Giải và phân tích một số câu khó trong đề tham khảo môn toán THPT QG 2018 Lê Phúc Lữ

Giải và phân tích một số câu khó trong đề tham khảo môn toán THPT QG 2018 Lê Phúc Lữ

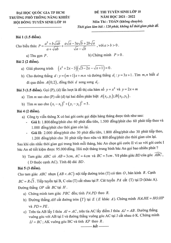
Nội dung Giải và phân tích một số câu khó trong đề tham khảo môn toán THPT QG 2018 Lê Phúc Lữ Bản PDF

Đề tham khảo môn toán THPT QG 2018 - Phân tích và giải các câu khó

Đề tham khảo môn toán THPT QG 2018 đã trở thành một thách thức đối với học sinh khá, giỏi khi đến với những câu hỏi từ câu 35 đến câu 50. Để giúp học sinh hiểu và đạt điểm cao trong bài thi, tài liệu này được biên soạn bởi thầy Lê Phúc Lữ với 14 trang phân tích tư duy, giải chi tiết và bình luận các bài toán khó.

Tài liệu cung cấp phân loại điểm 8 - 9 - 10 để học sinh có thể đánh giá được khả năng của mình. Ngoài việc giải chi tiết từng bài toán, tài liệu còn đưa ra các phân tích liên quan và đề xuất bài tập tương tự để học sinh tự ôn tập và rèn luyện điểm mạnh.

Bình luận (5)

Đình Minh

Tôi học toán cảm thấy vui hơn và tự tin hơn sau khi đọc tài liệu này. Cách giải và phân tích câu hỏi trong đề tham khảo rõ ràng và dễ hiểu. Tôi sẽ tiếp tục áp dụng những phương pháp này vào việc học của mình. Cảm ơn tác giả đã chia sẻ kiến thức bổ ích này!

Trả lời.

Nguyễn Trúc Vy

Em thấy vui và phấn khích khi tìm thấy tài liệu này, bởi nó giúp em rèn luyện kỹ năng giải toán và xử lý các câu hỏi khó một cách hiệu quả. Cảm ơn tác giả rất nhiều!

Trả lời.

Nguyễn Văn Minh

Tôi thật sự cảm động khi đọc những giải pháp chi tiết và logic trong tài liệu này. Đây là tài liệu rất hữu ích cho học sinh muốn nâng cao kiến thức toán học của mình.

Trả lời.

Lâm Quang Thuận

Em rất biết ơn tác giả đã tạo ra tài liệu này, nó giúp em hiểu rõ hơn về cách giải và phân tích một số câu khó trong đề toán. Em cảm thấy tự tin hơn khi học toán.

Trả lời.

MINH THƯ

Tôi rất phấn khích khi đọc tài liệu này vì nó giúp tôi giải được những câu hỏi khó trong đề tham khảo môn toán THPT QG 2018. Cảm giác thật tuyệt vời!

Trả lời.
Nhấn vào đây để đánh giá
Thông tin người gửi
0.98057 sec| 2473.82 kb