CHUYÊN ĐỀ 1: HỆ PHƯƠNG TRÌNH BẬC NHẤT BA ẨN VÀ ỨNG DỤNG
CHUYÊN ĐỀ 2: PHƯƠNG PHÁP QUY NẠP TOÁN HỌC VÀ NHỊ THỨC NEWTON
CHUYÊN ĐỀ 3: BA ĐƯỜNG CONIC VÀ ỨNG DỤNG
- Giải bài tập chuyên đề toán lớp 10 chân trời sáng tạo bài 1 elip
- Giải bài tập chuyên đề toán lớp 10 chân trời sáng tạo bài 2 hypebol
- Giải bài tập chuyên đề toán lớp 10 chân trời sáng tạo bài 3 Parabol
- Giải bài tập chuyên đề toán lớp 10 chân trời sáng tạo bài 4 tính chất chung của ba đường conic
- Giải bài tập chuyên đề toán lớp 10 chân trời sáng tạo: Bài tập cuối chuyên đề 3
Giải bài tập chuyên đề toán lớp 10 chân trời sáng tạo bài 2 hypebol
https://s.shopee.vn/AKN2JyAJAw
Hướng dẫn giải bài tập chuyên đề về hypebol trang 50
Sách Giải bài tập chuyên đề toán lớp 10 chân trời sáng tạo không chỉ là một cuốn sách giáo khoa thông thường mà còn là một công cụ hữu ích giúp học sinh nắm vững kiến thức và kỹ năng giải toán. Trong bài 2 về hypebol trang 50, sách hướng dẫn chi tiết cách giải từng bước một, giúp học sinh hiểu rõ hơn về vấn đề và áp dụng kiến thức một cách linh hoạt.
Với cách hướng dẫn cụ thể và giải chi tiết, sách chuyên đề toán lớp 10 chân trời sáng tạo mở ra cánh cửa cho học sinh tiếp cận một cách dễ dàng và hiểu biết hơn. Bằng cách này, học sinh có thể phát triển tư duy logic, khả năng vận dụng kiến thức và tự tin hơn khi giải các bài toán khó.
Đặc biệt, việc cung cấp ví dụ và bài tập minh họa trong sách giúp học sinh rèn luyện kỹ năng tự học và tự giải quyết vấn đề. Hy vọng rằng, thông qua việc học tập từ cuốn sách này, học sinh sẽ trở nên thành thạo hơn trong môn toán và phát triển năng lực toán học của mình một cách toàn diện.
Bài tập và hướng dẫn giải
1. TÍNH ĐỐI XỨNG CỦA ĐƯỜNG HYPEBOL
Hoạt động khám phá 1: Cho hypebol (H) với phương trình chính tắc
$\frac{x^2}{a^2}$ + $\frac{y^2}{b^2}$=1 và điểm M(x0; y0) nằm trên (H). Các điểm M1(–x0; y0), M2(x0; –y0), M3(–x0; –y0) có thuộc (H) không?
Vận dụng 1: Khi bay với vận tốc siêu nhanh( tốc độ chuyển động lớn hơn tốc độ âm thanh trong cùng môi trường) một máy bay tạo ra một vùng nhiễu động trên mặt đất dọc theo một nhánh của hypebol. Phần nghe rõ nhất tiếng ồn của vùng nói trên được gọi là thảm nhiễu động. Bề rộng của thảm này gấp khoảng 5 lần cao độ của máy bay. Tính độ cao của máy bay, biết bề rộng của thảm nhiễu động được đo cách phía sau máy bay một khoảng 40mile dăm là đơn vị đo khoảng cách. 1mile= 1,6km và (H) có phương trình: $\frac{x^2}{400}$ - $\frac{y^2}{100}$=1

2. BÁN KÍNH QUA TIÊU
Hoạt động khám phá 2: Cho điểm M(x,y) nằm trên hypebol
(H): $\frac{x^2}{a^2}$ - $\frac{y^2}{b^2}$=1
a) Chứng minh rằng $F1M^2$ –$F2M^2$ = 4cx.
