CHƯƠNG VII: BẤT PHƯƠNG TRÌNH BẬC HAI MỘT ẨN
- Giải bài tập sách bài tập (SBT) toán lớp 10 chân trời sáng tạo bài 1 Dấu của tam thức bậc hai
- Giải bài tập sách bài tập (SBT) toán lớp 10 chân trời sáng tạo bài 2 Giải bài tập bất phương tình bậc hai một ẩn
- Giải bài tập sách bài tập (SBT) toán lớp 10 chân trời sáng tạo bài 3 Phương trình quy về phương trình bậc hai
- Giải bài tập sách bài tập (SBT) toán lớp 10 chân trời sáng tạo Bài tập cuối chương VII
CHƯƠNG VIII: ĐẠI SỐ TỔ HỢP
- Giải bài tập sách bài tập (SBT) toán lớp 10 chân trời sáng tạo bài 1 Quy tắc cộng và quy tắc nhân
- Giải bài tập sách bài tập (SBT) toán lớp 10 chân trời sáng tạo bài 2 Hoán vị, chỉnh hợp và tổ hợp
- Giải bài tập sách bài tập (SBT) toán lớp 10 chân trời sáng tạo bài 3 Nhị thức Newton
- Giải bài tập sách bài tập (SBT) toán lớp 10 chân trời sáng tạo Bài tập cuối chương VIII
CHƯƠNG IX: PHƯƠNG PHÁP TỌA ĐỘ TRONG MẶT PHẲNG
- Giải bài tập sách bài tập (SBT) toán lớp 10 chân trời sáng tạo bài 1 Tọa độ của vectơ
- Giải bài tập sách bài tập (SBT) toán lớp 10 chân trời sáng tạo bài 2 Đường thẳng trong mặt phẳng tọa độ
- Giải bài tập sách bài tập (SBT) toán lớp 10 chân trời sáng tạo bài 3 Đường tròn trong mặt phẳng tọa độ
- Giải bài tập sách bài tập (SBT) toán lớp 10 chân trời sáng tạo bài 4 Ba đường conic trong mặt phẳng tọa độ
- Giải bài tập sách bài tập (SBT) toán lớp 10 chân trời sáng tạo Bài tập cuối chương IX
Giải bài tập sách bài tập (SBT) toán lớp 10 chân trời sáng tạo bài 2 Đường thẳng trong mặt phẳng tọa độ
https://s.shopee.vn/AKN2JyAJAw
Hướng dẫn giải bài 2 Đường thẳng trong mặt phẳng tọa độ
Để giải bài 2 về đường thẳng trong mặt phẳng tọa độ trang 60 sách bài tập (SBT) toán lớp 10 tập 2, đầu tiên cần đọc đề bài một cách cẩn thận để hiểu rõ yêu cầu. Tiếp theo, xác định tọa độ của các điểm có liên quan như điểm qua đường thẳng, điểm cắt với trục tọa độ, v.v.
Sau khi đã xác định các tọa độ, sử dụng công thức tính khoảng cách giữa 2 điểm, công thức cấp số nhân, hay công thức nào khác phù hợp để giải bài toán. Đảm bảo tính chính xác và logic trong quá trình giải.
Đây là sách bài tập "Chân trời sáng tạo" được biên soạn theo chương trình đổi mới của Bộ giáo dục, hướng dẫn cụ thể và giải chi tiết giúp học sinh nắm vững kiến thức. Hy vọng học sinh sẽ học tốt hơn và hiểu rõ hơn về bài toán đường thẳng trong mặt phẳng tọa độ sau khi tham khảo sách này.
Bài tập và hướng dẫn giải
Các bài toán san đây được xét tong mặt phẳng Oxy.
Bài tập 1. Tìm các giá trị của tham sô a, b, c để phương trình ax + by + c = 0 có thể biểu diễn được các đường thẳng trong hình dưới đây.

