- Giải bài tập chuyên đề toán lớp 10 kết nối tri thức bài 1 hệ phương trình bậc nhất ba ẩn
- Giải bài tập chuyên đề toán lớp 10 kết nối tri thức bài 2 ứng dụng của hệ phương trình bậc nhất ba ẩn
- Giải bài tập chuyên đề toán lớp 10 kết nối tri thức bài: Bài tập cuối chuyên đề
- Giải bài tập chuyên đề toán lớp 10 kết nối tri thức bài 3 phương pháp quy nạp toán học
- Giải bài tập chuyên đề toán lớp 10 kết nối tri thức bài 4 nhị thức Newton
- Giải bài tập chuyên đề toán lớp 10 kết nối tri thức bài: Bài tập cuối chuyên đề 2
- Giải bài tập chuyên đề toán lớp 10 kết nối tri thức bài 5 elip
- Giải bài tập chuyên đề toán lớp 10 kết nối tri thức bài 6 Hypebol
- Giải bài tập chuyên đề toán lớp 10 kết nối tri thức bài 7 parabol
- Giải bài tập chuyên đề toán lớp 10 kết nối tri thức bài 8 sự thống nhất giữa ba đường conic
- Giải bài tập chuyên đề toán lớp 10 kết nối tri thức bài: Bài tập cuối chuyên đề 3
Giải bài tập chuyên đề toán lớp 10 kết nối tri thức bài 1 hệ phương trình bậc nhất ba ẩn
https://s.shopee.vn/AKN2JyAJAw
Hướng dẫn giải bài 1 hệ phương trình bậc nhất ba ẩn trang 5, sách Giải bài tập chuyên đề toán lớp 10 kết nối tri thức
Sách chuyên đề toán lớp 10 kết nối tri thức không chỉ là một công cụ học tập mà còn là nguồn động viên lớn giúp học sinh phát triển năng lực toán học của mình. Trong sách, bài 1 về hệ phương trình bậc nhất ba ẩn được giải chi tiết trên trang 5, với cách hướng dẫn cụ thể và dễ hiểu. Điều này giúp học sinh nắm vững kiến thức và áp dụng linh hoạt khi giải các bài toán tương tự.
Với sự chỉ dẫn kỹ lưỡng, sách Giải bài tập chuyên đề toán lớp 10 kết nối tri thức không chỉ làm tăng hiệu quả học tập mà còn giúp học sinh phát triển tư duy logic và khả năng giải quyết vấn đề. Hy vọng rằng với sự hỗ trợ từ cuốn sách này, học sinh sẽ tự tin hơn trong việc vận dụng tri thức toán học vào thực tế.
Bài tập và hướng dẫn giải
Khởi động
Ông An đầu tư 240 triệu đồng vào ba quỹ khác nhau: một phần trong quỹ thị trường tiền tệ (là một loại quỹ đầu tư thị trường, tập trung vào các sản phẩm tài chính ngắn hạn như tin phiểu kho bạc, trải phiều ngắn hạn, chứng chỉ tiên gửi....) với tiền lãi nhận được là 3% một năm. Một phần trong trái phiếu chính phủ với tiền lãi nhận được là 4% một năm và phần còn lại trong một ngân hàng với tiền lãi nhận được là 7% một năm. Số tiền ông An đầu tư vào ngân hàng nhiều hơn váo trái phiểu chính phủ là 80 triệu đồng và tổng số tiên lãi thu được sau năm đầu tiên ở cả ba quỹ là 13.4 triệu đồng. Hỏi ông An đã đầu tư bao nhiêu tiền vào mỗi loại quỹ?
1. KHÁI NIỆM HỆ PHƯƠNG TRÌNH BẬC NHẤT BA ẨN
Ví dụ 1:
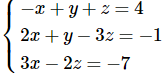
Hệ phương trình nào dưới đây là hệ phương trình bậc nhất 3 ẩn? Kiểm tra xem bộ ba số (1:2:-3) có phải là một nghiệm của hệ phương trình bậc nhất ba ẩn đó không.
a,
b,![111634]](/images/baitap/1-khai-niem-he-phuong-trinh-bac-nhat-ba-anvi-du-1-he-phuong-trinh-nao-duoi-day-la-he-phuong-trinh--ct1.png)
Luyện tập 1. Hệ nào dưới đây là hệ phương trình bậc nhất ba ẩn? Kiểm tra xem ba số (-3;2;-1) có phải là nghiệm của hệ phương trình bậc nhất ba ẩn đó không.
