Chuyên đề thực hiện phép tính bồi dưỡng học sinh giỏi lớp 6 môn Toán 7

Chuyên đề thực hiện phép tính bồi dưỡng học sinh giỏi lớp 6 môn Toán 7
Mời thí sinh CLICK vào liên kết hoặc ảnh bên dưới Mở ứng dụng Shopee để tiếp tục làm bài thi
https://s.shopee.vn/AKN2JyAJAw
sytu.net và đội ngũ nhân viên xin chân thành cảm ơn!

Nội dung Chuyên đề thực hiện phép tính bồi dưỡng học sinh giỏi lớp 6 môn Toán 7 Bản PDF

Sản phẩm Chuyên đề thực hiện phép tính bồi dưỡng học sinh giỏi lớp 6 môn Toán 7

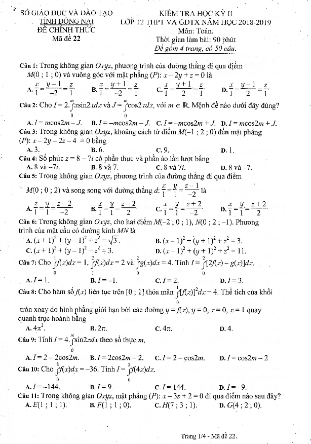
Tài liệu Chuyên đề thực hiện phép tính bồi dưỡng học sinh giỏi lớp 6 môn Toán 7 được biên soạn bởi tác giả Ngô Thế Hoàng, một giáo viên Toán tại trường THCS Hợp Đức, tỉnh Bắc Giang. Tài liệu gồm 37 trang và nhằm hướng dẫn giải các dạng toán chuyên đề trong phạm vi phép tính bồi dưỡng học sinh giỏi Toán lớp 6-7.

Chuyên đề này giúp các em học sinh khối lớp 6 và lớp 7 ôn tập kiến thức để chuẩn bị cho các kỳ thi chọn học sinh giỏi Toán lớp 6 và Toán lớp 7 cấp trường, cấp huyện và cấp tỉnh.

Các dạng câu hỏi trong tài liệu bao gồm:

  • Dạng 1: Rút gọn.
  • Dạng 2: Tính đơn giản.
  • Dạng 3: Tính tổng các số tự nhiên.
  • Dạng 4: Tính tổng của các phân số.
  • Dạng 5: Tính tổng của các số tự nhiên và số hạng tổng.
  • Dạng 6: Tính tổng theo công thức.
  • Dạng 7: Tính tích.
  • Dạng 8: Tính tổng với cùng số mũ.
  • Dạng 9: Tính tổng với cùng cơ số.
  • Dạng 10: Tính đơn giản.
  • Dạng 11: Tính tỉ số của hai tổng.
  • Dạng 12: Tính giá trị của biểu thức.

Tài liệu này rất phù hợp cho các em học sinh lớp 6 và lớp 7 muốn rèn luyện kỹ năng giải các bài toán phép tính bồi dưỡng học sinh giỏi Toán. Việc ôn tập thông qua các dạng toán trong tài liệu sẽ giúp các em nắm vững kiến thức và nâng cao khả năng giải toán của mình.

Bình luận (4)

bui hong phuc

Em đã tải file pdf về và không thể tin nổi đây là một nguồn tư liệu quý giá như vậy. Nó giúp em tự tin hơn trong việc học môn Toán và khám phá những khía cạnh mới mà trước đây em chưa biết. Cảm ơn tác giả rất nhiều!

Trả lời.

PhuongDiem

Tài liệu này thực sự là một cống hiến quý giá cho giáo dục, nó giúp tôi thấy được tầm quan trọng của việc giáo dục và bồi dưỡng những học sinh có năng khiếu. Cảm ơn tác giả và những người đã làm nên tài liệu này!

Trả lời.

trương anh thy

Em cảm thấy rất vui khi được tiếp cận với tài liệu này, nó giúp em hiểu rõ hơn về cách thực hiện phép tính bồi dưỡng học sinh giỏi. Em sẽ áp dụng những kiến thức này vào việc học của mình!

Trả lời.

Diệu Linh Nguyễn cao

Tôi rất phấn khích khi tìm thấy tài liệu này, nó giúp tôi có thêm nhiều ý tưởng và phương pháp để bồi dưỡng học sinh giỏi lớp 6 môn Toán. Cảm ơn tác giả đã chia sẻ kiến thức hữu ích này!

Trả lời.
Nhấn vào đây để đánh giá
Thông tin người gửi
1.55903 sec| 2474.977 kb