Bài tập 2. Lập phương trình tổng quát và phương trình tham số của đường thẳng d trong mỗi trường hợp sau:
a) d đi qua điểm M(2; 2) và có vectơ chỉ phương $\overrightarrow{u}$ = (4; 7);
b) d đi qua điểm M(0; 1) và có vectơ pháp tuyến là $\overrightarrow{n}$ (-5; 3);
c) d đi qua A(-2; -3) và có hệ số góc k = 3;
d) d đi qua hai điểm P(1; 1) và Q(3; 4).
Bài tập 3. Cho tam giác ABC, biết A(1; 4), B(0; 1) và C(4; 3).
a) Lập phương trình tổng quát của đường thẳng BC.
b) Lập phương trình tham số của đường trung tuyên AM.
c) Lập phương trình tổng quát của đường cao AH.
Bài tập 4. Lập phương trình tổng quát của đường thẳng $\Delta$ trong mỗi trường hợp sau:
a) $\Delta$ đi qua M(3; 3) và song song với đường thẳng x + 2y - 2 022 = 0;
b) $\Delta$ đi qua N(2; -1) và vuông góc với đường thẳng 3x + 2y + 99 = 0.
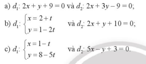
Bài tập 5. Xét vị trí tương đối của các cặp đường thẳng $d_{1}$ và $d_{2}$ sau đây:

Bài tập 6. Cho đường thẳng d có phương trình tham số:
Tìm giao điểm của d với đường thẳng $\Delta$ x + y - 2 = 0.
Bài tập 7. Tìm số đo của góc giữa hai đường thẳng $d_{1}$ và $d_{2}$ trong các trường hợp sau:
a) $d_{1}$: 5x - 3y + 1 = 0 và $d_{2}$: 10x - 6y - 7 = 0;
b) $d_{1}$: 7x - 3y + 7 = 0 và $d_{2}$: 3x + 7y - 10 = 0;
c) $d_{1}$: 2x - 4y + 9 = 0 và $d_{2}$: 6x - 2y - 2 023 = 0.
Bài tập 8. Tính khoảng cách từ điềm M đến đường thẳng $\Delta$ trong các trường hợp sau:
a) M(2; 3) và $\Delta$: 8x - 6y + 7 = 0; b) M(0; 1) và $\Delta$: 4x + 9y - 20 = 0;
c) M(1; 1) và $\Delta$: 3y - 5 = 0; d) M(4; 9) và $\Delta$: x - 25 = 0.
Bài tập 9. Tìm c để đường thẳng $\Delta$: 4x - 3y + c = 0 tiếp xúc với đường tròn (C) có tâm J(1; 2) và bán kính R = 3.
Bài tập 10. Tính khoảng cách giữa hai đường thẳng:
$\Delta$: 6x + 8y - 11 = 0 và $\Delta'$: 6x + 8y - 1 = 0.
Bài tập 11. Một trạm viễn thông S có tọa độ (5, 1). Một người đang ngồi trên chiếc xe khách chạy trên đoạn cao tốc có đang một đường thẳng $\Delta$ có phương trình 12x + 5y - = 0. Tính khoảng cách ngắn nhất giữa người đó và trạm viễn thông S. Biết rằng mỗi đơn vị độ đài tương ứng với 1 km.
