Tìm
Đăng nhập/ Đăng ký
Trang chủ
Thi trắc nghiệm
Hỏi đáp
Soạn văn
Bài tập
Tin tức
Sách
Sách giáo viên
Sách bổ trợ
Sách giáo khoa
Tài liệu Đề thi
Kiếm tiền online
Chia sẻ lời giải, đáp án
Đề thi trắc nghiệm online
Soạn văn từ lớp 6 đến lớp 12
sytu.net
Tài liệu - Đề Thi
Tài liệu - Đề Thi
Các chủ đề ôn thi tuyển sinh vào môn Toán
Phân dạng các bài toán trong đề tuyển sinh môn Toán (2022 2023)
Chùm bài toán tiếp tuyến cát tuyến ôn thi vào môn Toán
102 bài toán bất đẳng thức và giá trị lớn nhất, giá trị nhỏ nhất chọn lọc
Phương trình nghiệm nguyên chọn lọc
8 chủ đề luyện thi tuyển sinh vào môn Toán
105 bài toán PT HPT BPT trong đề thi vào 10 môn Toán năm học 2021 2022
Trọng tâm kiến thức và các dạng đề ôn thi vào môn Toán
Chuyên đề bất đẳng thức và cực trị hình học ôn thi vào
Chuyên đề quỹ tích ôn thi vào
Một số bài tập chọn lọc hình học phẳng ôn thi vào
Chuyên đề những định lý hình học nổi tiếng ôn thi vào
Chuyên đề tiếp tuyến, cát tuyến ôn thi vào
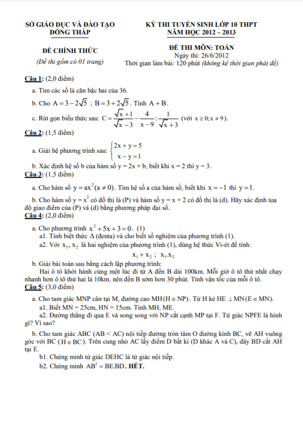
Đề tuyển sinh vào 10 môn Toán năm 2012 2013 sở GD ĐT Đồng Tháp
Đề tuyển sinh vào 10 chuyên môn Toán cơ sở năm 2014 2015 sở GD ĐT Đồng Tháp
Đề tuyển sinh vào 10 môn Toán năm 2014 2015 sở GD ĐT Đồng Tháp
Đề tuyển sinh vào 10 chuyên môn Toán chuyên năm 2014 2015 sở GD ĐT Đồng Tháp
Đề tuyển sinh vào 10 môn Toán năm 2013 2014 sở GD ĐT Đồng Tháp
Phân dạng các bài toán trong đề tuyển sinh môn Toán (2023 2024)
Hệ thống các khái niệm cơ bản và định lý hình học THCS (hình học phẳng)
1
2
3
4
5
..
›
››
Danh mục
Tài liệu - Đề Thi
Tài liệu - đề thi lớp 6
Tài liệu - đề thi môn Toán lớp 6
Tài liệu Toán 6
Đề giữa HK1 Toán 6
Đề HK1 Toán 6
Đề giữa HK2 Toán 6
Đề HK2 Toán 6
Đề khảo sát Toán 6
Đề HSG Toán 6
Tài liệu - đề thi lớp 7
Tài liệu - đề thi môn Toán lớp 7
Tài liệu Toán 7
Đề giữa HK1 Toán 7
Đề HK1 Toán 7
Đề giữa HK2 Toán 7
Đề HK2 Toán 7
Đề khảo sát Toán 7
Đề HSG Toán 7
Tài liệu - đề thi lớp 8
Tài liệu - đề thi môn Toán lớp 8
Tài liệu Toán 8
Đề giữa HK1 Toán 8
Đề HK1 Toán 8
Đề giữa HK2 Toán 8
Đề HK2 Toán 8
Đề khảo sát Toán 8
Đề HSG Toán 8
Tài liệu - đề thi lớp 9
Tài liệu - đề thi môn Toán lớp 9
Tài liệu Toán 9
Đề giữa HK1 Toán 9
Đề HK1 Toán 9
Đề giữa HK2 Toán 9
Đề HK2 Toán 9
Đề khảo sát Toán 9
Đề HSG Toán 9
Tài liệu - đề thi THPT
Tài liệu - đề thi môn Toán THPT
Đề ĐGNL Môn Toán
KSCL Giáo Viên Toán
Công thức Toán
Tạp Chí Toán Học
Tài Liệu HSG Toán
Đề THPT Chính Thức
Sách giáo khoa THCS
Sách giáo khoa THPT
Tài Liệu Ôn Thi THPT
Tài liệu - đề thi lớp 10
Tài liệu - đề thi môn Toán lớp 10
Tài liệu Toán 10
Đề kiểm tra Toán 10
Giáo án Toán 10
Đề giữa HK2 Toán 10
Đề HSG Toán 10
Đề khảo sát Toán 10
Đề giữa HK1 Toán 10
Đề HK2 Toán 10
Đề HK1 Toán 10
Tài liệu - đề thi lớp 11
Tài liệu - đề thi môn Toán lớp 11
Tài liệu Toán 11
Đề kiểm tra Toán 11
Giáo án Toán 11
Đề giữa HK2 Toán 11
Đề HSG Toán 11
Đề giữa HK1 Toán 11
Đề khảo sát Toán 11
Đề HK2 Toán 11
Đề HK1 Toán 11
Tài liệu - đề thi lớp 12
Tài liệu - đề thi môn Toán lớp 12
Tài liệu Toán 12
Đề kiểm tra Toán 12
Giáo án Toán 12
Đề giữa HK2 Toán 12
Đề giữa HK1 Toán 12
Đề khảo sát Toán 12
Đề HK2 Toán 12
Đề HSG Toán 12
Đề HK1 Toán 12
Tài liệu - đề thi vào lớp 10
Tài liệu thi vào lớp 10
Đề thi vào lớp 10
Thông báo
X
+ 5 điểm đăng nhập hằng ngày
0.45769 sec| 2177.867 kb