Đề thi HSG lớp 8 môn Toán cấp huyện năm 2015 2016 phòng GD ĐT Nam Trực Nam Định

Đề thi HSG lớp 8 môn Toán cấp huyện năm 2015 2016 phòng GD ĐT Nam Trực Nam Định
Mời thí sinh CLICK vào liên kết hoặc ảnh bên dưới Mở ứng dụng Shopee để tiếp tục làm bài thi
https://s.shopee.vn/AKN2JyAJAw
sytu.net và đội ngũ nhân viên xin chân thành cảm ơn!

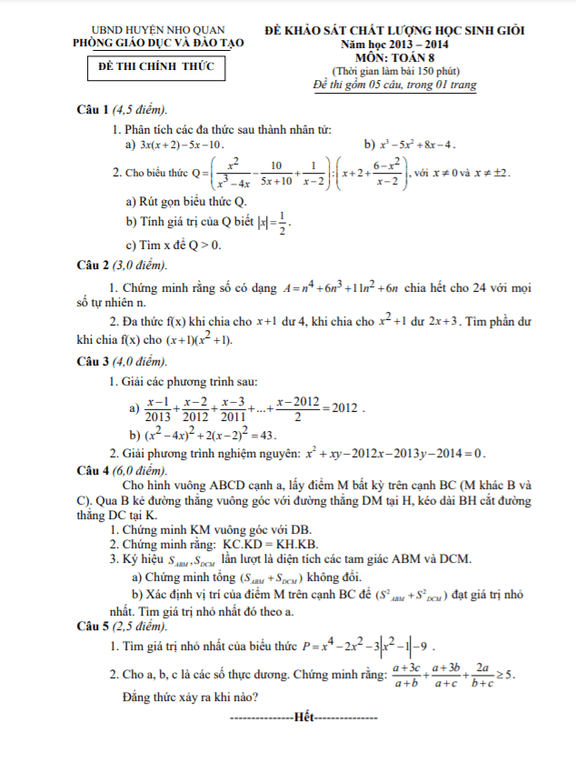
Nội dung Đề thi HSG lớp 8 môn Toán cấp huyện năm 2015 2016 phòng GD ĐT Nam Trực Nam Định Bản PDF

Đề thi HSG Toán lớp 8 cấp huyện năm 2015 - 2016 phòng GD&ĐT Nam Trực - Nam Định

Sytu xin gửi đến quý thầy cô và các em học sinh lớp 8 đề thi HSG Toán lớp 8 cấp huyện năm 2015 - 2016 phòng GD&ĐT Nam Trực - Nam Định. Đề thi bao gồm lời giải và thang chấm điểm. Dưới đây là một số câu hỏi trong đề thi:

  1. Cho tam giác ABC vuông tại A. Lấy một điểm M bất kỳ trên cạnh AC. Từ C vẽ một đường thẳng vuông góc với tia BM, đường thẳng này cắt tia BM tại D, cắt tia BA tại E.
    • Chứng minh: EA.EB = ED.EC
    • Chứng minh rằng khi điểm M di chuyển trên cạnh AC thì tổng BM.BD + CM.CA có giá trị không đổi.
    • Kẻ DH vuông góc BC (H thuộc BC). Gọi P, Q lần lượt là trung điểm của các đoạn thẳng BH, DH. Chứng minh CQ vuông góc PD.
  2. Cần dùng ít nhất bao nhiêu tấm bìa hình tròn có bán kính bằng 1 để phủ kín một tam giác đều có cạnh bằng 3, với giả thiết không được cắt tấm bìa.
  3. Cho hai số thực dương x, y thỏa mãn. Tìm giá trị nhỏ nhất của biểu thức Q.

Đây là một số câu hỏi thú vị và thách thức trong đề thi HSG Toán lớp 8 cấp huyện năm 2015 - 2016 phòng GD&ĐT Nam Trực - Nam Định. Hy vọng rằng đề thi sẽ giúp các em học sinh rèn luyện kỹ năng giải toán và chuẩn bị tốt cho các kỳ thi sắp tới. Chúc các em thành công!

Bình luận (5)

Nguyễn Gia Huy

Em cảm thấy cảm động và hào hứng khi thấy có đề thi HSG lớp 8 môn Toán cấp huyện năm 2015 2016 để ôn tập. Những tài liệu như này giúp học sinh tự tin hơn trong việc đối phó với các kì thi quan trọng.

Trả lời.

Nguyễn Hải Nam

Tôi không thể không biết ơn khi có tài liệu đề thi HSG lớp 8 môn Toán cấp huyện năm 2015 2016 để học tập. Đây thực sự là một nguồn tư liệu quý giá giúp học sinh nắm vững kiến thức và rèn luyện kỹ năng giải bài toán.

Trả lời.

Lê Mỹ Kim

Em thấy vui mừng và hạnh phúc khi có thể tìm thấy đề thi HSG lớp 8 môn Toán cấp huyện năm 2015 2016 để ôn tập. Đây là cơ hội tuyệt vời để tự kiểm tra năng lực và chuẩn bị tốt nhất cho kì thi sắp tới.

Trả lời.

Trang Lý

Tôi rất phấn khích khi thấy có tài liệu đề thi HSG lớp 8 môn Toán cấp huyện năm 2015 2016 để tải về. Đây là cơ hội tuyệt vời cho học sinh rèn luyện kiến thức và kỹ năng giải quyết bài toán.

Trả lời.

Nguyễn Hoàng Hiệp

Đề thi HSG lớp 8 môn Toán cấp huyện năm 2015 2016 thật sự rất cần thiết để học sinh ôn tập và chuẩn bị cho kì thi sắp tới. Cảm ơn những người đã tổ chức và biên soạn đề thi này!

Trả lời.
Nhấn vào đây để đánh giá
Thông tin người gửi
1.43111 sec| 2474.578 kb