SBT CHƯƠNG I: MỆNH ĐỀ TOÁN HỌC. TẬP HỢP
SBT CHƯƠNG II: BẤT PHƯƠNG TRÌNH VÀ HỆ PHƯƠNG TRÌNH BẬC NHẤT HAI ẨN
SBT CHƯƠNG III: HÀM SỐ VÀ ĐỒ THỊ
- Giải bài tập sách bài tập (SBT) toán lớp 10 Cánh diều bài 1 Hàm số và đồ thị
- Giải bài tập sách bài tập (SBT) toán lớp 10 Cánh diều bài 2 Hàm số bậc hai. Đồ thị hàm số bậc hai và ứng dụng
- Giải bài tập sách bài tập (SBT) toán lớp 10 Cánh diều bài 3 Dấu của tam thức bậc hai
- Giải bài tập sách bài tập (SBT) toán lớp 10 Cánh diều bài 4 Bất phương trình bậc hai một ẩn
- Giải bài tập sách bài tập (SBT) toán lớp 10 Cánh diều bài 4 Bất phương trình bậc hai một ẩn
- Giải bài tập sách bài tập (SBT) toán lớp 10 Cánh diều bài 5 Hai dạng phương trình quy về phương trình bậc hai
- Giải bài tập sách bài tập (SBT) toán lớp 10 Cánh diều bài Bài tập cuối chương III
SBT CHƯƠNG IV: HỆ THỰC LƯỢNG TRONG TAM GIÁC. VÉC TƠ
- Giải bài tập sách bài tập (SBT) toán lớp 10 Cánh diều bài 1 Định lí côsin và định lí sin trong tam giác. Giá trị lượng giác của một góc từ 0° đến 180°
- Giải bài tập sách bài tập (SBT) toán lớp 10 Cánh diều bài 2 Giải bài tập tam giác. Tính diện tích
- Giải bài tập sách bài tập (SBT) toán lớp 10 Cánh diều bài 3 Khái niệm vectơ
- Giải bài tập sách bài tập (SBT) toán lớp 10 Cánh diều bài 4 Tổng và hiệu của hai vectơ
- Giải bài tập sách bài tập (SBT) toán lớp 10 Cánh diều bài 5 Tích của một số với một vectơ
- Giải bài tập sách bài tập (SBT) toán lớp 10 Cánh diều bài 6 Tích vô hướng của hai vectơ
- Giải bài tập sách bài tập (SBT) toán lớp 10 Cánh diều bài Bài tập cuối chương IV
Giải bài tập sách bài tập (SBT) toán lớp 10 Cánh diều bài Bài tập cuối chương II
https://s.shopee.vn/AKN2JyAJAw
Bước giải bài tập cuối chương II trang 31 sách bài tập (SBT) toán lớp 10
Trong bài tập cuối chương II trang 31 sách bài tập (SBT) toán lớp 10, chúng ta cần tập trung vào việc áp dụng kiến thức đã học trong chương để giải quyết bài toán. Đầu tiên, chúng ta cần đọc đề bài một cách cẩn thận và xác định đề bài đang yêu cầu chúng ta làm gì. Sau đó, chúng ta có thể áp dụng các phương pháp và công thức đã học để giải bài toán một cách chính xác.
Nếu gặp khó khăn trong quá trình giải bài tập, hãy thảo luận với bạn bè hoặc giáo viên để giải đáp. Đừng ngần ngại hỏi khi không hiểu rõ vấn đề, vì việc hiểu rõ bài tập sẽ giúp bạn nắm vững kiến thức hơn. Cuối cùng, đừng quên kiểm tra lại kết quả của mình để đảm bảo rằng không có lỗi nào xảy ra trong quá trình giải bài tập. Chúc các bạn thành công trong việc học toán!
Bài tập và hướng dẫn giải
Bài 20 : Cặp số nào sau đây không là nghiệm của bất phương trình x – 2y ≥ 5?
