nghệ tế bào. Giải thích.
A. Tạo giống cà chua bất hoạt gene chín quả.
B. Tạo giống cây lưỡng bội đồng hợp tử về tất cả các gene.
C. Tạo giống lúa “gạo vàng” có khả năng tổng hợp β – caroten.
D. Tạo giống cừu sản sinh sữa có protein huyết tahnh của người.
5. Một tế bào có kiểu gene AaBb tiến hành giảm phân tạo giao tử. Tại kì giữa I, các nhiễm sắc thể kép xếp thành hai hàng trên mặt phẳng xích đạo của thoi phân bào. Hãy xác định hình nào mô tả đúng kì giữa I của quá trình giảm phân (mũi tên mô tả chiều phân li của các nhiễm sắc thể về hai cực tế bào). Giải thích.

Giải bài tập sách giáo khoa (SGK) 10 Kết nối tri thức
- Soạn văn lớp 10 tập 1 kết nối tri thức
- Soạn văn lớp 10 tập 2 kết nối tri thức
- Văn mẫu lớp 10 kết nối tri thức
- Giải bài tập toán lớp 10 tập 1 kết nối tri thức
- Giải bài tập toán lớp 10 tập 2 kết nối tri thức
- Giải bài tập vật lí lớp 10 kết nối tri thức
- Giải bài tập hóa học lớp 10 kết nối tri thức
- Giải bài tập sinh học lớp 10 kết nối tri thức
- Giải bài tập Địa lí lớp 10 kết nối tri thức
- Giải bài tập lịch sử lớp 10 kết nối tri thức
- Giải bài tập tin học lớp 10 kết nối tri thức
- Giải bài tập Âm nhạc lớp 10 kết nối tri thức
- Giải bài tập mĩ thuật lớp 10 kết nối tri thức
- Giải bài tập giáo dục kinh tế pháp luật lớp 10 kết nối tri thức
- Giải bài tập giáo dục quốc phòng an ninh lớp 10 kết nối tri thức
- Giải bài tập hoạt động trải nghiệm lớp 10 kết nối tri thức
- Giải bài tập thiết kế công nghệ lớp 10 kết nối tri thức
- Giải bài tập công nghệ trồng trọt lớp 10 kết nối tri thức
- Giải bài tập giáo dục thể chất lớp 10 kết nối tri thức
- Giải bài tập tiếng anh lớp 10 Global Success
Giải bài tập sách giáo khoa (SGK) 10 Chân trời sáng tạo
- Soạn văn lớp 10 tập 1 chân trời sáng tạo
- Soạn văn lớp 10 tập 2 chân trời sáng tạo
- Văn mẫu lớp 10 chân trời sáng tạo
- Giải bài tập toán lớp 10 tập 1 chân trời sáng tạo
- Giải bài tập toán lớp 10 tập 2 chân trời sáng tạo
- Giải bài tập vật lí lớp 10 chân trời sáng tạo
- Giải bài tập hóa học lớp 10 chân trời sáng tạo
- Giải bài tập sinh học lớp 10 chân trời sáng tạo
- Giải bài tập Địa lí lớp 10 chân trời sáng tạo
- Giải bài tập lịch sử lớp 10 chân trời sáng tạo
- Giải bài tập tin học lớp 10 chân trời sáng tạo
- Giải bài tập Âm nhạc lớp 10 chân trời sáng tạo
- Giải bài tập mĩ thuật lớp 10 chân trời sáng tạo
- Giải bài tập giáo dục kinh tế pháp luật lớp 10 chân trời sáng tạo
- Giải bài tập Hoạt động trải nghiệm, hướng nghiệp lớp 10 chân trời sáng tạo bản 1
- Giải bài tập Hoạt động trải nghiệm, hướng nghiệp lớp 10 chân trời sáng tạo bản 2
- Giải bài tập giáo dục quốc phòng an ninh lớp 10 chân trời sáng tạo
- Giải bài tập thiết kế công nghệ lớp 10 chân trời sáng tạo
- Giải bài tập công nghệ trồng trọt lớp 10 chân trời sáng tạo
- Giải bài tập giáo dục thể chất lớp 10 chân trời sáng tạo
- Giải bài tập tiếng anh lớp 10 Friends Global
Giải bài tập sách giáo khoa (SGK) 10 Cánh diều
- Soạn văn lớp 10 tập 1 cánh diều
- Soạn văn lớp 10 tập 2 cánh diều
- Văn mẫu lớp 10 cánh diều
- Giải bài tập toán lớp 10 tập 1 cánh diều