Giải bài tập sách giáo khoa (SGK) 10 Kết nối tri thức
- Soạn văn lớp 10 tập 1 kết nối tri thức
- Soạn văn lớp 10 tập 2 kết nối tri thức
- Văn mẫu lớp 10 kết nối tri thức
- Giải bài tập toán lớp 10 tập 1 kết nối tri thức
- Giải bài tập toán lớp 10 tập 2 kết nối tri thức
- Giải bài tập vật lí lớp 10 kết nối tri thức
- Giải bài tập hóa học lớp 10 kết nối tri thức
- Giải bài tập sinh học lớp 10 kết nối tri thức
- Giải bài tập Địa lí lớp 10 kết nối tri thức
- Giải bài tập lịch sử lớp 10 kết nối tri thức
- Giải bài tập tin học lớp 10 kết nối tri thức
- Giải bài tập Âm nhạc lớp 10 kết nối tri thức
- Giải bài tập mĩ thuật lớp 10 kết nối tri thức
- Giải bài tập giáo dục kinh tế pháp luật lớp 10 kết nối tri thức
- Giải bài tập giáo dục quốc phòng an ninh lớp 10 kết nối tri thức
- Giải bài tập hoạt động trải nghiệm lớp 10 kết nối tri thức
- Giải bài tập thiết kế công nghệ lớp 10 kết nối tri thức
- Giải bài tập công nghệ trồng trọt lớp 10 kết nối tri thức
- Giải bài tập giáo dục thể chất lớp 10 kết nối tri thức
- Giải bài tập tiếng anh lớp 10 Global Success
Giải bài tập sách giáo khoa (SGK) 10 Chân trời sáng tạo
- Soạn văn lớp 10 tập 1 chân trời sáng tạo
- Soạn văn lớp 10 tập 2 chân trời sáng tạo
- Văn mẫu lớp 10 chân trời sáng tạo
- Giải bài tập toán lớp 10 tập 1 chân trời sáng tạo
- Giải bài tập toán lớp 10 tập 2 chân trời sáng tạo
- Giải bài tập vật lí lớp 10 chân trời sáng tạo
- Giải bài tập hóa học lớp 10 chân trời sáng tạo
- Giải bài tập sinh học lớp 10 chân trời sáng tạo
- Giải bài tập Địa lí lớp 10 chân trời sáng tạo
- Giải bài tập lịch sử lớp 10 chân trời sáng tạo
- Giải bài tập tin học lớp 10 chân trời sáng tạo
- Giải bài tập Âm nhạc lớp 10 chân trời sáng tạo
- Giải bài tập mĩ thuật lớp 10 chân trời sáng tạo
- Giải bài tập giáo dục kinh tế pháp luật lớp 10 chân trời sáng tạo
- Giải bài tập Hoạt động trải nghiệm, hướng nghiệp lớp 10 chân trời sáng tạo bản 1
- Giải bài tập Hoạt động trải nghiệm, hướng nghiệp lớp 10 chân trời sáng tạo bản 2
- Giải bài tập giáo dục quốc phòng an ninh lớp 10 chân trời sáng tạo
- Giải bài tập thiết kế công nghệ lớp 10 chân trời sáng tạo
- Giải bài tập công nghệ trồng trọt lớp 10 chân trời sáng tạo
- Giải bài tập giáo dục thể chất lớp 10 chân trời sáng tạo
- Giải bài tập tiếng anh lớp 10 Friends Global
Giải bài tập sách giáo khoa (SGK) 10 Cánh diều
- Soạn văn lớp 10 tập 1 cánh diều
- Soạn văn lớp 10 tập 2 cánh diều
- Văn mẫu lớp 10 cánh diều
- Giải bài tập toán lớp 10 tập 1 cánh diều
- Giải bài tập toán lớp 10 tập 2 cánh diều
- Giải bài tập vật lí lớp 10 cánh diều
- Giải bài tập hóa học lớp 10 cánh diều
- Giải bài tập sinh học lớp 10 cánh diều
- Giải bài tập Địa lí lớp 10 cánh diều
- Giải bài tập lịch sử lớp 10 cánh diều
- Giải bài tập tin học lớp 10 cánh diều
- Giải bài tập Âm nhạc lớp 10 cánh diều
- Giải bài tập mĩ thuật lớp 10 cánh diều