a,
b, 
2.GIẢI HỆ PHƯƠNG TRÌNH BẬC NHẤT BA ẨN BẰNG PHƯƠNG PHÁP GAUSS
Hoạt động 2: Hệ bậc nhất ba ẩn có dạng tam giác
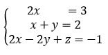
Cho hệ phương trình 
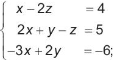
Luyện tập 2: Giải hệ phương trình

Hoạt động 3. Giải hệ phương trình bậc nhất ba ẩn bằng phương pháp Gauss
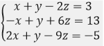
Cho hệ phương trình

a, Khử ẩn x của phương trình thứ hai bằng cách cộng phương trình này với phương trình thứ nhất theo từng vế tương ứng. Viết phương trình nhận được( phương trình này không còn chứa ẩn x và là phương trình thứ hau của hệ mới, tương đương với hệ ban đầu)
b, Khử ẩn của phương trình thứ ba bằng cách nhân phương trình thứ nhất với -2 rồi cộng với phương trình thứ ba theo từng vế tương ứng. Viết phương trình thứ ba mới nhận được. Từ đó viết hệ mới nhận được sau hai bước trên( đã khử x ở hai phương trình cuối)
c, Làm tương tự đối với hệ mới nhận được ở câu b), từ phương trình thứ 2 và thứ ba khử ẩn y ở phương trình thứ ba. Viết hệ dang tam giác nhận được.
d, Giải hệ dạng tam giác nhận được ở câu c). Từ đó suy ra nghiệm của hệ đã cho.
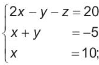
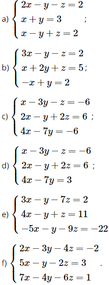
Luyện tập 3: Giải các hệ phương trình sau
a,
b,
c,
Vận dụng 1. Hà mua văn phòng phẩm cho nhóm bạn cùng lớp gồm Hà, Lan và Minh hết tổng cộng 820 nghìn đồng. Hà quên không lưu hóa đơn của mỗi bạn, nhưng nhớ được rằng số tiền trả cho Lan ít hơn một nửa số tiền trả cho Hà là 5 nghìn đồng, số tiền trả cho Minh nhiều hơn số tiền trả cho Lan là 210 nghìn đồng. Hỏi mỗi bạn Lan và Minh phải trả cho Hà bao nhiêu tiền?
3. TÌM NGHIỆM CỦA HỆ PHƯƠNG TRÌNH BẬC NHẤT BA ẨN BẰNG MÁY TÍNH
Luyện tập 4. Sử dụng máy tính cầm tay tìm nghiệm của hệ phương trình trong ví dụ 3, ví dụ 4, ví dụ 5 và luyện tập 3.
Vận dụng 2: Tại một quốc gia khoảng 400 loài động vật nằm trong danh sách các loài có nguy cơ tuyệt chủng. Các nhóm động vật có vú, chim và cá chiếm 55% các loài có nguy cơ tuyệt chủng. Nhóm chim chiếm nhiều hơn 0,7% so với nhóm cá, nhóm cá chiếm nhiều hơn 1,5% so với động vật có vú. Hỏi mỗi nhóm động vật có vú, chim và cá chiếm bao nhiêu phần trăm trong các loài có nguy cơ tuyệt chủng?
Bài tập
1.1. Hệ nào dưới đây là hệ phương trình bậc nhất ba ẩn? Kiêm rtra xem bộ ba số (2;0,-1) có phải là nghiệm của hệ phương trình bậc nhất ba ẩn đó không?
a,
b, 
1.2. Giải các hệ phương trình sau:
a, 
b,
1.3. Giải các hệ phương trình sau bằng phương pháp Gauss

1.4. Ba người cùng làm việc cho một công ty với vị trí lần lượt là quản lí kho, quản lí văn phòng và tài xế xe tải. Tổng tiền lương hằng năm của người quản lí kho và người quản lí văn phòng là 164 triệu đồng, còn của người quản lí kho và tài xế xe tải là 156 triệu đồng. Mỗi năm, người quản lí kho lĩnh lương nhiều hơn tài xế xe tải 8 triệu đồng. Hỏi lương hằng năm của mỗi người là bao nhiêu?