- Giải bài tập toán lớp 10 tập 2 cánh diều
- Giải bài tập vật lí lớp 10 cánh diều
- Giải bài tập hóa học lớp 10 cánh diều
- Giải bài tập sinh học lớp 10 cánh diều
- Giải bài tập Địa lí lớp 10 cánh diều
- Giải bài tập lịch sử lớp 10 cánh diều
- Giải bài tập tin học lớp 10 cánh diều
- Giải bài tập Âm nhạc lớp 10 cánh diều
- Giải bài tập mĩ thuật lớp 10 cánh diều
- Giải bài tập giáo dục kinh tế pháp luật lớp 10 cánh diều
- Giải bài tập giáo dục quốc phòng an ninh lớp 10 cánh diều
- Giải bài tập hoạt động trải nghiệm lớp 10 cánh diều
- Giải bài tập thiết kế công nghệ lớp 10 cánh diều
- Giải bài tập công nghệ trồng trọt lớp 10 cánh diều
- Giải bài tập giáo dục thể chất lớp 10 cánh diều
- Giải bài tập tiếng anh lớp 10 Explore new worlds
Giải bài tập sách bài tập (SBT) lớp 10 kết nối tri thức
- Giải bài tập sách bài tập (SBT) ngữ văn lớp 10 tập 1 kết nối tri thức
- Giải bài tập sách bài tập (SBT) ngữ văn lớp 10 tập 2 kết nối tri thức
- Giải bài tập sách bài tập (SBT) toán lớp 10 tập 1 kết nối tri thức
- Giải bài tập sách bài tập (SBT) toán lớp 10 tập 2 kết nối tri thức
- Giải bài tập sách bài tập (SBT) hóa học lớp 10 kết nối tri thức
- Giải bài tập sách bài tập (SBT) sinh học lớp 10 kết nối tri thức
- Giải bài tập sách bài tập (SBT) vật lí lớp 10 kết nối tri thức
- Giải bài tập sách bài tập (SBT) lịch sử lớp 10 kết nối tri thức
- Giải bài tập sách bài tập (SBT) địa lí lớp 10 kết nối tri thức
- Giải bài tập sách bài tập (SBT) tin học lớp 10 kết nối tri thức
- Giải bài tập sách bài tập (SBT) giáo dục kinh tế pháp luật lớp 10 kết nối tri thức
- Giải bài tập sách bài tập (SBT) giáo dục quốc phòng và an ninh lớp 10 kết nối tri thức
- Giải bài tập sách bài tập (SBT) hoạt động trải nghiệm lớp 10 kết nối tri thức
- Giải bài tập sách bài tập (SBT) tiếng anh lớp 10 Global success
Giải bài tập sách bài tập (SBT) lớp 10 chân trời sáng tạo
- Giải bài tập sách bài tập (SBT) ngữ văn lớp 10 tập 1 chân trời sáng tạo
- Giải bài tập sách bài tập (SBT) ngữ văn lớp 10 tập 2 chân trời sáng tạo
- Giải bài tập sách bài tập (SBT) toán lớp 10 tập 1 chân trời sáng tạo
- Giải bài tập sách bài tập (SBT) toán lớp 10 tập 2 chân trời sáng tạo
- Giải bài tập sách bài tập (SBT) hóa học lớp 10 chân trời sáng tạo
- Giải bài tập sách bài tập (SBT) sinh học lớp 10 chân trời sáng tạo
- Giải bài tập sách bài tập (SBT) vật lí lớp 10 chân trời sáng tạo
- Giải bài tập sách bài tập (SBT) lịch sử lớp 10 chân trời sáng tạo
- Giải bài tập sách bài tập (SBT) địa lí lớp 10 chân trời sáng tạo
- Giải bài tập sách bài tập (SBT) giáo dục kinh tế pháp luật lớp 10 chân trời sáng tạo
- Giải bài tập sách bài tập (SBT) giáo dục quốc phòng và an ninh lớp 10 chân trời sáng tạo
- Giải bài tập sách bài tập (SBT) hoạt động trải nghiệm lớp 10 chân trời sáng tạo bản 1
- Giải bài tập sách bài tập (SBT) hoạt động trải nghiệm lớp 10 chân trời sáng tạo bản 2
- Giải bài tập sách bài tập (SBT) tiếng anh lớp 10 Friends Global
Giải bài tập sách bài tập (SBT) lớp 10 Cánh diều
- Giải bài tập sách bài tập (SBT) ngữ văn lớp 10 tập 1 cánh diều