A. (3; – 1).
B. (– 1; 4).
C. (2; – 3).
D. (1; – 2).
Bài 21 : Cặp số nào sau đây không là nghiệm của hệ bất phương trình
x−2y>42x+y>6">x−2y>42x+y>6">x−2y>42x+y>6">x−2y>42x+y>6">x−2y>42x+y>6">x−2y>42x+y>6">x−2y>42x+y>6">x−2y>42x+y>6">x−2y>42x+y>6">x−2y>42x+y>6">x x−2y>42x+y>6">− x−2y>42x+y>6">2x−2y>42x+y>6">y x−2y>42x+y>6">> x−2y>42x+y>6">x−2y>42x+y>6">x−2y>42x+y>6">x−2y>42x+y>6">x−2y>42x+y>6">x−2y>42x+y>6">x−2y>42x+y>6">x−2y>42x+y>6">4
x−2y>42x+y>6">x−2y>42x+y>6">x−2y>42x+y>6">x−2y>42x+y>6">x−2y>42x+y>6">x−2y>42x+y>6">x−2y>42x+y>6">x−2y>42x+y>6">2x−2y>42x+y>6">x x−2y>42x+y>6">+ x−2y>42x+y>6">y x−2y>42x+y>6">> x−2y>42x+y>6">6 x−2y>42x+y>6">
A. (2; – 1).
B. (7; 1).
C. (5; – 1).
D. (6; – 2).
Bài 22 : Phần không bị gạch (kể cả d) ở Hình 11 là miền nghiệm của bất phương trình:

A. 2x – 3y ≤ – 12.
B. 2x – 3y ≥ – 12.
C. 3x – 2y ≤ 12.
D. 3x – 2y ≥ 12.
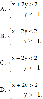
Bài 23 : Phần không bị gạch (kể cả tia AB, AC) ở Hình 12 là miền nghiệm của hệ bất phương trình:


Bài 24 : Giá trị nhỏ nhất của biểu thức F = – 2x + y trên miền nghiệm của hệ bất phương trình
x − y ≥ −2
x + y ≤ 4
x − 5y ≤ −2
là:
A. – 5.
B. – 7.
C. 1.
D. 4.
Bài 25 : Biểu diễn miền nghiệm của các bất phương trình sau:
a) 3x > 2;
b) 2y ≤ – 5;
c) 2x – y ≥ 1;
d) 3x – 2y < 5.
Bài 26 : Biểu diễn miền nghiệm của các hệ bất phương trình sau:

Bài 27 :
a) Biểu diễn miền nghiệm của hệ bất phương trình
3x−y≤93x+6y≤30x≥00≤y≤4">3x−y≤93x+6y≤30x≥00≤y≤4">3x−y≤93x+6y≤30x≥00≤y≤4">3x−y≤93x+6y≤30x≥00≤y≤4">3x−y≤93x+6y≤30x≥00≤y≤4">3x−y≤93x+6y≤30x≥00≤y≤4">3x−y≤93x+6y≤30x≥00≤y≤4">3x−y≤93x+6y≤30x≥00≤y≤4">3x−y≤93x+6y≤30x≥00≤y≤4">3x−y≤93x+6y≤30x≥00≤y≤4">33x−y≤93x+6y≤30x≥00≤y≤4">x 3x−y≤93x+6y≤30x≥00≤y≤4">− 3x−y≤93x+6y≤30x≥00≤y≤4">y 3x−y≤93x+6y≤30x≥00≤y≤4">≤ 3x−y≤93x+6y≤30x≥00≤y≤4">9
3x−y≤93x+6y≤30x≥00≤y≤4">3x−y≤93x+6y≤30x≥00≤y≤4">3x−y≤93x+6y≤30x≥00≤y≤4">3x−y≤93x+6y≤30x≥00≤y≤4">3x−y≤93x+6y≤30x≥00≤y≤4">3x−y≤93x+6y≤30x≥00≤y≤4">3x−y≤93x+6y≤30x≥00≤y≤4">3x−y≤93x+6y≤30x≥00≤y≤4">3x−y≤93x+6y≤30x≥00≤y≤4">33x−y≤93x+6y≤30x≥00≤y≤4">x 3x−y≤93x+6y≤30x≥00≤y≤4">+ 3x−y≤93x+6y≤30x≥00≤y≤4">63x−y≤93x+6y≤30x≥00≤y≤4">y 3x−y≤93x+6y≤30x≥00≤y≤4">≤ 3x−y≤93x+6y≤30x≥00≤y≤4">30
3x−y≤93x+6y≤30x≥00≤y≤4">3x−y≤93x+6y≤30x≥00≤y≤4">3x−y≤93x+6y≤30x≥00≤y≤4">3x−y≤93x+6y≤30x≥00≤y≤4">3x−y≤93x+6y≤30x≥00≤y≤4">3x−y≤93x+6y≤30x≥00≤y≤4">3x−y≤93x+6y≤30x≥00≤y≤4">3x−y≤93x+6y≤30x≥00≤y≤4">3x−y≤93x+6y≤30x≥00≤y≤4">x 3x−y≤93x+6y≤30x≥00≤y≤4">≥ 3x−y≤93x+6y≤30x≥00≤y≤4">0 (I).