1.5. Năm ngoái, người ta có thể mua ba mẫu xe ôtô của ba hãng X, Y, Z với tổng số tiền là 2,8 tỉ đồng. Năm nay, do lạm phát, để mua ba chiếc xe đó cần 3,018 tỉ đồng. Giá xe ôtô của hãng X tăng 8%, của hãng Y tăng 5% và của hãng Z tăng 12%. Nếu trong năm ngoái giá chiếc xe của hãng Y thấp hơn 200 triệu đồng so với giá chiếc xe của hãng X thì giá của mỗi chiếc xe trong năm ngoái là bao nhiêu?
1.6. Cho hệ phương trình bậc nhất ba ẩn sau:

a, Giả sử (Xo;Yo;Zo) Và (X1;Y1;Z1) là hai nghiệm phân biệt của hệ phương trình trên. Chứng minh rằng ![]()
b, Sử dụng kết quả của câu a, Chứng minh rằng, nếu hệ phương trình bậc nhất ba ẩn có hai nghiệm phân biệt thì nó sẽ có vô số nghiệm.
Giải bài tập sách giáo khoa (SGK) 10 Kết nối tri thức
- Soạn văn lớp 10 tập 1 kết nối tri thức
- Soạn văn lớp 10 tập 2 kết nối tri thức
- Văn mẫu lớp 10 kết nối tri thức
- Giải bài tập toán lớp 10 tập 1 kết nối tri thức
- Giải bài tập toán lớp 10 tập 2 kết nối tri thức
- Giải bài tập vật lí lớp 10 kết nối tri thức
- Giải bài tập hóa học lớp 10 kết nối tri thức
- Giải bài tập sinh học lớp 10 kết nối tri thức
- Giải bài tập Địa lí lớp 10 kết nối tri thức
- Giải bài tập lịch sử lớp 10 kết nối tri thức
- Giải bài tập tin học lớp 10 kết nối tri thức
- Giải bài tập Âm nhạc lớp 10 kết nối tri thức
- Giải bài tập mĩ thuật lớp 10 kết nối tri thức
- Giải bài tập giáo dục kinh tế pháp luật lớp 10 kết nối tri thức
- Giải bài tập giáo dục quốc phòng an ninh lớp 10 kết nối tri thức
- Giải bài tập hoạt động trải nghiệm lớp 10 kết nối tri thức
- Giải bài tập thiết kế công nghệ lớp 10 kết nối tri thức
- Giải bài tập công nghệ trồng trọt lớp 10 kết nối tri thức
- Giải bài tập giáo dục thể chất lớp 10 kết nối tri thức
- Giải bài tập tiếng anh lớp 10 Global Success
Giải bài tập sách giáo khoa (SGK) 10 Chân trời sáng tạo
- Soạn văn lớp 10 tập 1 chân trời sáng tạo
- Soạn văn lớp 10 tập 2 chân trời sáng tạo
- Văn mẫu lớp 10 chân trời sáng tạo
- Giải bài tập toán lớp 10 tập 1 chân trời sáng tạo
- Giải bài tập toán lớp 10 tập 2 chân trời sáng tạo
- Giải bài tập vật lí lớp 10 chân trời sáng tạo
- Giải bài tập hóa học lớp 10 chân trời sáng tạo
- Giải bài tập sinh học lớp 10 chân trời sáng tạo
- Giải bài tập Địa lí lớp 10 chân trời sáng tạo
- Giải bài tập lịch sử lớp 10 chân trời sáng tạo
- Giải bài tập tin học lớp 10 chân trời sáng tạo
- Giải bài tập Âm nhạc lớp 10 chân trời sáng tạo
- Giải bài tập mĩ thuật lớp 10 chân trời sáng tạo
- Giải bài tập giáo dục kinh tế pháp luật lớp 10 chân trời sáng tạo
- Giải bài tập Hoạt động trải nghiệm, hướng nghiệp lớp 10 chân trời sáng tạo bản 1
- Giải bài tập Hoạt động trải nghiệm, hướng nghiệp lớp 10 chân trời sáng tạo bản 2
- Giải bài tập giáo dục quốc phòng an ninh lớp 10 chân trời sáng tạo
- Giải bài tập thiết kế công nghệ lớp 10 chân trời sáng tạo
- Giải bài tập công nghệ trồng trọt lớp 10 chân trời sáng tạo
- Giải bài tập giáo dục thể chất lớp 10 chân trời sáng tạo
- Giải bài tập tiếng anh lớp 10 Friends Global
Giải bài tập sách giáo khoa (SGK) 10 Cánh diều
- Soạn văn lớp 10 tập 1 cánh diều
- Soạn văn lớp 10 tập 2 cánh diều
