SBT CHƯƠNG I: MỆNH ĐỀ TOÁN HỌC. TẬP HỢP
SBT CHƯƠNG II: BẤT PHƯƠNG TRÌNH VÀ HỆ PHƯƠNG TRÌNH BẬC NHẤT HAI ẨN
SBT CHƯƠNG III: HÀM SỐ VÀ ĐỒ THỊ
- Giải bài tập sách bài tập (SBT) toán lớp 10 Cánh diều bài 1 Hàm số và đồ thị
- Giải bài tập sách bài tập (SBT) toán lớp 10 Cánh diều bài 2 Hàm số bậc hai. Đồ thị hàm số bậc hai và ứng dụng
- Giải bài tập sách bài tập (SBT) toán lớp 10 Cánh diều bài 3 Dấu của tam thức bậc hai
- Giải bài tập sách bài tập (SBT) toán lớp 10 Cánh diều bài 4 Bất phương trình bậc hai một ẩn
- Giải bài tập sách bài tập (SBT) toán lớp 10 Cánh diều bài 4 Bất phương trình bậc hai một ẩn
- Giải bài tập sách bài tập (SBT) toán lớp 10 Cánh diều bài 5 Hai dạng phương trình quy về phương trình bậc hai
- Giải bài tập sách bài tập (SBT) toán lớp 10 Cánh diều bài Bài tập cuối chương III
SBT CHƯƠNG IV: HỆ THỰC LƯỢNG TRONG TAM GIÁC. VÉC TƠ
- Giải bài tập sách bài tập (SBT) toán lớp 10 Cánh diều bài 1 Định lí côsin và định lí sin trong tam giác. Giá trị lượng giác của một góc từ 0° đến 180°
- Giải bài tập sách bài tập (SBT) toán lớp 10 Cánh diều bài 2 Giải bài tập tam giác. Tính diện tích
- Giải bài tập sách bài tập (SBT) toán lớp 10 Cánh diều bài 3 Khái niệm vectơ
- Giải bài tập sách bài tập (SBT) toán lớp 10 Cánh diều bài 4 Tổng và hiệu của hai vectơ
- Giải bài tập sách bài tập (SBT) toán lớp 10 Cánh diều bài 5 Tích của một số với một vectơ
- Giải bài tập sách bài tập (SBT) toán lớp 10 Cánh diều bài 6 Tích vô hướng của hai vectơ
- Giải bài tập sách bài tập (SBT) toán lớp 10 Cánh diều bài Bài tập cuối chương IV
Giải bài tập sách bài tập (SBT) toán lớp 10 Cánh diều bài 1 Hàm số và đồ thị
https://s.shopee.vn/AKN2JyAJAw
BÀI GIẢI BÀI TẬP SÁCH BÀI TẬP TOÁN LỚP 10 - BÀI 1 HÀM SỐ VÀ ĐỒ THỊ
Trong phần này, chúng ta sẽ hướng dẫn cách giải bài tập số 1 về Hàm số và đồ thị trang 36 sách bài tập (SBT) toán lớp 10 trong bộ sách "Cánh diều". Đây là một phần quan trọng giúp học sinh hiểu rõ hơn về hàm số và cách vẽ đồ thị.
Bước 1: Đọc đề bài cẩn thận xác định yêu cầu của bài toán. Đảm bảo bạn hiểu rõ vấn đề mà bài toán đề cập.
Bước 2: Phân tích các thông số trong đề bài để xác định hàm số cụ thể mà chúng ta cần đưa ra.
Bước 3: Tính các giá trị hoặc vẽ đồ thị theo yêu cầu của bài toán. Sử dụng kiến thức đã học để giải quyết vấn đề.
Bước 4: Kiểm tra lại kết quả và chắc chắn rằng bạn đã hiểu đúng cách giải và đưa ra câu trả lời chính xác.
Qua bài giải này, hy vọng rằng các em đã nắm vững kiến thức về hàm số và đồ thị, và có thể áp dụng vào việc giải các bài tập khác. Hãy tự tin và chăm chỉ học tập nhé!