b) Giả sử điểm M(x; y) thuộc nhánh đi qua A1(–a; 0) (Hình 5a). Sử dụng kết quả đã chứng minh được ở câu a) kết hợp với tính chất MF2 – MF1 = 2a đã biết để chứng minh
F2 + MF1= -2$\frac{cx}{a}$
Từ đó, chứng minh các công thức: F1=-a-$\frac{c}{a}$
F2= a-$\frac{c}{a}$x
c, Giả sử điểm M(x; y) thuộc nhánh đi qua A2(a; 0) (Hình 5 b). Sử dụng kết quả đã chứng minh được ở câu a) kết hợp với tính chất MF1 – MF2 = 2a đã biết để chứng minh
F2 + MF1=
. Từ đó, chứng minh các công thức:
F1=a+$\frac{c}{a}$;
F2= -a+$\frac{c}{a}$x
Thực hành 2: Tính độ dài hai bán kính qua tiêu của điểm M(x;y) trên hypebol
(H): $\frac{x^2}{64}$ - $\frac{y^2}{36}$=1
Vận dụng 2: Tính độ dài hai bán kính qua tiêu của đingr A2(a,0) trên hypebol
(H): $\frac{x^2}{a^2}$ + $\frac{y^2}{b^2}$=1
3. TÂM SAI
Hoạt động khám phá 3: Cho hypebol
(H): (H): $\frac{x^2}{a^2}$ - $\frac{y^2}{b^2}$=1
Chứng tỏ rằng $\frac{c}{a}$ > 1
Thực hành 3: Tìm tâm sai của các hypebol sau:
a, (H1): $\frac{x^2}{4}$ + $\frac{y^2}{1}$=1
b, (H2): $\frac{x^2}{9}$ + $\frac{y^2}{25}$=1
c, (H3): $\frac{x^2}{3}$ + $\frac{y^2}{3}$=1
Vận dụng 3: Cho hypebol (H) có tâm sai bằng $\sqrt{2}$. Chứng minh trục thực và trục ảo của (H) có độ dài bằng nhau.
Vận dụng 4: Một vật thể có quỹ đạo là một nhánh của hypebol (H), nhận tâm Mặt Trời làm tiêu điểm (Hình 6). Cho biết tâm sai của (H) bằng 1,2 và khoảng cách gần nhất giữa vật thể và tâm Mặt Trời là 2 . $10^8$ km.
a) Lập phương trình chính tắc của (H).
b) Lập công thức tính bán kính qua tiêu của vị trí M(x; y) của vật thể trong mặt phẳng toạ độ.

4. ĐƯỜNG CHUẨN
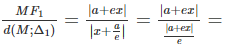
Hoạt động khám phá 4: Cho điểm M((x; y) trên hypebol
(H): $\frac{x^2}{a^2}$ + $\frac{y^2}{b^2}$=1 và hai đường thẳng
![]()

Gọi d(M; Δ1), d(M; Δ2) lần lượt là khoảng cách từ M đến các đường thẳng Δ1, Δ2.
Ta có:
e
Dựa theo cách tính trên, tính
Thực hành 4: Tìm tọa đọ hai tiêu điểm và viết phương trình hai đưởng chuẩn tướng ứng của các hypebol sau:
a, (H1): $\frac{x^2}{4}$ + $\frac{y^2}{1}$=1
b, (H2): $\frac{x^2}{36}$ + $\frac{y^2}{64}$=1
c, (H3): $\frac{x^2}{9}$ + $\frac{y^2}{9}$=1
Vận dụng 5: Lập phương trình chính tắc của hypebol có tiêu cự bằng 26 và khoảng cách giữa hai đường chuẩn bằng $\frac{288}{13}$
BÀI TẬP
1. Cho hypebol (H): $\frac{x^2}{144}$ + $\frac{y^2}{25}$=1
a) Tìm tâm sai và độ dài hai bán kính qua tiêu của điểm
(3; $\frac{25}{12}$) trên (H)
b) Tìm tọa độ hai tiêu điểm và viết phương trình hai đường chuẩn tương ứng.
c) Tìm điểm N(x; y) ∈ (H) sao cho NF1 = 2NF2 với F1, F2 là hai tiêu điểm của (H).
2. Lập phương trình chính tắc của hypebol có tiêu cự bằng 20 và khoảng cách giữa hai đường chuẩn bằng $\frac{36}{5}$
3. Cho đường tròn (C) tâm F1, bán kính r và một điểm F2 thoả mãn F1F2 = 4r
a) Chứng tỏ rằng tâm của các đường tròn đi qua F2 và tiếp xúc với (C) nằm trên một đường hypebol (H).
b) Viết phương trình chính tắc và tìm tâm sai của (H).