- Giải bài tập giáo dục kinh tế pháp luật lớp 10 cánh diều
- Giải bài tập giáo dục quốc phòng an ninh lớp 10 cánh diều
- Giải bài tập hoạt động trải nghiệm lớp 10 cánh diều
- Giải bài tập thiết kế công nghệ lớp 10 cánh diều
- Giải bài tập công nghệ trồng trọt lớp 10 cánh diều
- Giải bài tập giáo dục thể chất lớp 10 cánh diều
- Giải bài tập tiếng anh lớp 10 Explore new worlds
Giải bài tập sách bài tập (SBT) lớp 10 kết nối tri thức
- Giải bài tập sách bài tập (SBT) ngữ văn lớp 10 tập 1 kết nối tri thức
- Giải bài tập sách bài tập (SBT) ngữ văn lớp 10 tập 2 kết nối tri thức
- Giải bài tập sách bài tập (SBT) toán lớp 10 tập 1 kết nối tri thức
- Giải bài tập sách bài tập (SBT) toán lớp 10 tập 2 kết nối tri thức
- Giải bài tập sách bài tập (SBT) hóa học lớp 10 kết nối tri thức
- Giải bài tập sách bài tập (SBT) sinh học lớp 10 kết nối tri thức
- Giải bài tập sách bài tập (SBT) vật lí lớp 10 kết nối tri thức
- Giải bài tập sách bài tập (SBT) lịch sử lớp 10 kết nối tri thức
- Giải bài tập sách bài tập (SBT) địa lí lớp 10 kết nối tri thức
- Giải bài tập sách bài tập (SBT) tin học lớp 10 kết nối tri thức
- Giải bài tập sách bài tập (SBT) giáo dục kinh tế pháp luật lớp 10 kết nối tri thức
- Giải bài tập sách bài tập (SBT) giáo dục quốc phòng và an ninh lớp 10 kết nối tri thức
- Giải bài tập sách bài tập (SBT) hoạt động trải nghiệm lớp 10 kết nối tri thức
- Giải bài tập sách bài tập (SBT) tiếng anh lớp 10 Global success
Giải bài tập sách bài tập (SBT) lớp 10 chân trời sáng tạo
- Giải bài tập sách bài tập (SBT) ngữ văn lớp 10 tập 1 chân trời sáng tạo
- Giải bài tập sách bài tập (SBT) ngữ văn lớp 10 tập 2 chân trời sáng tạo
- Giải bài tập sách bài tập (SBT) toán lớp 10 tập 1 chân trời sáng tạo
- Giải bài tập sách bài tập (SBT) toán lớp 10 tập 2 chân trời sáng tạo
- Giải bài tập sách bài tập (SBT) hóa học lớp 10 chân trời sáng tạo
- Giải bài tập sách bài tập (SBT) sinh học lớp 10 chân trời sáng tạo
- Giải bài tập sách bài tập (SBT) vật lí lớp 10 chân trời sáng tạo
- Giải bài tập sách bài tập (SBT) lịch sử lớp 10 chân trời sáng tạo
- Giải bài tập sách bài tập (SBT) địa lí lớp 10 chân trời sáng tạo
- Giải bài tập sách bài tập (SBT) giáo dục kinh tế pháp luật lớp 10 chân trời sáng tạo
- Giải bài tập sách bài tập (SBT) giáo dục quốc phòng và an ninh lớp 10 chân trời sáng tạo
- Giải bài tập sách bài tập (SBT) hoạt động trải nghiệm lớp 10 chân trời sáng tạo bản 1
- Giải bài tập sách bài tập (SBT) hoạt động trải nghiệm lớp 10 chân trời sáng tạo bản 2
- Giải bài tập sách bài tập (SBT) tiếng anh lớp 10 Friends Global
Giải bài tập sách bài tập (SBT) lớp 10 Cánh diều
- Giải bài tập sách bài tập (SBT) ngữ văn lớp 10 tập 1 cánh diều
- Giải bài tập sách bài tập (SBT) ngữ văn lớp 10 tập 2 cánh diều
- Giải bài tập sách bài tập (SBT) toán lớp 10 tập 1 cánh diều
- Giải bài tập sách bài tập (SBT) toán lớp 10 tập 2 cánh diều