Bài tập và hướng dẫn giải
Chương III : Hàm số và đồ thị
Bài 1 : Hàm số và đồ thị
Bài 1 : Trong các công thức sau, công thức nào không biểu diễn y là hàm số của x?
A. x + 2y = 3.
B. y = √(x2-2x).
C. y = 1/x.
D. x2 + y2 = 4
Bài 2 : Cho đồ thị hàm số y = f(x) ở Hình 4. Phát biểu nào sau đây là đúng?

A. Đồ thị hàm số cắt trục hoành tại điểm có hoành độ bằng 1.
B. Đồ thị hàm số cắt trục tung tại điểm có tung độ bằng – 1.
C. Hàm số đồng biến trên khoảng (– 1; +∞), nghịch biến trên khoảng ( – ∞; – 1).
D. Hàm số đồng biến trên ℝ.
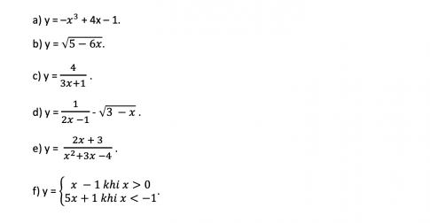
Bài 3 : Tìm tập xác định của mỗi hàm số sau:

Bài 4 :

a) Tìm tập xác định của hàm số trên.
b) Tính giá trị của hàm số khi x = – 2; x = 0; x = 2 021.
Bài 5 : Quan sát đồ thị hàm số y = f(x) ở Hình 5.

a) Trong các điểm có tọa độ (1 ; 2), (0 ; 0), (2 ; 3), điểm nào thuộc đồ thị hàm số, điểm nào không thuộc đồ thị hàm số?
b) Xác định f(0); f(3).
c) Tìm điểm thuộc đồ thị hàm số có tung độ bằng 1.
Bài 6 : Cho bảng biến thiên hàm số y = f(x) như sau:

a) Tìm khoảng đồng biến, khoảng nghịch biến của hàm số y = f(x).
b) So sánh f(– 2021) và f(– 1); f(3">√33) và f(2).
Bài 7 : Cho hàm số y = −2x">−2x">−2x">−2x">−2x">−2x">−−2x">2/x−2x">. Chứng tỏ hàm số đã cho đồng biến trên khoảng (–∞; 0) và (0; +∞).
Bài 8 : Một nhân viên bán hàng sẽ nhận được một mức lương cơ bản là 5 triệu đồng mỗi tháng và một khoản hoa hồng là 5% nếu tổng doanh số trên 10 triệu đồng trong tháng. Ngoài ra, nếu doanh số bán hàng hàng tháng là 20 triệu đồng hoặc nhiều hơn thì nhân viên bán hàng nhận được thêm tiền thưởng là 500 nghìn đồng.
a) Hãy biểu diễn thu nhập hàng tháng của nhân viên đó bằng một hàm số theo doanh số bán hàng.
b) Nếu doanh số trong 1 tháng của nhân viên đó là 30 triệu đồng thì nhân viên đó sẽ nhận được bao nhiêu tiền lương?