4. Trong hoát động mở đầu bài học, cho biết khoảng cách giữa hai trạm vô tuyến là 600km, vận tốc sóng vô tuysn là 300 000 km/a và thời gian con tàu nhận được tín hiệu từ hai trạm trên bờ biển luôn là cách nhau 0,0012s ( hai trạm vô tuyến phát các tín hiệu cùng một thời điểm). Viết phương trình chính tắc của quỹ đạo hypebol (H) của con tàu

Giải bài tập sách giáo khoa (SGK) 10 Kết nối tri thức
- Soạn văn lớp 10 tập 1 kết nối tri thức
- Soạn văn lớp 10 tập 2 kết nối tri thức
- Văn mẫu lớp 10 kết nối tri thức
- Giải bài tập toán lớp 10 tập 1 kết nối tri thức
- Giải bài tập toán lớp 10 tập 2 kết nối tri thức
- Giải bài tập vật lí lớp 10 kết nối tri thức
- Giải bài tập hóa học lớp 10 kết nối tri thức
- Giải bài tập sinh học lớp 10 kết nối tri thức
- Giải bài tập Địa lí lớp 10 kết nối tri thức
- Giải bài tập lịch sử lớp 10 kết nối tri thức
- Giải bài tập tin học lớp 10 kết nối tri thức
- Giải bài tập Âm nhạc lớp 10 kết nối tri thức
- Giải bài tập mĩ thuật lớp 10 kết nối tri thức
- Giải bài tập giáo dục kinh tế pháp luật lớp 10 kết nối tri thức
- Giải bài tập giáo dục quốc phòng an ninh lớp 10 kết nối tri thức
- Giải bài tập hoạt động trải nghiệm lớp 10 kết nối tri thức
- Giải bài tập thiết kế công nghệ lớp 10 kết nối tri thức
- Giải bài tập công nghệ trồng trọt lớp 10 kết nối tri thức
- Giải bài tập giáo dục thể chất lớp 10 kết nối tri thức
- Giải bài tập tiếng anh lớp 10 Global Success
Giải bài tập sách giáo khoa (SGK) 10 Chân trời sáng tạo
- Soạn văn lớp 10 tập 1 chân trời sáng tạo
- Soạn văn lớp 10 tập 2 chân trời sáng tạo
- Văn mẫu lớp 10 chân trời sáng tạo
- Giải bài tập toán lớp 10 tập 1 chân trời sáng tạo
- Giải bài tập toán lớp 10 tập 2 chân trời sáng tạo
- Giải bài tập vật lí lớp 10 chân trời sáng tạo
- Giải bài tập hóa học lớp 10 chân trời sáng tạo
- Giải bài tập sinh học lớp 10 chân trời sáng tạo
- Giải bài tập Địa lí lớp 10 chân trời sáng tạo
- Giải bài tập lịch sử lớp 10 chân trời sáng tạo
- Giải bài tập tin học lớp 10 chân trời sáng tạo
- Giải bài tập Âm nhạc lớp 10 chân trời sáng tạo
- Giải bài tập mĩ thuật lớp 10 chân trời sáng tạo
- Giải bài tập giáo dục kinh tế pháp luật lớp 10 chân trời sáng tạo
- Giải bài tập Hoạt động trải nghiệm, hướng nghiệp lớp 10 chân trời sáng tạo bản 1
- Giải bài tập Hoạt động trải nghiệm, hướng nghiệp lớp 10 chân trời sáng tạo bản 2
- Giải bài tập giáo dục quốc phòng an ninh lớp 10 chân trời sáng tạo
- Giải bài tập thiết kế công nghệ lớp 10 chân trời sáng tạo
- Giải bài tập công nghệ trồng trọt lớp 10 chân trời sáng tạo
- Giải bài tập giáo dục thể chất lớp 10 chân trời sáng tạo
- Giải bài tập tiếng anh lớp 10 Friends Global
Giải bài tập sách giáo khoa (SGK) 10 Cánh diều
- Soạn văn lớp 10 tập 1 cánh diều
- Soạn văn lớp 10 tập 2 cánh diều
- Văn mẫu lớp 10 cánh diều
- Giải bài tập toán lớp 10 tập 1 cánh diều
- Giải bài tập toán lớp 10 tập 2 cánh diều
- Giải bài tập vật lí lớp 10 cánh diều
- Giải bài tập hóa học lớp 10 cánh diều
- Giải bài tập sinh học lớp 10 cánh diều