- Văn mẫu lớp 10 cánh diều
- Giải bài tập toán lớp 10 tập 1 cánh diều
- Giải bài tập toán lớp 10 tập 2 cánh diều
- Giải bài tập vật lí lớp 10 cánh diều
- Giải bài tập hóa học lớp 10 cánh diều
- Giải bài tập sinh học lớp 10 cánh diều
- Giải bài tập Địa lí lớp 10 cánh diều
- Giải bài tập lịch sử lớp 10 cánh diều
- Giải bài tập tin học lớp 10 cánh diều
- Giải bài tập Âm nhạc lớp 10 cánh diều
- Giải bài tập mĩ thuật lớp 10 cánh diều
- Giải bài tập giáo dục kinh tế pháp luật lớp 10 cánh diều
- Giải bài tập giáo dục quốc phòng an ninh lớp 10 cánh diều
- Giải bài tập hoạt động trải nghiệm lớp 10 cánh diều
- Giải bài tập thiết kế công nghệ lớp 10 cánh diều
- Giải bài tập công nghệ trồng trọt lớp 10 cánh diều
- Giải bài tập giáo dục thể chất lớp 10 cánh diều
- Giải bài tập tiếng anh lớp 10 Explore new worlds
Giải bài tập sách bài tập (SBT) lớp 10 kết nối tri thức
- Giải bài tập sách bài tập (SBT) ngữ văn lớp 10 tập 1 kết nối tri thức
- Giải bài tập sách bài tập (SBT) ngữ văn lớp 10 tập 2 kết nối tri thức
- Giải bài tập sách bài tập (SBT) toán lớp 10 tập 1 kết nối tri thức
- Giải bài tập sách bài tập (SBT) toán lớp 10 tập 2 kết nối tri thức
- Giải bài tập sách bài tập (SBT) hóa học lớp 10 kết nối tri thức
- Giải bài tập sách bài tập (SBT) sinh học lớp 10 kết nối tri thức
- Giải bài tập sách bài tập (SBT) vật lí lớp 10 kết nối tri thức
- Giải bài tập sách bài tập (SBT) lịch sử lớp 10 kết nối tri thức
- Giải bài tập sách bài tập (SBT) địa lí lớp 10 kết nối tri thức
- Giải bài tập sách bài tập (SBT) tin học lớp 10 kết nối tri thức
- Giải bài tập sách bài tập (SBT) giáo dục kinh tế pháp luật lớp 10 kết nối tri thức
- Giải bài tập sách bài tập (SBT) giáo dục quốc phòng và an ninh lớp 10 kết nối tri thức
- Giải bài tập sách bài tập (SBT) hoạt động trải nghiệm lớp 10 kết nối tri thức
- Giải bài tập sách bài tập (SBT) tiếng anh lớp 10 Global success
Giải bài tập sách bài tập (SBT) lớp 10 chân trời sáng tạo
- Giải bài tập sách bài tập (SBT) ngữ văn lớp 10 tập 1 chân trời sáng tạo
- Giải bài tập sách bài tập (SBT) ngữ văn lớp 10 tập 2 chân trời sáng tạo
- Giải bài tập sách bài tập (SBT) toán lớp 10 tập 1 chân trời sáng tạo
- Giải bài tập sách bài tập (SBT) toán lớp 10 tập 2 chân trời sáng tạo
- Giải bài tập sách bài tập (SBT) hóa học lớp 10 chân trời sáng tạo
- Giải bài tập sách bài tập (SBT) sinh học lớp 10 chân trời sáng tạo
- Giải bài tập sách bài tập (SBT) vật lí lớp 10 chân trời sáng tạo
- Giải bài tập sách bài tập (SBT) lịch sử lớp 10 chân trời sáng tạo
- Giải bài tập sách bài tập (SBT) địa lí lớp 10 chân trời sáng tạo
- Giải bài tập sách bài tập (SBT) giáo dục kinh tế pháp luật lớp 10 chân trời sáng tạo
- Giải bài tập sách bài tập (SBT) giáo dục quốc phòng và an ninh lớp 10 chân trời sáng tạo
- Giải bài tập sách bài tập (SBT) hoạt động trải nghiệm lớp 10 chân trời sáng tạo bản 1
- Giải bài tập sách bài tập (SBT) hoạt động trải nghiệm lớp 10 chân trời sáng tạo bản 2
- Giải bài tập sách bài tập (SBT) tiếng anh lớp 10 Friends Global
Giải bài tập sách bài tập (SBT) lớp 10 Cánh diều