Giải bài tập sách giáo khoa (SGK) 10 Kết nối tri thức
- Soạn văn lớp 10 tập 1 kết nối tri thức
- Soạn văn lớp 10 tập 2 kết nối tri thức
- Văn mẫu lớp 10 kết nối tri thức
- Giải bài tập toán lớp 10 tập 1 kết nối tri thức
- Giải bài tập toán lớp 10 tập 2 kết nối tri thức
- Giải bài tập vật lí lớp 10 kết nối tri thức
- Giải bài tập hóa học lớp 10 kết nối tri thức
- Giải bài tập sinh học lớp 10 kết nối tri thức
- Giải bài tập Địa lí lớp 10 kết nối tri thức
- Giải bài tập lịch sử lớp 10 kết nối tri thức
- Giải bài tập tin học lớp 10 kết nối tri thức
- Giải bài tập Âm nhạc lớp 10 kết nối tri thức
- Giải bài tập mĩ thuật lớp 10 kết nối tri thức
- Giải bài tập giáo dục kinh tế pháp luật lớp 10 kết nối tri thức
- Giải bài tập giáo dục quốc phòng an ninh lớp 10 kết nối tri thức
- Giải bài tập hoạt động trải nghiệm lớp 10 kết nối tri thức
- Giải bài tập thiết kế công nghệ lớp 10 kết nối tri thức
- Giải bài tập công nghệ trồng trọt lớp 10 kết nối tri thức
- Giải bài tập giáo dục thể chất lớp 10 kết nối tri thức
- Giải bài tập tiếng anh lớp 10 Global Success
Giải bài tập sách giáo khoa (SGK) 10 Chân trời sáng tạo
- Soạn văn lớp 10 tập 1 chân trời sáng tạo
- Soạn văn lớp 10 tập 2 chân trời sáng tạo
- Văn mẫu lớp 10 chân trời sáng tạo
- Giải bài tập toán lớp 10 tập 1 chân trời sáng tạo
- Giải bài tập toán lớp 10 tập 2 chân trời sáng tạo
- Giải bài tập vật lí lớp 10 chân trời sáng tạo
- Giải bài tập hóa học lớp 10 chân trời sáng tạo
- Giải bài tập sinh học lớp 10 chân trời sáng tạo
- Giải bài tập Địa lí lớp 10 chân trời sáng tạo
- Giải bài tập lịch sử lớp 10 chân trời sáng tạo
- Giải bài tập tin học lớp 10 chân trời sáng tạo
- Giải bài tập Âm nhạc lớp 10 chân trời sáng tạo
- Giải bài tập mĩ thuật lớp 10 chân trời sáng tạo
- Giải bài tập giáo dục kinh tế pháp luật lớp 10 chân trời sáng tạo
- Giải bài tập Hoạt động trải nghiệm, hướng nghiệp lớp 10 chân trời sáng tạo bản 1
- Giải bài tập Hoạt động trải nghiệm, hướng nghiệp lớp 10 chân trời sáng tạo bản 2
- Giải bài tập giáo dục quốc phòng an ninh lớp 10 chân trời sáng tạo
- Giải bài tập thiết kế công nghệ lớp 10 chân trời sáng tạo
- Giải bài tập công nghệ trồng trọt lớp 10 chân trời sáng tạo
- Giải bài tập giáo dục thể chất lớp 10 chân trời sáng tạo
- Giải bài tập tiếng anh lớp 10 Friends Global
Giải bài tập sách giáo khoa (SGK) 10 Cánh diều
- Soạn văn lớp 10 tập 1 cánh diều
- Soạn văn lớp 10 tập 2 cánh diều
- Văn mẫu lớp 10 cánh diều
- Giải bài tập toán lớp 10 tập 1 cánh diều
- Giải bài tập toán lớp 10 tập 2 cánh diều
- Giải bài tập vật lí lớp 10 cánh diều
- Giải bài tập hóa học lớp 10 cánh diều
- Giải bài tập sinh học lớp 10 cánh diều
- Giải bài tập Địa lí lớp 10 cánh diều
- Giải bài tập lịch sử lớp 10 cánh diều
- Giải bài tập tin học lớp 10 cánh diều
- Giải bài tập Âm nhạc lớp 10 cánh diều
- Giải bài tập mĩ thuật lớp 10 cánh diều