- Giải bài tập sách bài tập (SBT) ngữ văn lớp 10 tập 2 cánh diều
- Giải bài tập sách bài tập (SBT) toán lớp 10 tập 1 cánh diều
- Giải bài tập sách bài tập (SBT) toán lớp 10 tập 2 cánh diều
- Giải bài tập sách bài tập (SBT) hóa học lớp 10 cánh diều
- Giải bài tập sách bài tập (SBT) sinh học lớp 10 cánh diều
- Giải bài tập sách bài tập (SBT) vật lí lớp 10 cánh diều
- Giải bài tập sách bài tập (SBT) lịch sử lớp 10 cánh diều
- Giải bài tập sách bài tập (SBT) địa lí lớp 10 cánh diều
- Giải bài tập sách bài tập (SBT) tin học lớp 10 cánh diều
- Giải bài tập sách bài tập (SBT) giáo dục kinh tế pháp luật lớp 10 cánh diều
- Giải bài tập sách bài tập (SBT) hoạt động trải nghiệm lớp 10 cánh diều
- Giải bài tập sách bài tập (SBT) giáo dục quốc phòng và an ninh lớp 10 cánh diều
- Giải bài tập sách bài tập (SBT) tiếng anh lớp 10 Explore new world
Giải bài tập chuyên đề học tập 10 Kết nối tri thức
- Giải bài tập chuyên đề toán lớp 10 kết nối tri thức
- Giải bài tập chuyên đề ngữ văn lớp 10 kết nối tri thức
- Giải bài tập chuyên đề vật lí lớp 10 kết nối tri thức
- Giải bài tập chuyên đề hóa học lớp 10 kết nối tri thức
- Giải bài tập chuyên đề sinh học lớp 10 kết nối tri thức
- Giải bài tập chuyên đề lịch sử lớp 10 kết nối tri thức
- Giải bài tập chuyên đề địa lí lớp 10 kết nối tri thức
- Giải bài tập chuyên đề công nghệ trồng trọt lớp 10 kết nối tri thức
- Giải bài tập chuyên đề giáo dục kinh tế và pháp luật lớp 10 kết nối tri thức
- Giải bài tập chuyên đề tin học lớp 10 theo định hướng tin học ứng dụng kết nối tri thức
- Giải bài tập chuyên đề tin học lớp 10 theo định hướng khoa học máy tính kết nối tri thức
- Giải bài tập chuyên đề mĩ thuật lớp 10 kết nối tri thức
Giải bài tập chuyên đề học tập 10 Chân trời sáng tạo
- Giải bài tập chuyên đề toán lớp 10 chân trời sáng tạo
- Giải bài tập chuyên đề ngữ văn lớp 10 chân trời sáng tạo
- Giải bài tập chuyên đề vật lí lớp 10 chân trời sáng tạo
- Giải bài tập chuyên đề hóa học lớp 10 chân trời sáng tạo
- Giải bài tập chuyên đề sinh học lớp 10 chân trời sáng tạo
- Giải bài tập chuyên đề địa lí lớp 10 chân trời sáng tạo
- Giải bài tập chuyên đề lịch sử lớp 10 chân trời sáng tạo
- Giải bài tập chuyên đề giáo dục kinh tế và pháp luật lớp 10 chân trời sáng tạo
- Giải bài tập chuyên đề âm nhạc lớp 10 chân trời sáng tạo
Giải bài tập chuyên đề học tập 10 Cánh diều
- Giải bài tập chuyên đề toán lớp 10 cánh diều
- Giải bài tập chuyên đề ngữ văn lớp 10 cánh diều
- Giải bài tập chuyên đề vật lí lớp 10 cánh diều
- Giải bài tập chuyên đề hóa học lớp 10 cánh diều
- Giải bài tập chuyên đề sinh học lớp 10 cánh diều
- Giải bài tập chuyên đề địa lí lớp 10 cánh diều
- Giải bài tập chuyên đề lịch sử lớp 10 cánh diều
- Giải bài tập chuyên đề công nghệ trồng trọt lớp 10 cánh diều
- Giải bài tập chuyên đề giáo dục kinh tế và pháp luật lớp 10 cánh diều
- Giải bài tập chuyên đề tin học lớp 10 theo định hướng tin học ứng dụng cánh diều
- Giải bài tập chuyên đề tin học lớp 10 theo định hướng khoa học máy tính cánh diều
- Giải bài tập chuyên đề âm nhạc lớp 10 cánh diều