Đề chọn ĐT thi HSG tỉnh lớp 9 môn Toán năm 2022 2023 phòng GD ĐT Nghĩa Đàn Nghệ An

Đề chọn ĐT thi HSG tỉnh lớp 9 môn Toán năm 2022 2023 phòng GD ĐT Nghĩa Đàn Nghệ An

Nội dung Đề chọn ĐT thi HSG tỉnh lớp 9 môn Toán năm 2022 2023 phòng GD ĐT Nghĩa Đàn Nghệ An Bản PDF

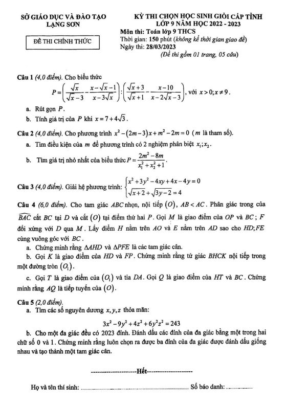
Đề chọn ĐT thi HSG tỉnh lớp 9 môn Toán năm 2022-2023

Sytu xin gửi đến quý thầy cô và các em học sinh lớp 9 đề thi chọn đội tuyển dự thi học sinh giỏi cấp tỉnh môn Toán lớp 9 năm học 2022-2023 phòng Giáo dục và Đào tạo huyện Nghĩa Đàn, tỉnh Nghệ An.

Trong đề chọn ĐT thi HSG tỉnh môn Toán lớp 9 năm 2022-2023 phòng GD&ĐT Nghĩa Đàn-Nghệ An, có các câu hỏi sau:

  1. Cho hai số tự nhiên a, b thỏa mãn 3a2 + a = 4b2 + b. Chứng minh a-b và 4a+4b+1 đều là số chính phương.
  2. Cho tam giác ABC nhọn (AB < AC). Đường tròn tâm I nội tiếp tam giác ABC lần lượt tiếp xúc với BC, CA, AB tại D, E, F. Gọi M là trung điểm của BC. Gọi N là giao điểm của ID và EF. Qua N kẻ đường thẳng song song với BC cắt AB, AC tại Q và P. Qua A kẻ đường thẳng song song với BC cắt EF tại K. a) Chứng minh IP = IQ. b) Chứng minh IAM = FKI. c) Chứng minh S, L, V là thẳng hàng.
  3. Cho p là số nguyên tố lớn hơn 5. Chứng minh rằng tồn tại một số có dạng 111...11 chia hết cho p.

Đây là những câu hỏi thú vị và quan trọng để phát triển khả năng giải bài toán logic và sáng tạo của các em học sinh. Chúc các em học sinh thành công trong việc giải quyết đề thi và đạt kết quả cao trong kì thi học sinh giỏi toán cấp tỉnh!

Bình luận (5)

Ngọc Nully

Em thực sự cảm động vì có người đã dành công sức để biên soạn tài liệu này, giúp học sinh có điều kiện tự học tập và phát triển khả năng của mình.

Trả lời.

Thanh Nguyen

Tôi cảm thấy vui vẻ và hứng thú khi được trải nghiệm với tài liệu ôn thi này, chắc chắn nó sẽ giúp tôi hoàn thành tốt bài thi.

Trả lời.

Nguyễn Thế Hiếu

Em rất phấn khích khi biết có tài liệu ôn thi như vậy, nó giúp em có thêm động lực để học tập và đạt kết quả cao trong kỳ thi HSG.

Trả lời.

Trần Thảo Đan

Tài liệu này thực sự là một cơ hội tốt để học sinh lớp 9 tự kiểm tra kiến thức của mình và chuẩn bị tốt cho kỳ thi sắp tới.

Trả lời.

Thi cam giang Nguyen

Em đã tải xuống file PDF của đề chọn ĐT thi HSG môn Toán và không thể tin được nó sẽ giúp em trở nên thành thạo hơn trong môn học này.

Trả lời.
Nhấn vào đây để đánh giá
Thông tin người gửi
0.78865 sec| 2475.445 kb