- Giải bài tập giáo dục kinh tế pháp luật lớp 10 cánh diều
- Giải bài tập giáo dục quốc phòng an ninh lớp 10 cánh diều
- Giải bài tập hoạt động trải nghiệm lớp 10 cánh diều
- Giải bài tập thiết kế công nghệ lớp 10 cánh diều
- Giải bài tập công nghệ trồng trọt lớp 10 cánh diều
- Giải bài tập giáo dục thể chất lớp 10 cánh diều
- Giải bài tập tiếng anh lớp 10 Explore new worlds
Giải bài tập sách bài tập (SBT) lớp 10 kết nối tri thức
- Giải bài tập sách bài tập (SBT) ngữ văn lớp 10 tập 1 kết nối tri thức
- Giải bài tập sách bài tập (SBT) ngữ văn lớp 10 tập 2 kết nối tri thức
- Giải bài tập sách bài tập (SBT) toán lớp 10 tập 1 kết nối tri thức
- Giải bài tập sách bài tập (SBT) toán lớp 10 tập 2 kết nối tri thức
- Giải bài tập sách bài tập (SBT) hóa học lớp 10 kết nối tri thức
- Giải bài tập sách bài tập (SBT) sinh học lớp 10 kết nối tri thức
- Giải bài tập sách bài tập (SBT) vật lí lớp 10 kết nối tri thức
- Giải bài tập sách bài tập (SBT) lịch sử lớp 10 kết nối tri thức
- Giải bài tập sách bài tập (SBT) địa lí lớp 10 kết nối tri thức
- Giải bài tập sách bài tập (SBT) tin học lớp 10 kết nối tri thức
- Giải bài tập sách bài tập (SBT) giáo dục kinh tế pháp luật lớp 10 kết nối tri thức
- Giải bài tập sách bài tập (SBT) giáo dục quốc phòng và an ninh lớp 10 kết nối tri thức
- Giải bài tập sách bài tập (SBT) hoạt động trải nghiệm lớp 10 kết nối tri thức
- Giải bài tập sách bài tập (SBT) tiếng anh lớp 10 Global success
Giải bài tập sách bài tập (SBT) lớp 10 chân trời sáng tạo
- Giải bài tập sách bài tập (SBT) ngữ văn lớp 10 tập 1 chân trời sáng tạo
- Giải bài tập sách bài tập (SBT) ngữ văn lớp 10 tập 2 chân trời sáng tạo
- Giải bài tập sách bài tập (SBT) toán lớp 10 tập 1 chân trời sáng tạo
- Giải bài tập sách bài tập (SBT) toán lớp 10 tập 2 chân trời sáng tạo
- Giải bài tập sách bài tập (SBT) hóa học lớp 10 chân trời sáng tạo
- Giải bài tập sách bài tập (SBT) sinh học lớp 10 chân trời sáng tạo
- Giải bài tập sách bài tập (SBT) vật lí lớp 10 chân trời sáng tạo
- Giải bài tập sách bài tập (SBT) lịch sử lớp 10 chân trời sáng tạo
- Giải bài tập sách bài tập (SBT) địa lí lớp 10 chân trời sáng tạo
- Giải bài tập sách bài tập (SBT) giáo dục kinh tế pháp luật lớp 10 chân trời sáng tạo
- Giải bài tập sách bài tập (SBT) giáo dục quốc phòng và an ninh lớp 10 chân trời sáng tạo
- Giải bài tập sách bài tập (SBT) hoạt động trải nghiệm lớp 10 chân trời sáng tạo bản 1
- Giải bài tập sách bài tập (SBT) hoạt động trải nghiệm lớp 10 chân trời sáng tạo bản 2
- Giải bài tập sách bài tập (SBT) tiếng anh lớp 10 Friends Global
Giải bài tập sách bài tập (SBT) lớp 10 Cánh diều
- Giải bài tập sách bài tập (SBT) ngữ văn lớp 10 tập 1 cánh diều
- Giải bài tập sách bài tập (SBT) ngữ văn lớp 10 tập 2 cánh diều
- Giải bài tập sách bài tập (SBT) toán lớp 10 tập 1 cánh diều
- Giải bài tập sách bài tập (SBT) toán lớp 10 tập 2 cánh diều
