Đề tham khảo giữa học kì 2 (HK2) lớp 10 môn Toán năm 2023 2024 trường THPT Kỳ Anh Hà Tĩnh

Đề tham khảo giữa học kì 2 (HK2) lớp 10 môn Toán năm 2023 2024 trường THPT Kỳ Anh Hà Tĩnh

Nội dung Đề tham khảo giữa học kì 2 (HK2) lớp 10 môn Toán năm 2023 2024 trường THPT Kỳ Anh Hà Tĩnh Bản PDF

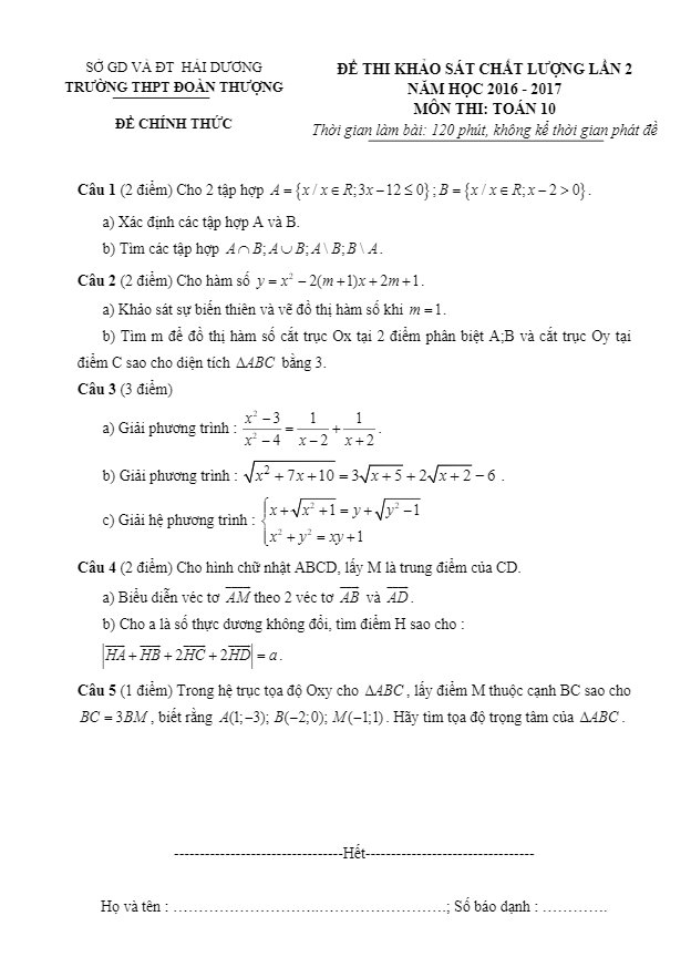
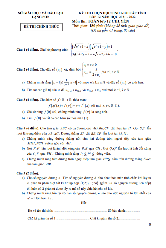
Đề tham khảo giữa học kì 2 (HK2) lớp 10 môn Toán năm 2023 2024 trường THPT Kỳ Anh Hà Tĩnh là bài kiểm tra quan trọng giúp học sinh tự kiểm tra kiến thức mình đã học và củng cố kỹ năng giải quyết bài tập. Đề thi được biên soạn theo cấu trúc mới nhất của Bộ Giáo dục và Đào tạo, gồm 3 phần: Câu trắc nghiệm nhiều phương án lựa chọn, Câu trắc nghiệm đúng sai và Câu trắc nghiệm trả lời ngắn.

Trong đề thi, có các bài toán thú vị như bài toán về việc tính toán vị trí gặp mặt giữa hai bạn Hùng và Minh trên đường đi học, bài toán về quãng đường máy bay bay từ Hà Nội đến Đà Nẵng hay bài toán về độ cao của một quả bóng khi được ném lên theo phương thẳng đứng.

Bằng cách giải các bài toán này, học sinh sẽ được rèn luyện kỹ năng suy luận, logic và có cơ hội áp dụng kiến thức toán học vào thực tế. Đề thi không chỉ đánh giá kiến thức mà còn khuyến khích học sinh tự tin, sáng tạo và phát triển tư duy toán học của mình.

Hy vọng rằng đề tham khảo sẽ giúp học sinh lớp 10 trường THPT Kỳ Anh Hà Tĩnh chuẩn bị tốt cho kỳ thi giữa học kì 2 và phát triển kỹ năng toán học của mình một cách toàn diện.
Bình luận (5)

Phạm Ngọc Anh

Em thực sự cảm động khi nhận được tài liệu đề tham khảo mới này. Đây sẽ là cơ hội tốt để em ôn tập và củng cố kiến thức. Cảm ơn nhà trường rất nhiều!

Trả lời.

Trần Võ Minh Hằng

Tôi không thể giấu được sự phấn khích khi thấy tài liệu đề tham khảo Toán lớp 10 năm 2023 2024. Mong rằng sẽ có nhiều tài liệu học tập hấp dẫn như vậy ở tương lai.

Trả lời.

Hà Gia Vỹ lớp 6a4

Em vô cùng hạnh phúc khi có cơ hội tham gia vào việc ôn tập với đề tham khảo này. Cảm ơn tác giả đã tạo điều kiện cho em có cơ hội nâng cao kiến thức.

Trả lời.

Nguyễn Khánh Linh

Tôi muốn bày tỏ lòng biết ơn sâu sắc đến người đã biên soạn tài liệu đề tham khảo này. Đây thực sự là một công việc tuyệt vời.

Trả lời.

Tuấn Lan Anh Bùi

Em cảm thấy rất vui khi có cơ hội tải về đề tham khảo Toán lớp 10 của trường THPT Kỳ Anh Hà Tĩnh. Điều này giúp em có thêm tài liệu ôn tập hiệu quả.

Trả lời.
Nhấn vào đây để đánh giá
Thông tin người gửi
0.85132 sec| 2476.477 kb