- Giải bài tập sách bài tập (SBT) hóa học lớp 10 cánh diều
- Giải bài tập sách bài tập (SBT) sinh học lớp 10 cánh diều
- Giải bài tập sách bài tập (SBT) vật lí lớp 10 cánh diều
- Giải bài tập sách bài tập (SBT) lịch sử lớp 10 cánh diều
- Giải bài tập sách bài tập (SBT) địa lí lớp 10 cánh diều
- Giải bài tập sách bài tập (SBT) tin học lớp 10 cánh diều
- Giải bài tập sách bài tập (SBT) giáo dục kinh tế pháp luật lớp 10 cánh diều
- Giải bài tập sách bài tập (SBT) hoạt động trải nghiệm lớp 10 cánh diều
- Giải bài tập sách bài tập (SBT) giáo dục quốc phòng và an ninh lớp 10 cánh diều
- Giải bài tập sách bài tập (SBT) tiếng anh lớp 10 Explore new world
Giải bài tập chuyên đề học tập 10 Kết nối tri thức
- Giải bài tập chuyên đề toán lớp 10 kết nối tri thức
- Giải bài tập chuyên đề ngữ văn lớp 10 kết nối tri thức
- Giải bài tập chuyên đề vật lí lớp 10 kết nối tri thức
- Giải bài tập chuyên đề hóa học lớp 10 kết nối tri thức
- Giải bài tập chuyên đề sinh học lớp 10 kết nối tri thức
- Giải bài tập chuyên đề lịch sử lớp 10 kết nối tri thức
- Giải bài tập chuyên đề địa lí lớp 10 kết nối tri thức
- Giải bài tập chuyên đề công nghệ trồng trọt lớp 10 kết nối tri thức
- Giải bài tập chuyên đề giáo dục kinh tế và pháp luật lớp 10 kết nối tri thức
- Giải bài tập chuyên đề tin học lớp 10 theo định hướng tin học ứng dụng kết nối tri thức
- Giải bài tập chuyên đề tin học lớp 10 theo định hướng khoa học máy tính kết nối tri thức
- Giải bài tập chuyên đề mĩ thuật lớp 10 kết nối tri thức
Giải bài tập chuyên đề học tập 10 Chân trời sáng tạo
- Giải bài tập chuyên đề toán lớp 10 chân trời sáng tạo
- Giải bài tập chuyên đề ngữ văn lớp 10 chân trời sáng tạo
- Giải bài tập chuyên đề vật lí lớp 10 chân trời sáng tạo
- Giải bài tập chuyên đề hóa học lớp 10 chân trời sáng tạo
- Giải bài tập chuyên đề sinh học lớp 10 chân trời sáng tạo
- Giải bài tập chuyên đề địa lí lớp 10 chân trời sáng tạo
- Giải bài tập chuyên đề lịch sử lớp 10 chân trời sáng tạo
- Giải bài tập chuyên đề giáo dục kinh tế và pháp luật lớp 10 chân trời sáng tạo
- Giải bài tập chuyên đề âm nhạc lớp 10 chân trời sáng tạo
Giải bài tập chuyên đề học tập 10 Cánh diều
- Giải bài tập chuyên đề toán lớp 10 cánh diều
- Giải bài tập chuyên đề ngữ văn lớp 10 cánh diều
- Giải bài tập chuyên đề vật lí lớp 10 cánh diều
- Giải bài tập chuyên đề hóa học lớp 10 cánh diều
- Giải bài tập chuyên đề sinh học lớp 10 cánh diều
- Giải bài tập chuyên đề địa lí lớp 10 cánh diều
- Giải bài tập chuyên đề lịch sử lớp 10 cánh diều
- Giải bài tập chuyên đề công nghệ trồng trọt lớp 10 cánh diều
- Giải bài tập chuyên đề giáo dục kinh tế và pháp luật lớp 10 cánh diều
- Giải bài tập chuyên đề tin học lớp 10 theo định hướng tin học ứng dụng cánh diều
- Giải bài tập chuyên đề tin học lớp 10 theo định hướng khoa học máy tính cánh diều
- Giải bài tập chuyên đề âm nhạc lớp 10 cánh diều