- Giải bài tập sách bài tập (SBT) hóa học lớp 10 cánh diều
- Giải bài tập sách bài tập (SBT) sinh học lớp 10 cánh diều
- Giải bài tập sách bài tập (SBT) vật lí lớp 10 cánh diều
- Giải bài tập sách bài tập (SBT) lịch sử lớp 10 cánh diều
- Giải bài tập sách bài tập (SBT) địa lí lớp 10 cánh diều
- Giải bài tập sách bài tập (SBT) tin học lớp 10 cánh diều
- Giải bài tập sách bài tập (SBT) giáo dục kinh tế pháp luật lớp 10 cánh diều
- Giải bài tập sách bài tập (SBT) hoạt động trải nghiệm lớp 10 cánh diều
- Giải bài tập sách bài tập (SBT) giáo dục quốc phòng và an ninh lớp 10 cánh diều
- Giải bài tập sách bài tập (SBT) tiếng anh lớp 10 Explore new world
Giải bài tập chuyên đề học tập 10 Kết nối tri thức
- Giải bài tập chuyên đề toán lớp 10 kết nối tri thức
- Giải bài tập chuyên đề ngữ văn lớp 10 kết nối tri thức
- Giải bài tập chuyên đề vật lí lớp 10 kết nối tri thức
- Giải bài tập chuyên đề hóa học lớp 10 kết nối tri thức
- Giải bài tập chuyên đề sinh học lớp 10 kết nối tri thức
- Giải bài tập chuyên đề lịch sử lớp 10 kết nối tri thức
- Giải bài tập chuyên đề địa lí lớp 10 kết nối tri thức
- Giải bài tập chuyên đề công nghệ trồng trọt lớp 10 kết nối tri thức
- Giải bài tập chuyên đề giáo dục kinh tế và pháp luật lớp 10 kết nối tri thức
- Giải bài tập chuyên đề tin học lớp 10 theo định hướng tin học ứng dụng kết nối tri thức
- Giải bài tập chuyên đề tin học lớp 10 theo định hướng khoa học máy tính kết nối tri thức
- Giải bài tập chuyên đề mĩ thuật lớp 10 kết nối tri thức
Giải bài tập chuyên đề học tập 10 Chân trời sáng tạo
- Giải bài tập chuyên đề toán lớp 10 chân trời sáng tạo
- Giải bài tập chuyên đề ngữ văn lớp 10 chân trời sáng tạo
- Giải bài tập chuyên đề vật lí lớp 10 chân trời sáng tạo
- Giải bài tập chuyên đề hóa học lớp 10 chân trời sáng tạo
- Giải bài tập chuyên đề sinh học lớp 10 chân trời sáng tạo
- Giải bài tập chuyên đề địa lí lớp 10 chân trời sáng tạo
- Giải bài tập chuyên đề lịch sử lớp 10 chân trời sáng tạo
- Giải bài tập chuyên đề giáo dục kinh tế và pháp luật lớp 10 chân trời sáng tạo
- Giải bài tập chuyên đề âm nhạc lớp 10 chân trời sáng tạo
Giải bài tập chuyên đề học tập 10 Cánh diều
- Giải bài tập chuyên đề toán lớp 10 cánh diều
- Giải bài tập chuyên đề ngữ văn lớp 10 cánh diều
- Giải bài tập chuyên đề vật lí lớp 10 cánh diều
- Giải bài tập chuyên đề hóa học lớp 10 cánh diều
- Giải bài tập chuyên đề sinh học lớp 10 cánh diều
- Giải bài tập chuyên đề địa lí lớp 10 cánh diều
- Giải bài tập chuyên đề lịch sử lớp 10 cánh diều
- Giải bài tập chuyên đề công nghệ trồng trọt lớp 10 cánh diều
- Giải bài tập chuyên đề giáo dục kinh tế và pháp luật lớp 10 cánh diều
- Giải bài tập chuyên đề tin học lớp 10 theo định hướng tin học ứng dụng cánh diều
- Giải bài tập chuyên đề tin học lớp 10 theo định hướng khoa học máy tính cánh diều
- Giải bài tập chuyên đề âm nhạc lớp 10 cánh diều