Tổng hợp đề thi giữa học kì 1 (HK1) môn Toán

Tổng hợp đề thi giữa học kì 1 (HK1) môn Toán
Mời thí sinh CLICK vào liên kết hoặc ảnh bên dưới Mở ứng dụng Shopee để tiếp tục làm bài thi
https://s.shopee.vn/AKN2JyAJAw
sytu.net và đội ngũ nhân viên xin chân thành cảm ơn!

Nội dung Tổng hợp đề thi giữa học kì 1 (HK1) môn Toán Bản PDF

Sản phẩm Tổng hợp đề thi giữa học kì 1 môn Toán

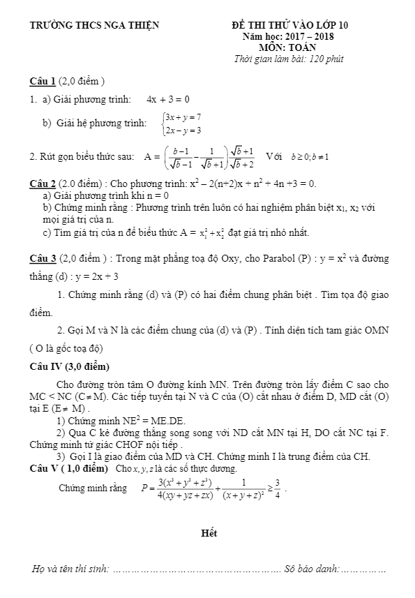
Tài liệu này bao gồm 23 trang tổng hợp các đề thi giữa học kì 1 môn Toán dành cho học sinh lớp 7. Các đề thi được thu thập từ các trường THCS và các phòng Giáo dục và Đào tạo tại thành phố Hồ Chí Minh. Mục lục chi tiết bao gồm: - Đề số 1 từ Phòng GD 4 - Đề số 2 từ Phòng GD Quận Tân Bình - Đề số 3 từ Phòng GD Quận Bình Tân Trường THCS LÊ TẤN BÊ - Đề số 4 từ Phòng GD Quận Bình Tân Trường THCS Lý Thường Kiệt - Đề số 5 từ Phòng GD Quận Bình Tân Trường THCS Lý Thường Kiệt - Đề số 6 từ Phòng GD Quận 1 Trường THCS Lương Thế Vinh - Đề số 7 từ Phòng GD Quận 3 Trường THCS NGÔ GIA TỰ - Đề số 8 từ Phòng GD Quận 5 Trường THCS BA ĐÌNH - Đề số 9 từ Phòng GD Quận 1 Trường THCS CHU VĂN AN - Đề số 10 từ Phòng GD Quận 3 Trường THCS COLETTE - Đề số 11 từ Phòng GD Quận 5 Trường THCS Hồng Bàng - Đề số 12 từ Phòng GD Quận 7 Trường THCS Huỳnh Tấn Phát - Đề số 13 từ Phòng GD Quận 3 Trường THCS KIM ĐỒNG - Đề số 14 từ Phòng GD Quận 3 Trường THCS KIM ĐỒNG - Đề số 15 từ UBND QUẬN TÂN BÌNH Trường THCS NGUYỄN GIA THIỀU - Đề số 16 từ UBND QUẬN TÂN BÌNH Trường THCS TRƯỜNG TRINH - Đề số 17 từ Phòng GD Quận 3 Trường THCS KIM ĐỒNG - Đề số 18 từ Phòng GD Huyện Hocmon Trường THCS ĐÔNG THẠNH

Bình luận (5)

2. Hồng Ánh 7.5 Trương Thị

Tôi rất cảm động vì đã có người chia sẻ tài liệu tổng hợp đề thi giữa kì 1 môn Toán. Điều này thật sự là một sự giúp đỡ đáng quý cho tất cả học sinh. Xin chân thành cảm ơn!

Trả lời.

makemovie

Em thực sự háo hức khi có thể tải về tài liệu tổng hợp đề thi Toán môn Toán. Điều này chắc chắn sẽ giúp em nâng cao kiến thức và tự tin hơn trong kỳ thi sắp tới.

Trả lời.

Nguyễn Lưu Nhật Ký

Tôi cảm thấy vui mừng khi thấy có tài liệu tổng hợp đề thi Toán giữa kì 1. Đây thực sự là một nguồn lực quý giá cho việc học tập của học sinh.

Trả lời.

Nguyễn Như Quỳnh

Em rất biết ơn người đã tổng hợp những đề thi này lại và chia sẻ cho mọi người. Điều này giúp em có cơ hội rèn luyện kỹ năng và kiến thức môn Toán một cách hiệu quả.

Trả lời.

Tho2k7 Phạm

Tôi thực sự rất phấn khích khi biết có tài liệu tổng hợp đề thi giữa học kì 1 môn Toán. Đây chắc chắn sẽ là nguồn tài liệu hữu ích giúp học sinh ôn tập và chuẩn bị tốt cho kì thi sắp tới.

Trả lời.
Nhấn vào đây để đánh giá
Thông tin người gửi
1.45571 sec| 2474.82 kb