- Giải bài tập Địa lí lớp 10 cánh diều
- Giải bài tập lịch sử lớp 10 cánh diều
- Giải bài tập tin học lớp 10 cánh diều
- Giải bài tập Âm nhạc lớp 10 cánh diều
- Giải bài tập mĩ thuật lớp 10 cánh diều
- Giải bài tập giáo dục kinh tế pháp luật lớp 10 cánh diều
- Giải bài tập giáo dục quốc phòng an ninh lớp 10 cánh diều
- Giải bài tập hoạt động trải nghiệm lớp 10 cánh diều
- Giải bài tập thiết kế công nghệ lớp 10 cánh diều
- Giải bài tập công nghệ trồng trọt lớp 10 cánh diều
- Giải bài tập giáo dục thể chất lớp 10 cánh diều
- Giải bài tập tiếng anh lớp 10 Explore new worlds
Giải bài tập sách bài tập (SBT) lớp 10 kết nối tri thức
- Giải bài tập sách bài tập (SBT) ngữ văn lớp 10 tập 1 kết nối tri thức
- Giải bài tập sách bài tập (SBT) ngữ văn lớp 10 tập 2 kết nối tri thức
- Giải bài tập sách bài tập (SBT) toán lớp 10 tập 1 kết nối tri thức
- Giải bài tập sách bài tập (SBT) toán lớp 10 tập 2 kết nối tri thức
- Giải bài tập sách bài tập (SBT) hóa học lớp 10 kết nối tri thức
- Giải bài tập sách bài tập (SBT) sinh học lớp 10 kết nối tri thức
- Giải bài tập sách bài tập (SBT) vật lí lớp 10 kết nối tri thức
- Giải bài tập sách bài tập (SBT) lịch sử lớp 10 kết nối tri thức
- Giải bài tập sách bài tập (SBT) địa lí lớp 10 kết nối tri thức
- Giải bài tập sách bài tập (SBT) tin học lớp 10 kết nối tri thức
- Giải bài tập sách bài tập (SBT) giáo dục kinh tế pháp luật lớp 10 kết nối tri thức
- Giải bài tập sách bài tập (SBT) giáo dục quốc phòng và an ninh lớp 10 kết nối tri thức
- Giải bài tập sách bài tập (SBT) hoạt động trải nghiệm lớp 10 kết nối tri thức
- Giải bài tập sách bài tập (SBT) tiếng anh lớp 10 Global success
Giải bài tập sách bài tập (SBT) lớp 10 chân trời sáng tạo
- Giải bài tập sách bài tập (SBT) ngữ văn lớp 10 tập 1 chân trời sáng tạo
- Giải bài tập sách bài tập (SBT) ngữ văn lớp 10 tập 2 chân trời sáng tạo
- Giải bài tập sách bài tập (SBT) toán lớp 10 tập 1 chân trời sáng tạo
- Giải bài tập sách bài tập (SBT) toán lớp 10 tập 2 chân trời sáng tạo
- Giải bài tập sách bài tập (SBT) hóa học lớp 10 chân trời sáng tạo
- Giải bài tập sách bài tập (SBT) sinh học lớp 10 chân trời sáng tạo
- Giải bài tập sách bài tập (SBT) vật lí lớp 10 chân trời sáng tạo
- Giải bài tập sách bài tập (SBT) lịch sử lớp 10 chân trời sáng tạo
- Giải bài tập sách bài tập (SBT) địa lí lớp 10 chân trời sáng tạo
- Giải bài tập sách bài tập (SBT) giáo dục kinh tế pháp luật lớp 10 chân trời sáng tạo
- Giải bài tập sách bài tập (SBT) giáo dục quốc phòng và an ninh lớp 10 chân trời sáng tạo
- Giải bài tập sách bài tập (SBT) hoạt động trải nghiệm lớp 10 chân trời sáng tạo bản 1
- Giải bài tập sách bài tập (SBT) hoạt động trải nghiệm lớp 10 chân trời sáng tạo bản 2
- Giải bài tập sách bài tập (SBT) tiếng anh lớp 10 Friends Global
Giải bài tập sách bài tập (SBT) lớp 10 Cánh diều
- Giải bài tập sách bài tập (SBT) ngữ văn lớp 10 tập 1 cánh diều
- Giải bài tập sách bài tập (SBT) ngữ văn lớp 10 tập 2 cánh diều