3x−y≤93x+6y≤30x≥00≤y≤4">3x−y≤93x+6y≤30x≥00≤y≤4">3x−y≤93x+6y≤30x≥00≤y≤4">3x−y≤93x+6y≤30x≥00≤y≤4">3x−y≤93x+6y≤30x≥00≤y≤4">3x−y≤93x+6y≤30x≥00≤y≤4">3x−y≤93x+6y≤30x≥00≤y≤4">3x−y≤93x+6y≤30x≥00≤y≤4">3x−y≤93x+6y≤30x≥00≤y≤4">0 3x−y≤93x+6y≤30x≥00≤y≤4">≤ 3x−y≤93x+6y≤30x≥00≤y≤4">y 3x−y≤93x+6y≤30x≥00≤y≤4">≤ 3x−y≤93x+6y≤30x≥00≤y≤4">4 3x−y≤93x+6y≤30x≥00≤y≤4">
b) Tìm x, y là nghiệm của hệ bất phương trình (I) sao cho F = 3x + 4y đạt giá trị lớn nhất.
Bài 28 : Một sân bóng đá được tổ chức tại một sân vận động có sức chứa 40 000 người, ban tổ chức phát hành hai loại vé là 400 000 đồng và 200 000 đồng. Do điều kiện sân đấu nên số lượng vé 400 000 đồng không lớn hơn số lượng vé 200 000 đồng. Để an toàn phòng dịch, liên đoàn bóng đá yêu cầu số lượng vé không vượt quá 30% sức chứa của sân. Để tổ chức được trận đấu thì số tiền thu được thông qua bán vé không được ít hơn 3 tỉ đồng. Gọi x, y lần lượt là số vé vé 400 000 đồng và 200 000 đồng được bán ra.
a) Viết hệ bất phương trình bậc nhất hai ẩn x, y để biển diễn số lượng vé mỗi loại được bán ra đảm bảo mục đích của ban tổ chức.
b) Chỉ ra hai nghiệm của hệ bất phương trình đó.
Bài 29 : Một xưởng sản xuất bàn và ghế. Một chiếc bàn cần 1,5 giờ lắp ráp và 1 giờ để hoàn thiện; một chiếc ghế cần 1 giờ để lắp ráp và 2 giờ để hoàn thiện. Bộ phận lắp ráp có 3 nhân công, bộ phận hoàn thiện có 4 nhân công. Biết thị trường luôn tiêu thụ hết sản phẩm của xưởng và lượng ghế tiêu thụ không vượt quá 3,5 lần số bàn.
a) Viết hệ bất phương trình mô tả số lượng bàn và ghế mà trong một ngày phân xưởng có thể sản xuất, biết một nhân công làm việc không quá 8 tiếng mỗi ngày.
b) Biểu diễn miền nghiệm của hệ bất phương trình đó.
c) Biết một chiếc bàn lãi 600 nghìn đồng, một chiếc ghế lãi 450 nghìn đồng. Hỏi trong một ngày, xưởng cần sản xuất bao nhiêu chiếc bàn, bao nhiêu chiếc ghế để thu được tiền lãi cao nhất.
Bài 30 : Hình 13 mô tả sơ đồ một sân khấu gắn với hệ trục tọa độ Oxy (đơn vị trên các trục tọa độ là 1 mét). Phần thính phòng giới hạn bởi hai đường thẳng d1 và d2 là vị trí ngồi của khán giả có thể nhìn thấy dàn hợp xướng. Gọi (x; y) là tọa độ ngồi của khán giả ở thính phòng. Viết hệ bất phương trình bậc nhất hai ẩn x, y mà khán giả có thể nhìn thấy dàn hợp xướng.