- Giải bài tập sách bài tập (SBT) ngữ văn lớp 10 tập 1 cánh diều
- Giải bài tập sách bài tập (SBT) ngữ văn lớp 10 tập 2 cánh diều
- Giải bài tập sách bài tập (SBT) toán lớp 10 tập 1 cánh diều
- Giải bài tập sách bài tập (SBT) toán lớp 10 tập 2 cánh diều
- Giải bài tập sách bài tập (SBT) hóa học lớp 10 cánh diều
- Giải bài tập sách bài tập (SBT) sinh học lớp 10 cánh diều
- Giải bài tập sách bài tập (SBT) vật lí lớp 10 cánh diều
- Giải bài tập sách bài tập (SBT) lịch sử lớp 10 cánh diều
- Giải bài tập sách bài tập (SBT) địa lí lớp 10 cánh diều
- Giải bài tập sách bài tập (SBT) tin học lớp 10 cánh diều
- Giải bài tập sách bài tập (SBT) giáo dục kinh tế pháp luật lớp 10 cánh diều
- Giải bài tập sách bài tập (SBT) hoạt động trải nghiệm lớp 10 cánh diều
- Giải bài tập sách bài tập (SBT) giáo dục quốc phòng và an ninh lớp 10 cánh diều
- Giải bài tập sách bài tập (SBT) tiếng anh lớp 10 Explore new world
Giải bài tập chuyên đề học tập 10 Kết nối tri thức
- Giải bài tập chuyên đề toán lớp 10 kết nối tri thức
- Giải bài tập chuyên đề ngữ văn lớp 10 kết nối tri thức
- Giải bài tập chuyên đề vật lí lớp 10 kết nối tri thức
- Giải bài tập chuyên đề hóa học lớp 10 kết nối tri thức
- Giải bài tập chuyên đề sinh học lớp 10 kết nối tri thức
- Giải bài tập chuyên đề lịch sử lớp 10 kết nối tri thức
- Giải bài tập chuyên đề địa lí lớp 10 kết nối tri thức
- Giải bài tập chuyên đề công nghệ trồng trọt lớp 10 kết nối tri thức
- Giải bài tập chuyên đề giáo dục kinh tế và pháp luật lớp 10 kết nối tri thức
- Giải bài tập chuyên đề tin học lớp 10 theo định hướng tin học ứng dụng kết nối tri thức
- Giải bài tập chuyên đề tin học lớp 10 theo định hướng khoa học máy tính kết nối tri thức
- Giải bài tập chuyên đề mĩ thuật lớp 10 kết nối tri thức
Giải bài tập chuyên đề học tập 10 Chân trời sáng tạo
- Giải bài tập chuyên đề toán lớp 10 chân trời sáng tạo
- Giải bài tập chuyên đề ngữ văn lớp 10 chân trời sáng tạo
- Giải bài tập chuyên đề vật lí lớp 10 chân trời sáng tạo
- Giải bài tập chuyên đề hóa học lớp 10 chân trời sáng tạo
- Giải bài tập chuyên đề sinh học lớp 10 chân trời sáng tạo
- Giải bài tập chuyên đề địa lí lớp 10 chân trời sáng tạo
- Giải bài tập chuyên đề lịch sử lớp 10 chân trời sáng tạo
- Giải bài tập chuyên đề giáo dục kinh tế và pháp luật lớp 10 chân trời sáng tạo
- Giải bài tập chuyên đề âm nhạc lớp 10 chân trời sáng tạo
Giải bài tập chuyên đề học tập 10 Cánh diều
- Giải bài tập chuyên đề toán lớp 10 cánh diều
- Giải bài tập chuyên đề ngữ văn lớp 10 cánh diều
- Giải bài tập chuyên đề vật lí lớp 10 cánh diều
- Giải bài tập chuyên đề hóa học lớp 10 cánh diều
- Giải bài tập chuyên đề sinh học lớp 10 cánh diều
- Giải bài tập chuyên đề địa lí lớp 10 cánh diều
- Giải bài tập chuyên đề lịch sử lớp 10 cánh diều
- Giải bài tập chuyên đề công nghệ trồng trọt lớp 10 cánh diều
- Giải bài tập chuyên đề giáo dục kinh tế và pháp luật lớp 10 cánh diều
- Giải bài tập chuyên đề tin học lớp 10 theo định hướng tin học ứng dụng cánh diều
- Giải bài tập chuyên đề tin học lớp 10 theo định hướng khoa học máy tính cánh diều
- Giải bài tập chuyên đề âm nhạc lớp 10 cánh diều