- Giải bài tập sách bài tập (SBT) toán lớp 10 tập 1 cánh diều
- Giải bài tập sách bài tập (SBT) toán lớp 10 tập 2 cánh diều
- Giải bài tập sách bài tập (SBT) hóa học lớp 10 cánh diều
- Giải bài tập sách bài tập (SBT) sinh học lớp 10 cánh diều
- Giải bài tập sách bài tập (SBT) vật lí lớp 10 cánh diều
- Giải bài tập sách bài tập (SBT) lịch sử lớp 10 cánh diều
- Giải bài tập sách bài tập (SBT) địa lí lớp 10 cánh diều
- Giải bài tập sách bài tập (SBT) tin học lớp 10 cánh diều
- Giải bài tập sách bài tập (SBT) giáo dục kinh tế pháp luật lớp 10 cánh diều
- Giải bài tập sách bài tập (SBT) hoạt động trải nghiệm lớp 10 cánh diều
- Giải bài tập sách bài tập (SBT) giáo dục quốc phòng và an ninh lớp 10 cánh diều
- Giải bài tập sách bài tập (SBT) tiếng anh lớp 10 Explore new world
Giải bài tập chuyên đề học tập 10 Kết nối tri thức
- Giải bài tập chuyên đề toán lớp 10 kết nối tri thức
- Giải bài tập chuyên đề ngữ văn lớp 10 kết nối tri thức
- Giải bài tập chuyên đề vật lí lớp 10 kết nối tri thức
- Giải bài tập chuyên đề hóa học lớp 10 kết nối tri thức
- Giải bài tập chuyên đề sinh học lớp 10 kết nối tri thức
- Giải bài tập chuyên đề lịch sử lớp 10 kết nối tri thức
- Giải bài tập chuyên đề địa lí lớp 10 kết nối tri thức
- Giải bài tập chuyên đề công nghệ trồng trọt lớp 10 kết nối tri thức
- Giải bài tập chuyên đề giáo dục kinh tế và pháp luật lớp 10 kết nối tri thức
- Giải bài tập chuyên đề tin học lớp 10 theo định hướng tin học ứng dụng kết nối tri thức
- Giải bài tập chuyên đề tin học lớp 10 theo định hướng khoa học máy tính kết nối tri thức
- Giải bài tập chuyên đề mĩ thuật lớp 10 kết nối tri thức
Giải bài tập chuyên đề học tập 10 Chân trời sáng tạo
- Giải bài tập chuyên đề toán lớp 10 chân trời sáng tạo
- Giải bài tập chuyên đề ngữ văn lớp 10 chân trời sáng tạo
- Giải bài tập chuyên đề vật lí lớp 10 chân trời sáng tạo
- Giải bài tập chuyên đề hóa học lớp 10 chân trời sáng tạo
- Giải bài tập chuyên đề sinh học lớp 10 chân trời sáng tạo
- Giải bài tập chuyên đề địa lí lớp 10 chân trời sáng tạo
- Giải bài tập chuyên đề lịch sử lớp 10 chân trời sáng tạo
- Giải bài tập chuyên đề giáo dục kinh tế và pháp luật lớp 10 chân trời sáng tạo
- Giải bài tập chuyên đề âm nhạc lớp 10 chân trời sáng tạo
Giải bài tập chuyên đề học tập 10 Cánh diều
- Giải bài tập chuyên đề toán lớp 10 cánh diều
- Giải bài tập chuyên đề ngữ văn lớp 10 cánh diều
- Giải bài tập chuyên đề vật lí lớp 10 cánh diều
- Giải bài tập chuyên đề hóa học lớp 10 cánh diều
- Giải bài tập chuyên đề sinh học lớp 10 cánh diều
- Giải bài tập chuyên đề địa lí lớp 10 cánh diều
- Giải bài tập chuyên đề lịch sử lớp 10 cánh diều
- Giải bài tập chuyên đề công nghệ trồng trọt lớp 10 cánh diều
- Giải bài tập chuyên đề giáo dục kinh tế và pháp luật lớp 10 cánh diều
- Giải bài tập chuyên đề tin học lớp 10 theo định hướng tin học ứng dụng cánh diều
- Giải bài tập chuyên đề tin học lớp 10 theo định hướng khoa học máy tính cánh diều
- Giải bài tập chuyên đề âm nhạc lớp 10 cánh diều