Giải bài tập sách giáo khoa (SGK) 10 Kết nối tri thức
- Soạn văn lớp 10 tập 1 kết nối tri thức
- Soạn văn lớp 10 tập 2 kết nối tri thức
- Văn mẫu lớp 10 kết nối tri thức
- Giải bài tập toán lớp 10 tập 1 kết nối tri thức
- Giải bài tập toán lớp 10 tập 2 kết nối tri thức
- Giải bài tập vật lí lớp 10 kết nối tri thức
- Giải bài tập hóa học lớp 10 kết nối tri thức
- Giải bài tập sinh học lớp 10 kết nối tri thức
- Giải bài tập Địa lí lớp 10 kết nối tri thức
- Giải bài tập lịch sử lớp 10 kết nối tri thức
- Giải bài tập tin học lớp 10 kết nối tri thức
- Giải bài tập Âm nhạc lớp 10 kết nối tri thức
- Giải bài tập mĩ thuật lớp 10 kết nối tri thức
- Giải bài tập giáo dục kinh tế pháp luật lớp 10 kết nối tri thức
- Giải bài tập giáo dục quốc phòng an ninh lớp 10 kết nối tri thức
- Giải bài tập hoạt động trải nghiệm lớp 10 kết nối tri thức
- Giải bài tập thiết kế công nghệ lớp 10 kết nối tri thức
- Giải bài tập công nghệ trồng trọt lớp 10 kết nối tri thức
- Giải bài tập giáo dục thể chất lớp 10 kết nối tri thức
- Giải bài tập tiếng anh lớp 10 Global Success
Giải bài tập sách giáo khoa (SGK) 10 Chân trời sáng tạo
- Soạn văn lớp 10 tập 1 chân trời sáng tạo
- Soạn văn lớp 10 tập 2 chân trời sáng tạo
- Văn mẫu lớp 10 chân trời sáng tạo
- Giải bài tập toán lớp 10 tập 1 chân trời sáng tạo
- Giải bài tập toán lớp 10 tập 2 chân trời sáng tạo
- Giải bài tập vật lí lớp 10 chân trời sáng tạo
- Giải bài tập hóa học lớp 10 chân trời sáng tạo
- Giải bài tập sinh học lớp 10 chân trời sáng tạo
- Giải bài tập Địa lí lớp 10 chân trời sáng tạo
- Giải bài tập lịch sử lớp 10 chân trời sáng tạo
- Giải bài tập tin học lớp 10 chân trời sáng tạo
- Giải bài tập Âm nhạc lớp 10 chân trời sáng tạo
- Giải bài tập mĩ thuật lớp 10 chân trời sáng tạo
- Giải bài tập giáo dục kinh tế pháp luật lớp 10 chân trời sáng tạo
- Giải bài tập Hoạt động trải nghiệm, hướng nghiệp lớp 10 chân trời sáng tạo bản 1
- Giải bài tập Hoạt động trải nghiệm, hướng nghiệp lớp 10 chân trời sáng tạo bản 2
- Giải bài tập giáo dục quốc phòng an ninh lớp 10 chân trời sáng tạo
- Giải bài tập thiết kế công nghệ lớp 10 chân trời sáng tạo
- Giải bài tập công nghệ trồng trọt lớp 10 chân trời sáng tạo
- Giải bài tập giáo dục thể chất lớp 10 chân trời sáng tạo
- Giải bài tập tiếng anh lớp 10 Friends Global
Giải bài tập sách giáo khoa (SGK) 10 Cánh diều
- Soạn văn lớp 10 tập 1 cánh diều
- Soạn văn lớp 10 tập 2 cánh diều
- Văn mẫu lớp 10 cánh diều
- Giải bài tập toán lớp 10 tập 1 cánh diều
- Giải bài tập toán lớp 10 tập 2 cánh diều
- Giải bài tập vật lí lớp 10 cánh diều
- Giải bài tập hóa học lớp 10 cánh diều
- Giải bài tập sinh học lớp 10 cánh diều
- Giải bài tập Địa lí lớp 10 cánh diều
- Giải bài tập lịch sử lớp 10 cánh diều
- Giải bài tập tin học lớp 10 cánh diều
- Giải bài tập Âm nhạc lớp 10 cánh diều
- Giải bài tập mĩ thuật lớp 10 cánh diều
- Giải bài tập giáo dục kinh tế pháp luật lớp 10 cánh diều
- Giải bài tập giáo dục quốc phòng an ninh lớp 10 cánh diều
- Giải bài tập hoạt động trải nghiệm lớp 10 cánh diều
- Giải bài tập thiết kế công nghệ lớp 10 cánh diều
- Giải bài tập công nghệ trồng trọt lớp 10 cánh diều
- Giải bài tập giáo dục thể chất lớp 10 cánh diều
- Giải bài tập tiếng anh lớp 10 Explore new worlds
Giải bài tập sách bài tập (SBT) lớp 10 kết nối tri thức
- Giải bài tập sách bài tập (SBT) ngữ văn lớp 10 tập 1 kết nối tri thức
- Giải bài tập sách bài tập (SBT) ngữ văn lớp 10 tập 2 kết nối tri thức
- Giải bài tập sách bài tập (SBT) toán lớp 10 tập 1 kết nối tri thức
- Giải bài tập sách bài tập (SBT) toán lớp 10 tập 2 kết nối tri thức
- Giải bài tập sách bài tập (SBT) hóa học lớp 10 kết nối tri thức
- Giải bài tập sách bài tập (SBT) sinh học lớp 10 kết nối tri thức
- Giải bài tập sách bài tập (SBT) vật lí lớp 10 kết nối tri thức
- Giải bài tập sách bài tập (SBT) lịch sử lớp 10 kết nối tri thức
- Giải bài tập sách bài tập (SBT) địa lí lớp 10 kết nối tri thức
- Giải bài tập sách bài tập (SBT) tin học lớp 10 kết nối tri thức
- Giải bài tập sách bài tập (SBT) giáo dục kinh tế pháp luật lớp 10 kết nối tri thức
- Giải bài tập sách bài tập (SBT) giáo dục quốc phòng và an ninh lớp 10 kết nối tri thức
- Giải bài tập sách bài tập (SBT) hoạt động trải nghiệm lớp 10 kết nối tri thức
- Giải bài tập sách bài tập (SBT) tiếng anh lớp 10 Global success
Giải bài tập sách bài tập (SBT) lớp 10 chân trời sáng tạo
- Giải bài tập sách bài tập (SBT) ngữ văn lớp 10 tập 1 chân trời sáng tạo
- Giải bài tập sách bài tập (SBT) ngữ văn lớp 10 tập 2 chân trời sáng tạo
- Giải bài tập sách bài tập (SBT) toán lớp 10 tập 1 chân trời sáng tạo
- Giải bài tập sách bài tập (SBT) toán lớp 10 tập 2 chân trời sáng tạo
- Giải bài tập sách bài tập (SBT) hóa học lớp 10 chân trời sáng tạo
- Giải bài tập sách bài tập (SBT) sinh học lớp 10 chân trời sáng tạo
- Giải bài tập sách bài tập (SBT) vật lí lớp 10 chân trời sáng tạo
- Giải bài tập sách bài tập (SBT) lịch sử lớp 10 chân trời sáng tạo
- Giải bài tập sách bài tập (SBT) địa lí lớp 10 chân trời sáng tạo
- Giải bài tập sách bài tập (SBT) giáo dục kinh tế pháp luật lớp 10 chân trời sáng tạo
- Giải bài tập sách bài tập (SBT) giáo dục quốc phòng và an ninh lớp 10 chân trời sáng tạo
- Giải bài tập sách bài tập (SBT) hoạt động trải nghiệm lớp 10 chân trời sáng tạo bản 1
- Giải bài tập sách bài tập (SBT) hoạt động trải nghiệm lớp 10 chân trời sáng tạo bản 2
- Giải bài tập sách bài tập (SBT) tiếng anh lớp 10 Friends Global
Giải bài tập sách bài tập (SBT) lớp 10 Cánh diều
- Giải bài tập sách bài tập (SBT) ngữ văn lớp 10 tập 1 cánh diều
- Giải bài tập sách bài tập (SBT) ngữ văn lớp 10 tập 2 cánh diều
- Giải bài tập sách bài tập (SBT) toán lớp 10 tập 1 cánh diều
- Giải bài tập sách bài tập (SBT) toán lớp 10 tập 2 cánh diều
- Giải bài tập sách bài tập (SBT) hóa học lớp 10 cánh diều
- Giải bài tập sách bài tập (SBT) sinh học lớp 10 cánh diều
- Giải bài tập sách bài tập (SBT) vật lí lớp 10 cánh diều
- Giải bài tập sách bài tập (SBT) lịch sử lớp 10 cánh diều
- Giải bài tập sách bài tập (SBT) địa lí lớp 10 cánh diều
- Giải bài tập sách bài tập (SBT) tin học lớp 10 cánh diều
- Giải bài tập sách bài tập (SBT) giáo dục kinh tế pháp luật lớp 10 cánh diều
- Giải bài tập sách bài tập (SBT) hoạt động trải nghiệm lớp 10 cánh diều
- Giải bài tập sách bài tập (SBT) giáo dục quốc phòng và an ninh lớp 10 cánh diều
- Giải bài tập sách bài tập (SBT) tiếng anh lớp 10 Explore new world
Giải bài tập chuyên đề học tập 10 Kết nối tri thức
- Giải bài tập chuyên đề toán lớp 10 kết nối tri thức
- Giải bài tập chuyên đề ngữ văn lớp 10 kết nối tri thức
- Giải bài tập chuyên đề vật lí lớp 10 kết nối tri thức
- Giải bài tập chuyên đề hóa học lớp 10 kết nối tri thức
- Giải bài tập chuyên đề sinh học lớp 10 kết nối tri thức
- Giải bài tập chuyên đề lịch sử lớp 10 kết nối tri thức
- Giải bài tập chuyên đề địa lí lớp 10 kết nối tri thức
- Giải bài tập chuyên đề công nghệ trồng trọt lớp 10 kết nối tri thức
- Giải bài tập chuyên đề giáo dục kinh tế và pháp luật lớp 10 kết nối tri thức
- Giải bài tập chuyên đề tin học lớp 10 theo định hướng tin học ứng dụng kết nối tri thức
- Giải bài tập chuyên đề tin học lớp 10 theo định hướng khoa học máy tính kết nối tri thức
- Giải bài tập chuyên đề mĩ thuật lớp 10 kết nối tri thức
Giải bài tập chuyên đề học tập 10 Chân trời sáng tạo
- Giải bài tập chuyên đề toán lớp 10 chân trời sáng tạo
- Giải bài tập chuyên đề ngữ văn lớp 10 chân trời sáng tạo
- Giải bài tập chuyên đề vật lí lớp 10 chân trời sáng tạo
- Giải bài tập chuyên đề hóa học lớp 10 chân trời sáng tạo
- Giải bài tập chuyên đề sinh học lớp 10 chân trời sáng tạo
- Giải bài tập chuyên đề địa lí lớp 10 chân trời sáng tạo
- Giải bài tập chuyên đề lịch sử lớp 10 chân trời sáng tạo
- Giải bài tập chuyên đề giáo dục kinh tế và pháp luật lớp 10 chân trời sáng tạo
- Giải bài tập chuyên đề âm nhạc lớp 10 chân trời sáng tạo
Giải bài tập chuyên đề học tập 10 Cánh diều
- Giải bài tập chuyên đề toán lớp 10 cánh diều
- Giải bài tập chuyên đề ngữ văn lớp 10 cánh diều
- Giải bài tập chuyên đề vật lí lớp 10 cánh diều
- Giải bài tập chuyên đề hóa học lớp 10 cánh diều
- Giải bài tập chuyên đề sinh học lớp 10 cánh diều
- Giải bài tập chuyên đề địa lí lớp 10 cánh diều
- Giải bài tập chuyên đề lịch sử lớp 10 cánh diều
- Giải bài tập chuyên đề công nghệ trồng trọt lớp 10 cánh diều
- Giải bài tập chuyên đề giáo dục kinh tế và pháp luật lớp 10 cánh diều
- Giải bài tập chuyên đề tin học lớp 10 theo định hướng tin học ứng dụng cánh diều
- Giải bài tập chuyên đề tin học lớp 10 theo định hướng khoa học máy tính cánh diều
- Giải bài tập chuyên đề âm nhạc lớp 10 cánh diều